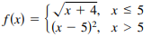
Evaluate the function at the given value(s) of the independent variable. Then find the domain and range.

a. f (â3)
b. f (0)
c. f (5)
d. f (10)
> Find an equation of the line that passes through the points. Then sketch the line. (-2, -2), (1, 7)
> Find an equation of the line that passes through the points. Then sketch the line. (4, 3), (0, -5)
> Sketch the graph of the equation. x + 2y + 6 = 0
> Sketch the graph of the equation. 3x – 3y + 1 = 0
> Sketch the graph of the equation. y – 1 = 3(x + 4)
> Sketch the graph of the equation. y – 2 = 3/2 (x – 1)
> Sketch the graph of the equation. y = 1 / 3 x - 1
> Sketch the graph of the equation. y = -2x + 1
> Sketch the graph of the equation by point plotting. y = (1/2)x + 2
> Sketch the graph of the equation. x = 4
> Sketch the graph of the equation. y = -3
> Find the domain and range of the function. f(x) = │x − 3│
> Find the slope and the y-intercept (if possible) of the line. y = -1
> Find the slope and the y-intercept (if possible) of the line. x = 4
> Find the slope and the y-intercept (if possible) of the line. 6x - 5y = 15
> Find the slope and the y-intercept (if possible) of the line. 5x + y = 20
> Find the slope and the y-intercept (if possible) of the line. -x + y = 1
> Find the slope and the y-intercept (if possible) of the line. y = 4x – 3
> The table shows the biodiesel productions y (in thousands of barrels per day) for the United States for 2007 through 2012. The variable t represents the time in years, with t = 7 corresponding to 2007. (Source: U.S. Energy Information Administration) a.
> Match the equation with its graph. [The graphs are labeled (a), (b), (c), and (d).] y = x3 – x
> The table shows the populations y (in millions) of the United States for 2009 through 2014. The variable t represents the time in years, with t = 9 corresponding to 2009. (Source: U.S. Census Bureau) a. Plot the data by hand and connect adjacent points
> A moving conveyor is built to rise 1 meter for each 3 meters of horizontal change. Find the slope of the conveyor. Suppose the conveyor runs between two floors in a factory. Find the length of the conveyor when the vertical distance between floors is 10
> You are driving on a road that has a 6% uphill grade. This means that the slope of the road is 6 100. Approximate the amount of vertical change in your position when you drive 200 feet.
> Find the domain and range of the function. f(x) = √16 − x2
> Find an equation of the line that passes through the point and has the indicated slope. Then sketch the line. Point: (-2, 4) Slope: m = -(3/5)
> Find an equation of the line that passes through the point and has the indicated slope. Then sketch the line. Point: (3, -2) Slope: m = 3
> Find an equation of the line that passes through the point and has the indicated slope. Then sketch the line. Point: (0, 4) Slope: m = 0
> Find an equation of the line that passes through the point and has the indicated slope. Then sketch the line. Point: (1, 2) Slope: m is undefined.
> Find an equation of the line that passes through the point and has the indicated slope. Then sketch the line. Point: (-5, -2) Slope: m = 6/5
> Find an equation of the line that passes through the point and has the indicated slope. Then sketch the line. Point: (0, 3) Slope: m = 3/4
> Match the equation with its graph. [The graphs are labeled (a), (b), (c), and (d).] y = 3 − x2
> Use the point on the line and the slope of the line to find three additional points that the line passes through. (There is more than one correct answer.) Point: (-2, -1) Slope: m = 2
> Use the point on the line and the slope of the line to find three additional points that the line passes through. (There is more than one correct answer.) Point: (1, 7) Slope: m = -3
> Use the point on the line and the slope of the line to find three additional points that the line passes through. (There is more than one correct answer.) Point: (-4, 3) Slope: m is undefined
> Use the point on the line and the slope of the line to find three additional points that the line passes through. (There is more than one correct answer.) Point: (6, 2) Slope: m = 2
> Find the domain and range of the function. h(x) = −√x + 3
> Consider a polynomial f(x) with real coefficients having the property f(g(x)) = g( f(x)) for every polynomial g(x) with real coefficients. Determine and prove the nature of f(x).
> Sketch the lines through the point with the indicated slopes. Make the sketches on the same set of coordinate axes. Point (-2, 5) Slopes a. 3 b. -3 c. 1/3
> Plot the pair of points and find the slope of the line passing through them. (7/8, 3/4), (5/4, - (1/4)
> Plot the pair of points and find the slope of the line passing through them. (-(1/2, 2/3), (-(3/4), 1/6
> Plot the pair of points and find the slope of the line passing through them. (3, −5), (5, −5)
> Match the equation with its graph. [The graphs are labeled (a), (b), (c), and (d).] y = √9 – x2
> Determine whether the statement is true or false. If it is false, explain why or give an example that shows it is false. If f(x) = f(−x) for all x in the domain of f, then the graph of f is symmetric with respect to the y-axis.
> Determine whether the statement is true or false. If it is false, explain why or give an example that shows it is false. A vertical line can intersect the graph of a function at most once.
> Determine whether the statement is true or false. If it is false, explain why or give an example that shows it is false. If f(a) = f(b), then a = b
> An open box of maximum volume is to be made from a square piece of material 24 centimeters on a side by cutting equal squares from the corners and turning up the sides (see figure). a. Write the volume V as a function of x, the length of the corner squ
> A right triangle is formed in the first quadrant by the x- and y-axes and a line through the point (3, 2) (see figure). Write the length L of the hypotenuse as a function of x
> Prove that the product of an odd function and an even function is odd.
> Prove that the product of two even (or two odd) functions is even.
> Sketch the lines through the point with the indicated slopes. Make the sketches on the same set of coordinate axes. Point (3, 4) Slopes 1 -2 -(3/2)
> Find any intercepts. y2 = x3 − 4x
> Find any intercepts. y = x2 + x – 2
> A skydiver, who weighs 650 N, is falling at a constant speed with his parachute open. Consider the apparatus that connects the parachute to the skydiver to be part of the parachute. The parachute pulls upward on the skydiver with a force of 620 N. (a) Id
> Margie, who weighs 543 N, is standing on a bathroom scale that weighs 45 N. (a) With what magnitude force does the scale push up on Margie? (b) What is the interaction partner of that force? (c) With what magnitude force does the floor push up on the sca
> When a car begins to move forward, what force makes it do so? Remember that it has to be an external force; the internal forces all add to zero. How does the engine, which is part of the car, cause an external force to act on the car?
> A towline is attached between a car and a glider. As the car speeds due east along the runway, the towline exerts a horizontal force of 850 N on the glider. What is the magnitude and direction of the force exerted by the glider on the towline?
> A hummingbird is hovering motionless beside a flower. The blur of its wings shows that they are rapidly beating up and down. If the air pushes upward on the bird with a force of 0.30 N, what is the force exerted on the air by the hummingbird?
> On her way to visit Grandmother, Red Riding Hood sat down to rest and placed her 1.2 kg basket of goodies beside her. A wolf came along, spotted the basket, and began to pull on the handle with a force of 6.4 N at an angle of 25° with respect to vertical
> A barge is hauled along a straight-line section of canal by two horses harnessed to tow ropes and walking along the tow paths on either side of the canal. Each horse pulls with a force of 560 N at an angle of 15° with the centerline of the canal. Find th
> Two forces of magnitudes 3.0 N and 4.0 N act on an object. How are the directions of the two forces related if (a) the net force has magnitude 7.0 N or (b) the net force has magnitude 5.0 N? (c) What relationship between the directions gives the smallest
> Two objects, A and B, are acted on by the forces shown in the FBDs. Is the magnitude of the net force acting on object B greater than, less than, or equal to the magnitude of the net force acting on object A? Explain.
> A sailboat, tied to a mooring with a line, weighs 820 N. The mooring line pulls horizontally toward the west on the sailboat with a force of 110 N. The sails are stowed away and the wind blows from the west. The boat is moored on a still lake—no water cu
> The figure shows the quadriceps and the patellar tendons attached to the patella (the kneecap). If the tension T in each tendon is 1.30 kN, what are the magnitude and direction of the contact force F exerted on the patella by the femur? The weight of the
> A car is driving on a straight, level road at constant speed. Draw an FBD for the car, showing the significant forces that act on it.
> A man is lazily floating on an air mattress in a swimming pool. If the weight of the man and air mattress together is 806 N, what is the upward force of the water acting on the mattress?
> A person stands on the ball of one foot. The normal force due to the ground pushing up on the ball of the foot has magnitude 750 N. Ignore the weight of the foot itself. The other significant forces acting on the foot are the tension in the Achilles tend
> In an attempt to tighten the loosened steel head of a hammer, a carpenter holds the hammer vertically, raises it up, and then brings it down rapidly, hitting the bottom end of the wood handle on a two-by four board. Explain how this tightens the head bac
> Forces of magnitudes 2000 N and 3000 N act on five objects. The directions of the forces are shown in the sketches. Rank the objects according to the magnitude of the net force, from smallest to largest. Explain your reasoning.
> Vector b has magnitude 7.1 and direction 14° below the +x-axis. Vector c has x-component cx = −1.8 and y-component cy = −6.7. Compute: (a) the x- and y-components of b. (b) the magnitude and direction of c. (c) the magnitude and direction of c+b.
> In each of these, the x- and y-components of a vector are given. Find the magnitude and direction of the vector. (a) x = −5.0 cm, y = +8.0 cm. (b) Fx = +120 N, Fy = −60.0 N. (c) vx = −13.7 m/s, vy = −8.8 m/s. (d) ax = 2.3 m/s2, ay = 6.5 cm/s2.
> Find the x- and y-components of the four vectors shown in the drawing.
> Vector A has magnitude 4.0 units; vector B has magnitude 6.0 units. The angle between A and B is 60.0°. What is the magnitude of A+B?
> A vector is 20.0 m long and makes an angle of 60.0° counterclockwise from the y-axis (on the side of the −x-axis). What are the x- and y-components of this vector?
> A person is doing leg lifts with 3.00 kg ankle weights. The lower leg itself has a mass of 5.00 kg. When the leg is held still at an angle of 30.0° with respect to the horizontal, the patellar tendon pulls on the tibia with a force of 337 N at
> The velocity vector of a sprinting cheetah has x- and y-components vx = +16.4 m/s and vy = −26.3 m/s. (a) What is the magnitude of the velocity vector? (b) What angle does the velocity vector make with the +x- and −y-axes?
> Rank, in order of increasing x-component, A+B, B+C and A+C in Problem 4. The x-axis points to the right. Explain your reasoning.
> With the y-axis pointing north, rank vectors D, E and F in Problem 8 in order of increasing y-component. Explain your reasoning.
> Rank vectors A, B and C in Problem 6 in order of increasing x-component. The x-axis points east. Explain your reasoning.
> A dog goes swimming at the beach and then shakes himself all over to get dry. What principle of physics aids in the drying process? Explain.
> A force of 20 N is directed at an angle of 60° above the x-axis. A second force of 20 N is directed at an angle of 60° below the x-axis. What is the vector sum of these two forces?
> Juan is helping his mother rearrange the living room furniture. Juan pushes on the armchair with a force of 30 N directed at an angle of 25° above a horizontal line while his mother pushes with a force of 60 N directed at an angle of 35° below the same
> Two of Robin Hood's men are pulling a sledge loaded with some gold along a path that runs due north to their hideout. One man pulls his rope with a force of 62 N at an angle of 12° east of north and the other pulls with the same force at an angle of 12°
> In the drawing, what is the vector sum of forces D+E+F if each grid square is 2 N on a side?
> Rank the vectors D, E and F in order of increasing magnitude. Explain your reasoning.
> A young boy with a broken leg is undergoing traction. (a) Find the magnitude of the total force of the traction apparatus applied to the leg, assuming the weight of the leg is 22 N and the weight hanging from the traction apparatus is also 22 N. (b) Wh
> In the drawing, what is the vector sum of forces A+B+C if each grid square is 2 N on a side?
> Two vectors, each of magnitude 4.0 N, are inclined at a small angle α below the horizontal, as shown. Let C = A + B. Sketch the direction of C and estimate its magnitude. (The grid is 1 N on a side.)
> Vectors A, B, and C are shown in the figure. (a) Draw vectors D and E, where D=A+B and E=A+C. (b) Show that by graphical means
> Rank the vectors A, B and C in order of increasing magnitude. Explain your reasoning.
> Your car won't start, so you are pushing it. You apply a horizontal force of 300 N to the car, but it doesn't budge. What force is the interaction partner of the 300 N force you exert? (a) the frictional force exerted on the car by the road (b) the force
> An American visitor to Finland is surprised to see heavy metal frames outside of all the apartment buildings. On Saturday morning the purpose of the frames becomes evident when several apartment dwellers appear, carrying rugs and carpet beaters to each f
> A friction force is (a) a contact force that acts parallel to the contact surfaces. (b) a contact force that acts perpendicular to the contact surfaces. (c) a scalar quantity since it can act in any direction along a surface. (d) always proportional to
> Within a given system, the internal forces (a) are always balanced by the external forces. (b) all add to zero. (c) are determined only by subtracting the external forces from the net force on the system. (d) determine the motion of the system. (e) can
> Interaction partners (a) are equal in magnitude and opposite in direction and act on the same object. (b) are equal in magnitude and opposite in direction and act on different objects. (c) appear in an FBD for a given object. (d) always involve gravitat
> How does the magnitude of the normal force N compare with the object's weight W? A passenger (weight W) rides in an elevator. The magnitude of the normal force on the passenger due to the floor is (a) equal to W (b) greater than W (c) less than W (d) Th
> An airplane is cruising along in a horizontal level flight at a constant velocity, heading due west. (a) If the weight of the plane is 2.6 × 104 N, what is the net force on the plane? (b) With what force does the air push upward on the plane?
> How does the magnitude of the normal force N compare with the object's weight W? A weightlifter (weight W) holds a 400 N barbell above his head. The magnitude of the normal force on the weightlifter due to the floor is (a) equal to W (b) greater than W
> How does the magnitude of the normal force N compare with the object's weight W? A car (weight W) is parked on an incline. The magnitude of the normal force on the car is (a) equal to W (b) greater than W (c) less than W (d) The given information is ins
> How does the magnitude of the normal force N compare with the object's weight W? A child (weight W) sits on a level floor. The normal force on the child is (a) equal to W (b) greater than W (c) less than W (d) The given information is insufficient to det
> A woman stands on an airport's moving sidewalk and moves due west at constant velocity. The frictional force on the woman is _____. (Ignore air resistance.) (a) zero (b) kinetic and to the west (c) kinetic and to the east (d) static and to the west (e)