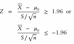
Establish the connection between the large sample Z test, which rejects H0 : µ = µ0 in favor of H1 : µ â µ0 , at a = .05, if

and the 95% confidence interval

> Referring to Exercise 6.49, use MINITAB or another package program to make a normal-scores plot of the computer anxiety scores in the Data Bank. Data from Exercise 6.49: Use a computer program to make a normal-scores plot for the volume of timber data i
> In all of William Shakespeare's works, he used 884,64 74 different words. Of these, 14,376 appeared only once. In 1985 a 429-word poem was discovered that may have been written by Shakespeare. To keep the probability calculations simple, assume that the
> On a Saturday afternoon, 14 7 customers are observed during check-out and the number paying by card, credit or debit, is recorded. Records from the store suggest that 43% of customers pay by card. Approximate the probability that: (a) More than 60 will p
> Because 10% of the reservation holders are "no-shows," a U.S. airline sells 400 tickets for a flight that can accommodate 3 70 passengers. (a) Find the approximate probability that one or more reservation holders will not be accommodated on the flight.
> The number of successes X has a binomial distribution. State whether or not the normal approximation is appropriate in each of the following situations: (a) n = 400 , p = .23 (b) n = 20 , p = .03 (c) n = 90 , p = .98
> A particular program, say, program A, previously drew 30% of the television audience. To determine if a recent rescheduling of the programs on a competing channel has adversely affected the audience of program A, a random sample of 400 viewers are asked
> Probabilities, provided by the engaged couple, can help control the number of guests at their wedding. At the planning stage, decisions are necessarily based on the number of persons expected to respond yes to the RSVP. Concerning one group of four adult
> Let X denote the number of successes in n Bernoulli trials with a success probability of p. (a) Find the exact probabilities of each of the following: (i) X ~ 7 when n = 25, p = .4 (ii) 11 ≤ X ≤ 16whenn = 20, p = .7 (iii) X ≥ 9 when n = 16, p = .5 (
> Suppose the random variable X is normally distributed with mean µ and standard deviation CJ. If Y is a linear function of X - that is, Y = a + bX, where a and bare constants-then Y is also normally distributed with Mean = a + bµ sd = |b| ( For instance,
> Suppose the amount of a popular sport drink in bottles leaving the filling machine has a normal distribution with mean 101.5 milliliters (ml) and standard deviation 1.6 ml. (a) If the bottles are labeled 100 ml, what proportion of the bottles contain le
> Suppose the duration of trouble-free operation of a new robotic vacuum cleaner is normally distributed with mean 750 days and standard deviation 100 days. (a) What is the probability that the vacuum cleaner will work for at least two years without troub
> The scores on an examination are normally distributed with mean µ = 70 and standard deviation ( = 8. Suppose that the instructor decides to assign letter grades according to the following scheme (left endpoint included). Find the percentage
> Th e bonding strength of a drop of plastic glue is normally distributed with mean 100 pounds and standard deviation 8 pounds. A broken plastic strip is repaired with a drop of this glue and then subjected to a test load of 90 pounds. What is the probabil
> The lifting capacities of a class of industrial workers are normally distributed with mean 65 pounds and standard deviation 8 pounds. What proportion of these workers can lift an 80-pound load?
> Suppose that a student's verbal score X from next year's Graduate Record Exam can be considered an observation from a normal population having mean 499 and standard deviation 120. Find (a) P ( X > 600 ] (b) 90th percentile of the distribution. (c) Pro
> If X has a normal distribution with µ = 90 and ( = 4 find b such that (a) P(X < b) .6700 (b) P(X > b) .0110 (c) P(IX - 90 1 < b) = .966 (d) Check all of your answers using software.
> The bell-shaped histogram for the heights of three-year-old red pine seedlings on page 1 79 is consistent with the assumption of a normal distribution having mean = 280 and sd = 58 millimeters. Let X denote the height, at three years of age, of the next
> Given the following probability distribution concerning the number of Web sites visited almost every day: (a) Construct the probability histogram. (b) Find E(X), (2, and (.
> A normal distribution with mean 11 5 and standard deviation 22 hundredths of an inch describes variation in female salmon growth in freshwater. (a) If a newly caught female salmon has growth 108, what is the corresponding standardized score? (b) If a s
> If Z is a standard normal random variable, what is the probability that (a) Z exceeds .62? (b) Z lies in the interval ( -1 .40, 1 .40)? (c)|Z| exceeds 3.0? (d) |Z| is less than 2.0?
> Find the 20th, 40th, 60th, and 80th percentiles of the standard normal distribution.
> For the standard normal distribution, find the value z such that (a) Area to its left is .0838. (b) Area to its left is .04 7. (c) Area to its right is .2611. (d) Area to its right is .12.
> For a standard normal random variable Z, find (a) P[Z < 1.56 ) (b) P [ Z > 1.245) (c) P[ .61 < Z < 1.92 ) (d) P [ -1.47 < Z < 1.055)
> In the context of the height of red pine seedlings presented at the front of the chapter, describe the reasoning that leads from a histogram to the concept of a probability density curve. (Think of successive histograms based on 100 heights, 500 heights,
> For X having the density in Exercise 6.55. Find (a) P(X > .8) (b) P(.4 ≤ X ≤ .8) and (c) P(.4 Data from Exercise 6.55: Determine (a) the median and (b) the quartiles for the distribution shown in the following
> Determine (a) the median and (b) the quartiles for the distribution shown in the following illustration.
> Refer to Exercise 9.51. Do these data provide strong evidence that the mean time to blossom is less than 42 days? Test with a = .01. (a) Formulate the null and alternative hypotheses. (b) Determine the test statistic. (c) Give the form of the rejectio
> The water quality is acceptable if the mean amount of suspended solids is less than 49 mg/I. Construct an a = .05 test to establish that the quality is acceptable. (a) Specify H0 and H1 . (b) State the test statistic. (c) What does the test conclude?
> Among cable TV customers, let X denote the number of television sets in a single-family residential dwelling. From an examination of the subscription records of 361 residences in a city, the frequency distribution is obtained. (a) Based on these data, ob
> Concerning the product volume for green gasoline. Obtain (a) A point estimate ofµ and its 95% error margin. (b) A 90% confidence interval for the mean. (c) Explain why you are 90% confident that the interval in part (b) covers the true unknown mean.
> The time to blossom of 21 plants has x = 38.4 days and s = 5.1 days. Give a 95% confidence interval for the mean time to blossom.
> Recorded here are the germination times (number of days) for seven seeds of a new strain of snap bean. Stating any assumptions that you make, determine a 95% confidence interval for the true mean germination time for this strain.
> The weights from a random sample of 20 golden retriever dogs have mean 76.1 pounds and standard deviation 5.9 pounds. Assume that the weights of the dogs have a normal distribution. (a) Construct a 98% confidence interval for the population mean. (b) Wh
> Use software to find the probability (a) T ≤ -1 .3 when d.f = 12. (b) T > 1.7 when d.f = 21. (c) |T| > 1.35 when d.f = 33. (d) Find c such that P [T > c] = .015 when d.f = 18. (e) Find c such that P [I T l > c] = .04 when d.f = 42.
> Record the t.05 values for d.f of 5, 10, 15, 20, and 29. Does this percentile increase or decrease with increasing degrees of freedom?
> Use software to find the number b so that (a) P[T < b] = .95 when d.f = 5. (b) P[ - b < T < b] = .95 when d.f = 37. (c) P[T > b] = .01 when d.f 2. (d) P[ T > b] = .99 when d.f = 13.
> Do the data in Exercise 9.22 substantiate the conjecture that the true standard deviation of the acidity measurements is larger than 0.4? Test at a = .05. Data from Exercise 9.22: Measurements of the acidity (pH) of rain samples were recorded at 13 site
> Referring to Exercise 9.21, construct a 95% confidence interval for the population standard deviation of the diameters of Indian mounds. Data from Exercise 9.21: The following measurements of the diameters (in feet) of Indian mounds in southern Wisconsi
> Refer to the data of lizard lengths in Exercise 9.10. (a) Determine a 90% confidence interval for the population standard deviation (. (b) Should H0 : ( = 9 be rejected in favor of H1 : ( ≠9 at a = .10? Data from Exercise 9.10: A zo
> Based on recent records, the manager of a car painting center has determined the following probability distribution for the number of customers per day. (a) If the center has the capacity to serve two customers per day, what is the probability that one o
> During manufacture, the thickness of laser printer paper is monitored. Data from several random samples each day during the year suggest that thickness follows a normal distribution. A sample of n = 10 thickness measurements (ten-thousandths inch) yields
> Refer to Exercise 9.41. Construct a 95% confidence interval for the true standard deviation of the thickness of sheets produced on this shift. Data from Exercise 9.41: Plastic sheets produced by a machine are periodically monitored for possible fluctuat
> Plastic sheets produced by a machine are periodically monitored for possible fluctuations in thickness. Uncontrollable heterogeneity in the viscosity of the liquid mold makes some variation in thickness measurements unavoidable. However, if the true stan
> Find a 90% confidence interval for (, based on the n = 40 measurements of heights of red pine seedlings. State any assumption you make about the population.
> Use software to find (a) T < -1.729 when d.f = 19. (b) |T| > 2.179 when d.f = 12. (c) -1.703 < T < 1. 703 when d.f 27. (d) -1.833 < T < 2.821 when d.f. 9.
> Use software to find the probability (a) x2 ≤ 17.2 when d .f = 9. (b) x2 > 13.7 when d.f. = 23. (c) Find c such that P(x2 > c) = .015 when d.f = 12. ( d) Find c such that P ( x2 < c) = .04 when d.f. = 33.
> Using MINITAB software to compute x2 percentiles. (a) Determine x2.05 for the x2 distribution with d.f = 19. (b) Determine P (x2 ≤ 30) for d.f. = 19. Repeat Part (a) but click on Cumulative probability. (c) Do both parts with d.f. = 11
> Name the x2 percentiles shown and find their values. (c) Find the percentile in part (a) if d.f = 37. (d) Find the percentile in part (b) if d.f = 11. (e) Verify your answers above using software.
> Using the t able for the x2 distributions, find: (a) The upper 5% point when d.f = 8. (b) The upper 1% point when d.f = 16. (c) The lower 2.5% point when d.f. = 9. (d) The lower 1% point when d.f = 27. (e) Verify your answers above using software.
> Among six new apps available this month, only three will prove to be useful to you in the long run. Suppose you purchase three of the apps at random. Find the probability distribution of X, the number of useful apps you select.
> Refer to the data in Exercise 9.33. (a) Construct a 90% confidence interval forµ. (b) If you were to test H0 : µ = 17 versus H1 : µ ≠ 17 at a = . 10, what would you conclude from your result in part (a}? Why? (c) Perform the hypothesis test indicated
> Ten participants tried a new weight loss diet for two months. The resulting weight losses (pounds} are 20.2 11.0 15.4 9.9 7.9 15.6 15.5 23.1 11.0 11.4 (a) Construct a 95% confidence interval for the population mean amount µ of decrease in weight
> The petal width (mm} of one kind of iris has a normal distribution. Suppose that, from a random sample of widths, the t based 90% confidence interval for the population mean width is ( 16.8, 19.6 } mm. Answer each question "yes," "no," or "can't tell," a
> The 90% confidence interval for the mean weight of female wolves was found to be ( 67.13, 80.62} pounds. (a} What is the conclusion of testing H0 : µ = 81 versus H 1 : µ ≠ 81 at level a = .10? (b} What is the conclusion if H0 : µ = 69?
> Based on a random sample of tail lengths for 15 male kites, an investigator calculates the 95% confidence interval (183.0, 195.0} mm based on the t distribution. The normal assumption is reasonable. (a} What is the conclusion of the t test for H0 : µ = 1
> Using MINITAB software to compute t percentiles (a) Determine t.05 for the t-distribution with d.f = 27. Cale > Probability Distributions > t.... Click on inverse.... Type 27 in Degrees of Freedom. Click Input constant and Type .95. Click OK. (b) Determ
> Refer to the computer anxiety scores for female accounting students in Data Bank. A computer calculation for a test of H0 : µ = 2 versus H1 : µ ≠2 is given here. (a) What is the conclusion if you test with a =
> A few years ago, noon bicycle traffic past a busy section of campus had a mean of µ = 300. To see if any change in traffic has occurred, counts were taken for a sample of 15 weekdays. It was found that x = 340 and s = 30. (a) Construct an a = .05 test o
> The mean drying time of a brand of spray paint is known to be 90 seconds. The research division of the company that produces this paint contemplates that adding a new chemical ingredient to the paint will accelerate the drying process. To investigate thi
> The ability of a grocery store scanner to read accurately is measured in terms of maximum attenuation (db). In one test with 20 different products, the values of this measurement had a mean 10.7 and standard deviation 2.4. The normal assumption is reason
> Use the approximate probability distribution to calculate (a) P(X ≤ 3] (b) P(X ≥ 2] (c) P(2 ≤ X ≤ 3]
> The data on the weight (lb) of female wolves, Test the null hypothesis that the mean weight of females is 83 pounds versus a two-sided alternative. Take a = .05.
> Refer to the experiment described in Example 3. In another 20 trials, a piece of watermelon was dropped on inoculated tiles. The summary statistics for the logarithm of percent transfer, measured at 5 seconds, are n = 20, x = 1.52, s = .09 (a) Find a 95%
> Refer to Exercise 9.10, where a zoologist collected 20 wild lizards in the southwestern United States. Do these data substantiate a claim that the mean length is greater than 128 mm? Test with a = .05. Data from Exercise 9.10: A zoologist collected 20 w
> Measurements of the acidity (pH) of rain samples were recorded at 13 sites in an industrial region. Determine a 95% confidence interval for the mean acidity of rain in that region.
> The following measurements of the diameters (in feet) of Indian mounds in southern Wisconsin were gathered by examining reports in Wisconsin Archeologist ( courtesy of J. Williams). (a) Do these data substantiate the conjecture that the population mean d
> Refer to the data on the weight (pounds) of male wolves given in the Data Bank. A computer calculation gives a 95% confidence interval. (a) Is the population mean weight for all male wolves in the Yukon-Charley Rivers National Reserve contained in this i
> Name the t percentiles shown and find their values from Appendix B, Table 5.
> The data on the lengths of anacondas on the front piece of the chapter yield a 95% confidence interval for the population mean length of all anaconda snakes in the area of the study. (a) Is the population mean length of all female anacondas living in th
> Refer to Exercise 9.12. Do these data support the claim that the mean monthly rent for a two-bedroom apartment differs from 1200 dollars7 Take  = .05. Data from Exercise 9.12: The monthly rent (dollars) for a two-bedroom apartment on
> Given the sample 4 7 5 4 (a) Evaluate the t-statistic for testing H0 : µ0 = 3. (b) Use software to check your value of t. R: t.test(x,mu=3) after x= c( 4, 7, 5, 4)
> In a study of the life length of a species of mice, 120 newborn mice are observed. The numbers staying alive past the first, second, third, and fourth years are 106, 72, 25, and 0, respectively. Let X denote the life length (in discrete units of whole ye
> One of the first investigations of the amount of persistent organic pollutants present in soil within an urban setting was motivated by a major flood seventy days earlier. 1 One series of measurements of the total amount of PCB congeners consisted of 14
> Henry Cavendish (1 731 - 1810) provided direct experimental evidence of Newton's law of universal gravitation, which specifies the force of attraction between two masses. In an experiment with known masses determined by weighing, the measured force can a
> From a random sample of size 18, a researcher states that (11.1, 15. 7) inches is a 90% confidence interval for µ, the mean length of bass caught in a small lake. A normal distribution was assumed. Using the 90% confidence interval, obtain: (a) A point
> From a random sample of size 12, one has calculated the 95% confidence interval for µ and obtained the result (38.6, 46.2). (a) What are the x and s for that sample? (b) Calculate a 98% confidence interval for µ.
> The monthly rent (dollars) for a two-bedroom apartment on the west side of town was recorded for a sample of ten apartments. 1249 1590 1650 1625 1345 1725 1620 1200 1020 1200 Obtain a 95% confidence interval for the mean monthly rent for two-bed
> Eighteen samples of seaweed, each weighing 50 kilograms, are collected to study the feasibility of extracting protein for use in animal feed. The 18 determinations of protein yield have sample mean 3 .6 kilograms and standard deviation .8 kilogram. Dete
> A zoologist collected 20 wild lizards in the southwestern United States. The total length (mm) of each was measured. Obtain a 95% confidence interval for the mean length.
> Using the table for the t distributions, find: (a) The upper .05 point when d.f. = 6. (b) The lower .025 point when d.f = 10. (c) The lower .01 point when d.f 9. (d) The upper .10 point when d.f. = 13.
> Assume that the standard deviation of the number of violent incidents in one hour of children's shows on television is 3.2. An investigator would like to be 99% sure that the true mean number of violent incidents per hour is estimated within 1.4 incident
> When estimating the mean of a population, how large a sample is required in order that the 95% error margin be: (a) 1/8 of the population standard deviation? (b) 15% of the population standard deviation?
> Describe a procedure, based on 12 identical cards, that generates an observation from the probability distribution Specify appropriate numbers, one for each card, that make this probability distribution prevail for the number appearing on a randomly draw
> Refer to the box with the smiling face scale for rating cereals. Using the data that 30 out of 42 youngsters in a sample rated a cereal in the highest category, find an approximate 95% confidence interval for the corresponding population proportion.
> From telephone interviews with 1032 adults, it was found that 68% of those persons supported tougher legislation for antipollution measures. Does this poll substantiate the conjecture that more than 65% of the adult population are in favor of tough er le
> The same owners operate two coffee shops in a large building. One is (a) small and the other (b) large. On any day, the number of customers is only observed for one shop. Determine the point estimate ofµ, the mean number of persons served during a weekda
> An independent bank concerned about its customer base decided to conduct a survey of bank customers. Out of 505 customers who returned the survey form, 258 rated the overall bank services as excellent. (a) Test, at level a = .10, the null hypothesis tha
> Refer to Example where n = 5000 and proportion .78 of the students sometimes use cell phones while driving. Conduce a test of hypotheses, of size .05, with the intent of establishing that the population proportion is greater than . 75.
> Refer to Exercise 8.56. Perform a test of hypotheses to determine whether the proportion of ERS calls involving flat tires or lockouts was significantly smaller than .19, the true proportion for previous years. Data from Exercise 8.56: An automobile clu
> A concerned group of citizens wants to show that less than half the voters support the President's handling of a recent crisis. Let p = proportion of voters who support the handling of the crisis. (a) Determine H0 and H1. (b) If a random sample of 500
> An educator wishes to test H0 : p = .3 against H1 : p > .3, where p = proportion of college football players who graduate in four years. (a) State the test statistic and the rejection region for a large sample test having a = .05. (b) If 22 out of a ran
> A manager of a campus store that sells posters conjectures that more than 30% of all freshman dorm rooms have a poster of a rock group. From n = 60 rooms selected at random, an investigator records X = number of rooms having a poster of a rock group. (a
> Given here are the observed sample proportions p^ in the contexts of parts (a-d.) of Exercise 8.62. Calculate the test statistic and draw a conclusion of the test at the specified level of significance. (a) p^ = .233 (b) p^ = .72 ( c) p^ = .54 (d) Cl
> A probability distribution is partially given in the following table with the additional information that the even values of X are equally likely. Determine the missing entries in the table.
> Identify the variable as a discrete or a continuous random variable in parts (a)- ( e). (a) The loss of weight following a diet program. (b) The magnitude of an earthquake as measured on the open-ended Richter scale. (c) The seating capacity of a roller
> Each part of this problem specifies a claim about a population proportion, the sample size n, and the desired level of significance a. Formulate (i) the hypotheses, (ii) the test statistic, and (iii) the rejection region. (a) Claim p (i) Ho : p = .32, H1
> Given here are the descriptive statements of some claims that one intends to establish on the basis of data. In each case, identify the null and the alternative hypotheses in terms of a population proportion p. (a) Of smokers who eventually quit smoking
> Identify the null and the alternative hypotheses in the following situations. (a) A university official believes that the proportion of students who currently hold part-time jobs has increased from the value .26 that prevailed four years ago. (b) A cab
> When estimating µ from a large sample, suppose that one has found the 95% error margin of X to be 10.4. From this information, determine: (a) The estimated S.E. of X. (b) The 90% error margin.
> Refer to Example 16 and the babies born to parents that both smoke. (a) Find a 90% confidence interval for the proportion of male babies born to parents that both smoke. (b) Does p lie in your interval obtained in part (a)? (c) Why are you 95% confiden