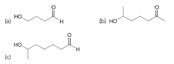
Draw the cyclic hemiacetal that is formed when each of the following bifunctional compounds is treated with aqueous acid.

но. (a) H. (b) но H. (с)
> The OH group on the side chain of serine is not deprotonated at a pH of 12. However, the OH group on the side chain of tyrosine is deprotonated at a pH of 12. This can be verified by inspecting the pKa values in Table 25.2. Suggest an explanation for the
> At a pH of 11, arginine is a more effective proton donor than asparagine. Explain.
> Draw the form of the amino acid that is expected to predominate at the stated pH. a. Alanine at a pH of 10 b. Proline at a pH of 10 c. Tyrosine at a pH of 9 d. Asparagine at physiological pH e. Histidine at physiological pH f. Glutamic acid at a pH
> Of the 20 naturally occurring amino acids shown in Table 25.1, identify any amino acids that exhibit the following: a. A cyclic structure b. An aromatic side chain c. A side chain with a basic group d. A sulfur atom e. A side chain with an acidic gr
> Draw a bond-line structure for each of the following amino acids: a. L-Leucine b. L-Tryptophan c. L-Methionine d. L-Valine
> Identify the reagents you would use to convert cyclohexanone into each of the following compounds: (a) (b) (c) (d) (e) .co,.Et (f) (g)
> Although most naturally occurring proteins are made up only of L amino acids, proteins isolated from bacteria will sometimes contain d amino acids. Draw Fischer projections for D-alanine and D-valine. In each case, assign the configuration (R or S) of th
> Explain why glucose is the most common monosaccharide observed in nature.
> Draw the product that is expected when the β-pyranose form of compound A is treated with excess ethyl iodide in the presence of silver oxide. The following information can be used to determine the identity of compound A: 1. The molecular formula of comp
> When each of the D-aldohexoses assumes an α-pyranose form, the CH2OH group occupies an equatorial position in the more stable chair conformation. The one exception is D-idose, for which the CH2OH group occupies an axial position in the more stable chair
> When D-glucose is treated with an aqueous bromine solution (buffered to a pH of 6), an aldonic acid is formed called D-gluconic acid. Treatment of D-gluconic acid with an acid catalyst produces a lactone (cyclic ester) with a six-membered ring. a. Draw
> Compound A is a D-aldopentose that is converted into an optically active alditol upon treatment with sodium borohydride. Draw two possible structures for compound A.
> Draw the nucleoside formed from each of the following pairs of compounds and name the nucleoside: a. 2-Deoxy-d-ribose and adenine b. d-Ribose and guanine
> Draw the α-N-glycoside and the β-N-glycoside formed when d-glucose is treated with aniline (C6H5NH2).
> Draw a mechanism for the following transformation: OH -OH но но OH HCI OH OH но HO- OH
> Salicin is a natural analgesic present in the bark of willow trees, and it has been used for thousands of years to treat pain and reduce fevers. a. Is salicin a reducing sugar? b. Identify the products obtained when salicin is hydrolyzed in the presenc
> Propose an efficient synthesis for each of the following transformations: EtO (a) OEt (b) (c)
> Identify reagents that can be used to accomplish each of the following transformations: /a
> Isomaltose is similar in structure to maltose, except that it is a 1→6 α-glycoside, rather than a 1→4 α-glycoside. Draw the structure of isomaltose.
> Xylitol is found in many kinds of berries. It is approximately as sweet as sucrose but with fewer calories. It is often used in sugarless chewing gum. Xylitol is obtained upon reduction of D-xylose. Draw a structure of xylitol.
> Trehalose is a naturally occurring disaccharide found in bacteria, insects, and many plants. It protects cells from dry conditions because of its ability to retain water, thereby preventing cellular damage from dehydration. This property of trehalose has
> Consider the structures of the four D-aldopentoses (Figure 24.3). a. Which D-aldopentose produces the same aldaric acid as D-lyxose? b. Which D-aldopentoses yield optically inactive alditols when treated with sodium borohydride? c. Which D-aldopentose
> Identify the product(s) that would be formed when each of the following compounds is treated with aqueous acid: a. Methyl α-D-glucopyranoside b. Ethyl β-D-galactopyranoside
> Identify the reagents that you would use to convert β-D glucopyranose into each of the following compounds: HOÇH, CH,OH OCH, OH но (b) но HO (a) но- -OCH, OH OH ÇO,H H- -OH но -- H- OH OH (c) ČO̟H (d)
> (a) This compound will not be a reducing sugar because the anomeric position is an acetal group. (b) This compound will be a reducing sugar because the anomeric position bears an OH group. Determine whether each of the following compounds is a reducing
> Which of the D-aldohexoses are converted into optically inactive alditols upon treatment with sodium borohydride?
> When treated with sodium borohydride, D-glucose is converted into an alditol. a. Draw the structure of the alditol. b. Which L-aldohexose gives the same alditol when treated with sodium borohydride?
> Identify the two products obtained when D-glyceraldehyde is treated with HCN and determine the relationship between these two products.
> Predict the major product for each of the following transformations: EtO,C .CO,Et H,0" Heat EtO,C CO,Et (a) CH,CO,Et 1) NaOEt CH20 Нeat 2) H,0* (b) CH,CO,Et H,O"), Be Pyridine 1) ElzCuli C,H,Bro CH,O 2) Mel CH10 (c) 1)LDA, -78°C 2) Etl C,H,0 (d)
> Identify the two aldohexoses that are obtained when D-arabinose undergoes a Kiliani–Fischer synthesis.
> Identify the two aldohexoses that will undergo a Wohl degradation to yield D-ribose. Draw a Fischer projection of the open-chain form for each of these two aldohexoses.
> Draw all possible 2-ketohexoses that are D sugars.
> For each of the following pairs of compounds, determine whether they are enantiomers, epimers, diastereomers that are not epimers, or identical compounds: a. d-Glucose and D-gulose b. 2-Deoxy-D-ribose and 2-deoxy-D-arabinose
> Draw the products that are expected when α-D-galactopyranose is treated with excess methyl iodide in the presence of silver oxide, followed by aqueous acid.
> Draw the more stable chair conformation of α-D-altropyranose and label all substituents as axial or equatorial.
> In addition to D-galactose, one other D-aldohexose also forms an optically inactive aldaric acid when treated with nitric acid. Draw the structure of this aldohexose.
> When D-galactose is heated in the presence of nitric acid, an optically inactive compound is obtained. Draw the structure of the product and explain why it is optically inactive.
> Draw the products that are expected when β-D-allopyranose is treated with each of the following reagents: a. Excess CH3I, Ag2O b. Excess acetic anhydride, pyridine c. CH3OH, HCl
> Draw the open-chain form of each of the compounds in the previous problem.
> Draw a reasonable mechanism for the following transformation: NaOH, H20 Нeat
> Provide a complete name for each of the following compounds: CH,OH HOCH, но HO- он (a) OH OH (b) OH OH CH,OH HO но но. OCH3 (c) OH
> Draw a Haworth projection showing the α-pyranose form of the D-aldohexose that is epimeric with D-glucose at C3.
> Draw a Haworth projection for each of the following compounds: a. β-D-Fructofuranose b. β-D-Galactopyranose c. β-D-Glucopyranose d. β-D-Mannopyranose
> Draw a Fischer projection for each of the following compounds: a. D-glucose b. D-galactose c. D-mannose d. D-allose
> Assign the configuration of each chiral center in the following compounds: H. H. H. H- OH OH H- -OH- H- OH но -H OH но OH (a) ČH,OH (b) ČH,OH (c) ČH,OH H- ÇH2OH но- -н C=0 H- OH H- H- -OH (d) ČH,OH (е) ČH,OH
> Draw the open-chain form of the compound formed when methyl β-D-glucopyranoside is treated with aqueous acid.
> For each of the following pairs of compounds, determine whether they are enantiomers, epimers, diastereomers that are not epimers, or identical compounds: H- он но но но- OH OH H- OH H- OH (a) ČH,OH ČH,OH Н. -OH но- но но HO- но OH H- OH (b) ČH-OH CH
> D-Ribose can adopt two pyranose forms and two furanose forms. a. Draw both pyranose forms of D-ribose and identify each as α or β. b. Draw both furanose forms of D-ribose and identify each as α or β.
> Identify the hydroxyaldehyde that will cyclize under acidic conditions to give the following hemiacetal: OH
> Draw the structure of the product that is obtained when acetophenone is treated with each of following reagents: a. Sodium hydroxide and excess iodine followed by H3O+ b. Bromine in acetic acid c. Aqueous sodium hydroxide at elevated temperature
> Consider the structures of the D aldopentoses: a. Identify the aldopentose that is epimeric with D-arabinose at C2. b. Identify the aldopentose that is epimeric with D-lyxose at C3. c. Draw the enantiomer of D-ribose. d. Identify the relationship bet
> Name each of the following aldohexoses: H. H. H. H. H- -он -HO- но H- OH но но но но. H он H- OH H- OH но но -он H- OH HO H (а) ČH,OH (Ь) ČH,OH (c) ČH,OH (d) CH,OH
> Identify each of the following structures as either D- or L-glyceraldehyde: но TH. HO, (a) OH (b) OH OH но. (c) HO. (d) CHO
> Classify each of the following monosaccharides as either D or L, as either an aldo or a keto sugar, and as a tetrose, pentose, or hexose: H. H. H. H OH H OH H OH HO H H- -OH но H. H- OH H- FOH (a) ČH,OH (b) ČH,OH (c) ČH,OH H. H- -O- ÇH,OH Но C=0 -OH
> Predict the product that is obtained when cellobiose is treated with each of the following reagents: a. NaBH4, H2O b. Br2, H2O (pH=6) c. CH3OH, HCl d. Ac2O, pyridine
> Draw the structure of the product obtained when the following disaccharide is treated with NaBH4 in methanol: CH2OH но CH,OH но. он но OH OH
> Determine whether each of the following disaccharides is a reducing sugar: OH CH,OH OH OH но CH,OH но- но OH но OH OH но -OCH, (a) OH (b) OH OH он CH2OH OH OH HOCH, (c) но но Sucrose
> When D-glucose undergoes a Wohl degradation followed by a Kiliani–Fischer chain-lengthening process, a mixture of two epimeric products is obtained. Identify both epimers.
> Identify the reagents you would use to convert D-ribose into D-erythrose (Problem 24.22).
> Draw and name the two aldohexoses that can be converted into D-ribose (Problem 24.34a) using a Wohl degradation.
> 74. In the following compound, how many of the π bonds are conjugated? a. 0 b. 1 c. 2 d. 3 75. Which set of starting materials could be used to prepare the following compound in one step? 76. What is the major product of the following r
> Identify the reagents you would use to convert D-erythrose (Problem 24.22) into D-ribose. What other product is also formed in this process?
> Draw and name the pair of epimers formed when the following aldopentoses undergo a Kiliani–Fischer chain-lengthening process: H. OH H- OH но- OH но- но FH H- H- OH OH ČH,OH ČH,OH ČH,OH (а) D-Ribosе (b) D-Xylose (с) D-Lyxose
> Do you expect β-D-glucopyranose pentamethyl ether to be a reducing sugar? Explain your reasoning.
> Draw and name the product obtained when each of the following compounds is treated with aqueous bromine (at pH = 6): a. α-D-Galactopyranose b. β-D-Galactopyranose c. α-D-Glucopyranose d. β-D-Glucopyranose
> Determine whether each of the following compounds is a reducing sugar: CH,OH OH CH,OH CH2OCH3 но H,CO H3CO- OH ÓCH, но OH OH (b) OCH, (a) OH (c)
> Of the eight d-aldohexoses, only two of them form optically inactive alditols when treated with sodium borohydride in the presence of water. Identify these two aldohexoses and explain why their alditols are optically inactive.
> The same product is obtained when either D-allose or L-allose is treated with sodium borohydride in the presence of water. Explain this observation.
> The same product is obtained when either d-altrose or d-talose is treated with sodium borohydride in the presence of water. Explain this observation.
> Draw and name the structure of the aldohexose that is epimeric with D-glucose at each of the following positions: a. C2 b. C3 c. C4
> Methyl α-D-glucopyranoside is a stable compound that does not undergo mutarotation under neutral or basic conditions. However, when subjected to acidic conditions, an equilibrium is established consisting of both methyl α-D-glucopyranoside and methyl β-D
> Identify reagents that can be used to achieve each of the following transformations: OE! DEt
> When α-D-galactopyranose is treated with ethanol in the presence of an acid catalyst, such as HCl, two products are formed. Draw both products and account for their formation with a mechanism
> Draw the product obtained when each of the compounds from the previous problem is treated with methyl iodide in the presence of silver oxide (Ag2O).
> Draw the product obtained when each of the following compounds is treated with acetic anhydride in the presence of pyridine: a. α-D-Galactopyranose b. α-D-Glucopyranose c. β-D-Galactopyranose
> Draw the open-chain form of the carbohydrate that can undergo acid-catalyzed cyclization to produce α-D-fructopyranose.
> Draw a mechanism for the acid-catalyzed cyclization of d-fructose to give β-D-fructofuranose.
> Draw a mechanism for the acid-catalyzed cyclization of l-threose to give β-L-threofuranose. (Hint: You may want to first review the mechanism for acid-catalyzed hemiacetal formation, Mechanism 19.5.)
> Consider the structures of the following two D-aldotetroses: Each of these compounds exists as a furanose ring, which is formed when the OH at C4 attacks the aldehyde group. Draw each of the following furanose rings: a. α-D-Erythrofuranos
> There are two chair conformations for β-D-glucopyranose. Draw the less stable chair conformation.
> Draw the open-chain form of the following cyclic monosaccharide: CH,OH но OH OH OH он
> Draw the more stable chair conformation for each of the following compounds: a. β-D-Galactopyranose b. α-D-Glucopyranose c. β-D-Glucopyranose
> Identify the reagents you would use to convert 3-pentanone into 3-hexanone.
> When D-talose is dissolved in water, an equilibrium is established in which two pyranose forms are present. Draw both pyranose forms and name them.
> Mutarotation causes the conversion of β-D-mannopyranose to α-D-mannopyranose. Using Haworth projections, draw the equilibrium between the two pyranose forms and the open-chain form of d-mannose.
> Provide a complete name for the following compound: CH,OH OH OH OH H H H. OH
> Draw a Haworth projection for each of the following compounds: a. β-D-Galactopyranose b. α- D -Mannopyranose c. α- D -Allopyranose d. β- D -Mannopyranose e. β- D -Glucopyranose f. α- D -Glucopyranose
> The following compound has one aldehyde group and two OH groups. Under acidic conditions, either one of the OH groups can function as a nucleophile and attack the carbonyl group, giving rise to two possible ring sizes. a. Ignoring stereochemistry (for n
> Identify the hydroxyaldehyde that will cyclize under acidic conditions to give the following hemiacetal: OH
> Draw the cyclic hemiacetal that is formed when each of the following bifunctional compounds is treated with aqueous acid: H. но но. (a) OH (b) но H (с) н (d)
> Which of the following terms best describes the relationship between d-fructose and d-glucose? Explain your choice. a. Enantiomers b. Diastereomers c. Constitutional isomers
> Draw and name the enantiomer of D-fructose.
> There are four stereoisomeric aldotetroses. a. Draw all four and arrange them in pairs of enantiomers. b. Identify which stereoisomers are D sugars and which are L sugars
> Draw the condensation product obtained when the following compound is heated in the presence of aqueous sodium hydroxide: NaOH, H,O H,O Heat
> There are only two stereoisomeric ketotetroses. a. Draw both of them. b. Identify their stereoisomeric relationship. c. Identify which is a D sugar and which is an L sugar
> D-allose is an aldohexose in which all four chiral centers have the R configuration. Draw a Fischer projection of each of the following compounds: a. D-Allose b. L-Allose
> Determine whether each of the following carbohydrates is a D sugar or an L sugar and assign a configuration for each chiral center. After assigning the configuration for all of the chiral centers, do you notice any trend that would enable you to assign t
> Would you expect an aldohexose and a ketohexose to be constitutionally isomeric? Explain why or why not.
> Classify each of the following carbohydrates as an aldose or ketose and then insert the appropriate term to indicate the number of carbon atoms present (e.g., an aldopentose): H. но ÇH,OH но H- OH C=0 H OH H- -OH H- OH OH H OH ČH,OH CH,OH CH,OH (a) (
> The formal synthesis of quinine in 1944 by Woodward and Doering was a landmark achievement.7 During their synthesis, the following compound was treated with excess methyl iodide, followed by a strong alkali solution of NaOH. Under these conditions, the i