Determine whether the statement is true or false. If it is true, explain why. If it is false, explain why or give an example that disproves the statement.
![Determine whether the statement is true or false. If it is true, explain why. If it is false, explain why or give an example that disproves the statement.
5. If f is continuous on [0, 1], then
7. If D is the disk given by x2 + y2 < 4, then
8. The integral ∭E kr3 dz dr dθ represents the moment of inertia about the z-axis of a solid E with constant density k.
9. The integral
represents the volume enclosed by the cone z = √(x^2 + y^2 ) and the plane z = 2.](../images/determine-whether-the-statement-is-true-or-false--if-it-is-172697-1.jpg)
![Determine whether the statement is true or false. If it is true, explain why. If it is false, explain why or give an example that disproves the statement.
5. If f is continuous on [0, 1], then
7. If D is the disk given by x2 + y2 < 4, then
8. The integral ∭E kr3 dz dr dθ represents the moment of inertia about the z-axis of a solid E with constant density k.
9. The integral
represents the volume enclosed by the cone z = √(x^2 + y^2 ) and the plane z = 2.](../images/determine-whether-the-statement-is-true-or-false--if-it-is-172697-2.jpg)
![Determine whether the statement is true or false. If it is true, explain why. If it is false, explain why or give an example that disproves the statement.
5. If f is continuous on [0, 1], then
7. If D is the disk given by x2 + y2 < 4, then
8. The integral ∭E kr3 dz dr dθ represents the moment of inertia about the z-axis of a solid E with constant density k.
9. The integral
represents the volume enclosed by the cone z = √(x^2 + y^2 ) and the plane z = 2.](../images/determine-whether-the-statement-is-true-or-false--if-it-is-172697-3.jpg)
![Determine whether the statement is true or false. If it is true, explain why. If it is false, explain why or give an example that disproves the statement.
5. If f is continuous on [0, 1], then
7. If D is the disk given by x2 + y2 < 4, then
8. The integral ∭E kr3 dz dr dθ represents the moment of inertia about the z-axis of a solid E with constant density k.
9. The integral
represents the volume enclosed by the cone z = √(x^2 + y^2 ) and the plane z = 2.](../images/determine-whether-the-statement-is-true-or-false--if-it-is-172697-4.jpg)
5. If f is continuous on [0, 1], then
![Determine whether the statement is true or false. If it is true, explain why. If it is false, explain why or give an example that disproves the statement.
5. If f is continuous on [0, 1], then
7. If D is the disk given by x2 + y2 < 4, then
8. The integral ∭E kr3 dz dr dθ represents the moment of inertia about the z-axis of a solid E with constant density k.
9. The integral
represents the volume enclosed by the cone z = √(x^2 + y^2 ) and the plane z = 2.](../images/determine-whether-the-statement-is-true-or-false--if-it-is-172697-5.jpg)
![Determine whether the statement is true or false. If it is true, explain why. If it is false, explain why or give an example that disproves the statement.
5. If f is continuous on [0, 1], then
7. If D is the disk given by x2 + y2 < 4, then
8. The integral ∭E kr3 dz dr dθ represents the moment of inertia about the z-axis of a solid E with constant density k.
9. The integral
represents the volume enclosed by the cone z = √(x^2 + y^2 ) and the plane z = 2.](../images/determine-whether-the-statement-is-true-or-false--if-it-is-172697-6.jpg)
7. If D is the disk given by x2 + y2
![Determine whether the statement is true or false. If it is true, explain why. If it is false, explain why or give an example that disproves the statement.
5. If f is continuous on [0, 1], then
7. If D is the disk given by x2 + y2 < 4, then
8. The integral ∭E kr3 dz dr dθ represents the moment of inertia about the z-axis of a solid E with constant density k.
9. The integral
represents the volume enclosed by the cone z = √(x^2 + y^2 ) and the plane z = 2.](../images/determine-whether-the-statement-is-true-or-false--if-it-is-172697-7.jpg)
8. The integral âE kr3 dz dr dθ represents the moment of inertia about the z-axis of a solid E with constant density k.
9. The integral
![Determine whether the statement is true or false. If it is true, explain why. If it is false, explain why or give an example that disproves the statement.
5. If f is continuous on [0, 1], then
7. If D is the disk given by x2 + y2 < 4, then
8. The integral ∭E kr3 dz dr dθ represents the moment of inertia about the z-axis of a solid E with constant density k.
9. The integral
represents the volume enclosed by the cone z = √(x^2 + y^2 ) and the plane z = 2.](../images/determine-whether-the-statement-is-true-or-false--if-it-is-172697-8.jpg)
represents the volume enclosed by the cone z = â(x^2 + y^2 ) and the plane z = 2.
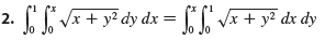
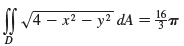
1. -1 Jo Lr* sin(x – y) dx dy = L x² sin(x – y) dy dx Jo CVA + y? dy dx =C Vx + y² dx dy 2. *x²e' dy dx x² dx e dy 3. 4. e*** sin y dx dy = 0 -1 Jo C(«) F(») dy dx = f(x) dx 6. (r? + V5) sin(x²y*) dx dy < 9 S, (?*- | 4 - x2 – y² dA = 16 D *2m r2 dz dr de Jo
> Graph the solid that lies between the surface z = 2xy/ (x2 + 1) and the plane z = x + 2y and is bounded by the planes x = 0, x = 2, y = 0, and y = 4. Then find its volume.
> Use a graphing device to draw a silo consisting of a cylinder with radius 3 and height 10 surmounted by a hemisphere.
> Use a computer algebra system to find the exact volume of the solid. Enclosed by z = x2 + y2 and z = 2y
> Find the volume of the solid enclosed by the paraboloid z = 2 + x2 + (y – 2)2 and the planes z = 1, x = 1, x = 21, y = 0, and y = 4.
> Sketch the solid whose volume is given by the iterated integral. ∫_0^1 ∫_0^1(4 - x - 2y) dx dy
> Evaluate the integral by changing to spherical coordinates ∫_0^1 ∫_0^(√(1-x^2 )) ∫_(√(x^2+y^2 ))^(√(2-x^2-y^2 )) xy dz dy dx
> Find the volume of the solid by subtracting two volumes. The solid enclosed by the parabolic cylinders y = 1 - x2, y = x2 - 1 and the planes x + y + z = 2, 2x + 2y – z+1 10 = 0
> Sketch the solid whose volume is given by the iterated integral. ∫_0^1 ∫_0^(1-x)(1 - x – y) dy dx
> Use cylindrical or spherical coordinates, whichever seems more appropriate. A solid right circular cone with constant density has base radius a and height h. (a). Find the moment of inertia of the cone about its axis. (b). Find the moment of inertia of t
> Use cylindrical or spherical coordinates, whichever seems more appropriate. A solid cylinder with constant density has base radius a and height h. (a). Find the moment of inertia of the cylinder about its axis. (b). Find the moment of inertia of the cyli
> Use cylindrical or spherical coordinates, whichever seems more appropriate. Find the volume of the smaller wedge cut from a sphere of radius a by two planes that intersect along a diameter at an angle of π/6.
> A swimming pool is circular with a 40-ft diameter. The depth is constant along east-west lines and increases linearly from 2 ft at the south end to 7 ft at the north end. Find the volume of water in the pool.
> The figure shows the region of integration for the integral ∫_0^1 ∫_(√x)^(1-x^2) ∫_0^(1-x) f (x,y,z) dy dz dx Rewrite this integral as an equivalent iterated integral in the five
> Use spherical coordinates. (a). Find the centroid of a solid homogeneous hemisphere of radius a. (b). Find the moment of inertia of the solid in part (a) about a diameter of its base.
> Find the extreme values of f on the region described by the inequality. f(x, y) = e-", x² + 4y² < 1
> Xavier and Yolanda both have classes that end at noon and they agree to meet every day after class. They arrive at the coffee shop independently. Xavier’s arrival time is X and Yolanda’s arrival time is Y, where X and
> When studying the formation of mountain ranges, geologists estimate the amount of work required to lift a mountain from sea level. Consider a mountain that is essentially in the shape of a right circular cone. Suppose that the weight density of the mater
> Evaluate the integral by changing to cylindrical coordinates. ∫_(-3)^3 ∫_0^(√(9-x^2 ) ∫_0^(9-x^2-y^2) √(x^2+y^2 ) dz dy dx
> (a). Verify that f (x, y) = {_0^4xy if 0 < x < 1, 0 < y < 1 otherwise is a joint density function. (b). If X and Y are random variables whose joint density function is the function f in part (a), find (i). P (X > 1 2 ) (ii). P (X > 1 2 , Y < 1 2 ) (c
> Evaluate the integral by making an appropriate change of variables. ∬R ex+y dA, where R is given by the inequality |x | + |y | < 1
> Use cylindrical coordinates. (a). Find the volume of the solid that the cylinder r = a cos cuts out of the sphere of radius a centered at the origin. (b). Illustrate the solid of part (a) by graphing the sphere and the cylinder on the same screen.
> Use cylindrical coordinates. (a). Find the volume of the region E that lies between the paraboloid z = 24 - x2 - y2 and the cone z = 2 √(x^2 + y^2 ). (b). Find the centroid of E (the center of mass in the case where the density is constant).
> Evaluate the integral by making an appropriate change of variables. ∬R (x + y)e^(x^2-y^2 ) dA, where R is the rectangle enclosed by the lines x - y = 0, x - y = 2, x + y = 0, and x + y = 3
> Evaluate the integral by making an appropriate change of variables. ∬R (x-2y)/(3x-y) dA, where R is the parallelogram enclosed by the lines x - 2y = 0, x - 2y = 4, 3x - y = 1, and 3x - y = 8
> A rectangle with length L and width W is cut into four smaller rectangles by two lines parallel to the sides. Find the maximum and minimum values of the sum of the squares of the areas of the smaller rectangles.
> An important problem in thermodynamics is to find the work done by an ideal Carnot engine. A cycle consists of alternating expansion and compression of gas in a piston. The work done by the engine is equal to the area of the region R enclosed by two isot
> (a). Evaluate ∭E dV, where E is the solid enclosed by the ellipsoid x2/a2 + y2/b2 + z2/c2 = 1. Use the transformation x = au, y = bv, z = cw. (b). The earth is not a perfect sphere; rotation has resulted in flattening at the poles. So, the shape can be a
> Use a triple integral to find the volume of the given solid. The solid enclosed by the paraboloids y = x2 + z2 and y = 8 - x2 - z2
> Use a triple integral to find the volume of the given solid. The tetrahedron enclosed by the coordinate planes and the plane 2x + y + z = 4
> Use a double integral to find the area of the region. The region inside the circle (x – 1)2 + y2 = 1 and outside the circle x2 + y2 = 1
> Use the given transformation to evaluate the integral. ∬R (4x + 8y) dA, where R is the parallelogram with vertices (-1, 3), (1, -3), (3, -1), and (1, 5); x = 1/4 (u + v), y = 1/4 (v - 3u)
> Use the given transformation to evaluate the integral. ∬R (x - 3y) dA, where R is the triangular region with vertices (0, 0), (2, 1), and (1, 2); x = 2u + v, y = u + 2v
> A region R in the xy-plane is given. Find equations for a transformation T that maps a rectangular region S in the uv-plane onto R, where the sides of S are parallel to the u- and v-axes. R is bounded by the hyperbolas y = 1/x, y = 4/x and the lines y =
> A region R in the xy-plane is given. Find equations for a transformation T that maps a rectangular region S in the uv-plane onto R, where the sides of S are parallel to the u- and v-axes. R lies between the circles x2 + y2 = 1 and x2 + y2 = 2 in the firs
> Find the extreme values of f on the region described by the inequality. f(x, y) = x² + y² + 4x – 4y, x? + y? < 9
> A region R in the xy-plane is given. Find equations for a transformation T that maps a rectangular region S in the uv-plane onto R, where the sides of S are parallel to the u- and v-axes. R is the parallelogram with vertices (0, 0), (4, 3), (2, 4), (-2,
> A region R in the xy-plane is given. Find equations for a transformation T that maps a rectangular region S in the uv-plane onto R, where the sides of S are parallel to the u- and v-axes. R is bounded by y = 2x - 1, y = 2x + 1, y = 1 - x, y = 3 - x
> Write the equation in spherical coordinates. (a). z = x2 + y2 (b). z = x2 - y2
> Find the image of the set S under the given transformation. S is the triangular region with vertices (0, 0), (1, 1), (0, 1); x = u2, y = v
> Find the image of the set S under the given transformation. S is the square bounded by the lines u = 0, u = 1, v = 0, v = 1; x = v, y = u (1 + v2)
> Find the image of the set S under the given transformation. S = {(u, v) | 0 < u < 3, 0 < v < 2}; x = 2u + 3v, y = u - v
> Describe in words the surface whose equation is given. ρ2 - 3ρ + 2 = 0
> Describe in words the surface whose equation is given. φ = π/3
> Change from rectangular to cylindrical coordinates. (a). (-√(2 ), √(2 ), 1) (b). (2, 2, 2)
> Change from rectangular to cylindrical coordinates. (a). (-1, 1, 1) (b). (-2, 2 3 , 3)
> Find the extreme values of f subject to both constraints. f(x, y, z) = x² + y² + z*; x – y = 1, y² – z² = 1
> (a). Use a graphing calculator or computer to graph the circle x2 + y2 = 1. On the same screen, graph several curves of the form x2 + y = c until you find two that just touch the circle. What is the significance of the values of c for these two curves? (
> Plot the point whose cylindrical coordinates are given. Then find the rectangular coordinates of the point. (a). (4, π/3, -2) (b). (2, - π/2, 1)
> Determine whether the statement is true or false. If it is true, explain why. If it is false, explain why or give an example that disproves the statement. 1. 2. There exists a function f with continuous second-order partial derivatives such that fx (x,
> Sketch the graph of the function. f (x, y) = x2 + (y – 2)2
> Use Lagrange multipliers to find the maximum and minimum values of f subject to the given constraint(s). f(x, y - 1 y y
> Use a graphing calculator or computer (or Newton’s method or a computer algebra system) to find the critical points of f (x, y) = 12 + 10y - 2x2 - 8xy - y4 correct to three decimal places. Then classify the critical points and find the highest point on t
> Use a graph or level curves or both to estimate the local maximum and minimum values and saddle points of f (x, y) = x3 - 3x + y4 - 2y2. Then use calculus to find these values precisely.
> Find the local maximum and minimum values and saddle points of the function. If you have three-dimensional graphing software, graph the function with a domain and viewpoint that reveal all the important aspects of the function. f (x, y) = x3 - 6xy + 8y3
> Find the local maximum and minimum values and saddle points of the function. If you have three-dimensional graphing software, graph the function with a domain and viewpoint that reveal all the important aspects of the function. f (x, y) = x2 - xy + y2 +
> A pentagon is formed by placing an isosceles triangle on a rectangle, as shown in the figure. If the pentagon has fixed perimeter P, find the lengths of the sides of the pentagon that maximize the area of the pentagon.
> Shoe that ∫_0^∞(arctan πx-arctanx)/x dx=π/2 lnπ by first expressing the integral as an iterated integral.
> A package in the shape of a rectangular box can be mailed by the US Postal Service if the sum of its length and girth (the perimeter of a cross-section perpendicular to the length) is at most 108 in. Find the dimensions of the package with largest volume
> Find the points on the surface xy2z3 = 2 that are closest to the origin.
> Use Lagrange multipliers to find the maximum and minimum values of f subject to the given constraint(s). f (x, y, z) = x2 + 2y2 + 3z2; x + y + z = 1, x - y + 2z = 2
> Use Lagrange multipliers to find the maximum and minimum values of f subject to the given constraint(s). f (x, y, z) = xyz; x2 + y2 + z2 = 3
> (a). Evaluate ∬D 1/((x^2+y^2 )^(n/2) ) dA, where n is an integer and D is the region bounded by the circles with center the origin and radii r and R, 0 < r < R. (b). For what values of n does the integral in part (a) have a limit as r → +? (c). Find ∭E 1
> Use Lagrange multipliers to find the maximum and minimum values of f subject to the given constraint(s). f (x, y) = x2y; x2 + y2 = 1
> The Mean Value Theorem for double integrals says that if f is a continuous function on a plane region D that is of type I or II, then there exists a point sx0, y0 d in D such that Use the Extreme Value Theorem (14.7.8) and Property 15.2.11 of integrals
> Use the change of variables formula and an appropriate transformation to evaluate ∬R xy dA, where R is the square with vertices (0, 0), (1, 1), (2, 0), and (1, -1).
> Find the absolute maximum and minimum values of f on the set D. f (x, y) = e-x2-y2 (x2 + 2y2); D is the disk x2 + y2 < 4
> Find the absolute maximum and minimum values of f on the set D. f (x, y) = 4xy2 - x2y2 - xy3; D is the closed triangular region in the xy-plane with vertices (0, 0), (0, 6), and (6, 0)
> Suppose f is a differentiable function of one variable. Show that all tangent planes to the surface z = x f (y/x) intersect in a common point.
> Find the local maximum and minimum values and saddle points of the function. If you have three-dimensional graphing software, graph the function with a domain and viewpoint that reveal all the important aspects of the function. f (x, y) = (x2 + y) ey/2
> Find the local maximum and minimum values and saddle points of the function. If you have three-dimensional graphing software, graph the function with a domain and viewpoint that reveal all the important aspects of the function. f (x, y) = 3xy - x2y - xy2
> A lamp has three bulbs, each of a type with average lifetime 800 hours. If we model the probability of failure of a bulb by an exponential density function with mean 800, find the probability that all three bulbs fail within a total of 1000 hours.
> The joint density function for random variables X and Y is (a). Find the value of the constant C. (b). Find P (X 1). (c). Find P (X + Y S(x + y) if 0 <I< 3, 0< y< 2 f(x, y) = otherwise
> Find parametric equations of the tangent line at the point (-2, 2, 4) to the curve of intersection of the surface z = 2x2 - y2 and the plane z = 4.
> The contour map shows wind speed in knots during Hurricane Andrew on August 24, 1992. Use it to estimate the value of the directional derivative of the wind speed at Homestead, Florida, in the direction of the eye of the hurricane. 70 60 70 5565 U 8
> Use spherical coordinates to evaluate ∫_(-2)^2 ∫_0^(√(4-y^2 ) ∫_(-√(4-x^2-y^2 ) ^(√(4-x^2-y^2 ) y^2 √(x^2+y^2+z^2 ) dz dx dy
> Use polar coordinates to evaluate ∫_0^3 ∫ (-√(9-x^2 ) ^(√(9-x^2 ) (x^2+xy^2) dy dx
> Graph the surface z = x sin y, -3 < x < 3, -π < y < π, and find its surface area correct to four decimal places.
> Find the area of the part of the surface z = x2 + y that lies above the triangle with vertices (0, 0), (1, 0), and (0, 2).
> Find the extreme values of f subject to both constraints. f(x, y, z) = x + y + z; x² + z? = 2, x + y= 1
> (a). When is the directional derivative of f a maximum? (b). When is it a minimum? (c). When is it 0? (d). When is it half of its maximum value?
> (a). Find the centroid of a solid right circular cone with height h and base radius a. (Place the cone so that its base is in the xy-plane with center the origin and its axis along the positive z-axis.) (b). If the cone has density function ρ (x, y, z) =
> A lamina occupies the part of the disk x2 + y2 < a2 that lies in the first quadrant. (a). Find the centroid of the lamina. (b). Find the center of mass of the lamina if the density function is ρ (x, y) = xy2.
> Consider a lamina that occupies the region D bounded by the parabola x = 1 - y2 and the coordinate axes in the first quadrant with density function ρ (x, y) = y. (a). Find the mass of the lamina. (b). Find the center of mass. (c). Find the moments of ine
> Find the volume of the given solid. Above the paraboloid z = x2 + y2 and below the half-cone z = √(x^2 + y^2 )
> Find the volume of the given solid. One of the wedges cut from the cylinder x2 + 9y2 = a2 by the planes z = 0 and z = mx
> Find the volume of the given solid. Find the volume of the given solid. Bounded by the cylinder x2 + y2 = 4 and the planes z = 0 and y + z = 3
> Find the volume of the given solid. The solid tetrahedron with vertices (0, 0, 0), (0, 0, 1), (0, 2, 0), and (2, 2, 0)
> Find the volume of the given solid. Under the surface z = x2y and above the triangle in the xy-plane with vertices (1, 0), (2, 1), and (4, 0)
> Find the volume of the given solid. Under the paraboloid z = x2 + 4y2 and above the rectangle R = [0, 2] × [1, 4]
> Find the minimum value of f (x, y, z) = x2 + 2y2 + 3z2 subject to the constraint x + 2y + 3z = 10. Show that f has no maximum value with this constraint.
> The two legs of a right triangle are measured as 5 m and 12 m with a possible error in measurement of at most 0.2 cm in each. Use differentials to estimate the maximum error in the calculated value of (a) the area of the triangle and (b) the length of th
> Calculate the value of the multiple integral. ∭E yz dV, where E lies above the plane z = 0, below the plane z = y, and inside the cylinder x2 + y2 = 4
> Calculate the value of the multiple integral. ∭E z dV, where E is bounded by the planes y = 0, z = 0, x + y = 2 and the cylinder y2 + z2 = 1 in the first octant.
> Find the points on the hyperboloid x2 + 4y2 - z2 = 4 where the tangent plane is parallel to the plane 2x + 2y + z = 5.
> Use a computer to graph the surface z = x2 + y4 and its tangent plane and normal line at (1, 1, 2) on the same screen. Choose the domain and viewpoint so that you get a good view of all three objects.
> Find equations of (a) the tangent plane and (b) the normal line to the given surface at the specified point. sin (xyz) = x + 2y + 3z, (2, 21, 0)
> Find equations of (a) the tangent plane and (b) the normal line to the given surface at the specified point. xy + yz + zx = 3, (1, 1, 1)
> Find equations of (a) the tangent plane and (b) the normal line to the given surface at the specified point. x2 + 2y2 - 3z2 = 3, (2, -1, 1)
> Find equations of (a) the tangent plane and (b) the normal line to the given surface at the specified point. z = ex cos y, (0, 0, 1)
> Find equations of (a) the tangent plane and (b) the normal line to the given surface at the specified point. z = 3x2 - y2 + 2x, (1, -2, 1)