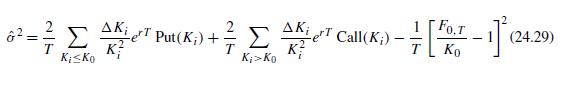
Explain why the VIX formula in equation (24.29) overestimates implied volatility if options are American.
The following three problems use the Merton jump formula. As a base case, assume S = $100, r = 8%, Ï = 30%, T = 1, and δ = 0. Also assume that λ = 0.02, αJ =â0.20, and ÏJ = 0.30.

AKiT Call(K;) 1 [Fo.T 2 (24.29) AKiT Put(K;)+ K? Ko K;>Ko K;
> Suppose that the yield curve is given by y(t) = 0.10 − 0.07e−0.12t, and that the short-term interest rate process is dr(t) = (θ(t) − 0.15r(t)) + 0.01dZ. Compute the calibrated Hull-White tree for 5 years, with time steps of h = 1. a. What is the probabil
> Using the Merton jump formula, generate an implied volatility plot for K = 50, 55, . . . 150. a. How is the implied volatility plot affected by changing αJ to−0.40 or−0.10? b. How is the implied volatility plot affected by changing λ to 0.01 or 0.05? c.
> Consider the Level 3 outperformance option with a multiplier, discussed in Section 16.2. This can be valued binomially using the single state variable SLevel 3/SS&P, and multiplying the resulting value by SS&P. a. Compute the value of this option if it w
> Refer to Figure 19.2. a. Verify that the price of a European put option is $0.0564. b. Verify that the price of an American put option is $0.1144. Be sure to allow for the possibility of exercise at time 0. FIGURE 19.2 12,000 10,000 Histograms for ri
> Consider the last row of Table 17.1. What is the solution for S∗ and S∗ when ks = kr = 0? (This answer does not require calculation.) In the following five problems, assume that the spot price of gold is $300/oz, the effective annual lease rate is 3%, an
> As discussed in the text, compensation options are prematurely exercised or canceled for a variety of reasons. Suppose that compensation options both vest and expire in 3 years and that the probability is 10% that the executive will die in year 1 and 10%
> Using the information in Table 15.5, assume that the volatility of oil is 15%. a. Show that a bond that pays one barrel of oil in 1 year sells today for $19.2454. b. Consider a bond that in 1 year has the payoff S1 + max (0, K1 − S1) &a
> Suppose x1∼ N (2, 0.5) and x2 ∼ N (8, 14). The correlation between x1 and x2 is −0.3. What is the distribution of x1+ x2? What is the distribution of x1+ x2?
> Let S = $40, σ = 0.30, r = 0.08, T = 1, and δ = 0. Also let Q = $60, σQ= 0.50, δQ= 0.04, and ρ = 0.5. What is the price of a standard 40-strike call with S as the underlying asset? What is the price of an exchange option with S as the underlying asset an
> You have sold one 45-strike put with 180 days to expiration. Compute and graph the 1-day holding period profit if you delta- and gamma-hedge this position using the stock and a 40-strike call with 180 days to expiration.
> Assume r = 8%, σ = 30%, δ = 0. In doing the following calculations, use a stock price range of $60–$140, stock price increments of $5, and two different times to expiration: 1 year and 1 day. Consider purchasing a 100-strike straddle, i.e., buying one 10
> Suppose S = $100, K = $95, r = 8% (continuously compounded), t = 1, σ = 30%, and δ = 5%. Explicitly construct an eight-period binomial tree using the Cox-Ross- Rubinstein expressions for u and d:
> Suppose that the exchange rate is $0.92/=C. Let r$ = 4%, and r=C = 3%, u = 1.2, d = 0.9, T = 0.75, n = 3, and K = $0.85. a. What is the price of a 9-month European call? b. What is the price of a 9-month American call?
> Suppose that to buy either a call or a put option you pay the quoted ask price, denoted Ca(K, T ) and Pa(K, T ), and to sell an option you receive the bid, Cb(K, T ) and Pb(K, T ). Similarly, the ask and bid prices for the stock are Sa and Sb. Finally, s
> Suppose the September Eurodollar futures contract has a price of 96.4. You plan to borrow $50m for 3 months in September at LIBOR, and you intend to use the Eurodollar contract to hedge your borrowing rate. a. What rate can you secure? b. Will you be lon
> Suppose the S&P 500 currently has a level of 875. The continuously compounded return on a 1-year T-bill is 4.75%. You wish to hedge an $800,000 portfolio that has a beta of 1.1 and a correlation of 1.0 with the S&P 500. a. What is the 1-year futures pric
> The profit calculation in the chapter assumes that you borrow at a fixed interest rate to finance investments. An alternative way to borrow is to short-sell stock. What complications would arise in calculating profit if you financed a $1000 S&R index inv
> Repeat the previous problem, assuming that default correlations are 0.25. Repeat the previous problem, Following Table 27.10, compute the prices of first, second, and Nth-to-default bonds assuming that defaults are uncorrelated and that there are 5, 10,
> Consider the widget investment problem outlined in Section 17.1. Show the following in a spreadsheet. a. Compute annual widget prices for the next 50 years. b. For each year, compute the net present value of investing in that year. c. Discount the net pr
> You are going to borrow $250m at a floating rate for 5 years. You wish to protect yourself against borrowing rates greater than 10.5%. Using each tree, what is the price of a 5-year interest rate cap? (Assume that the cap settles each year at the time yo
> A European shout option is an option for which the payoff at expiration is max(0, S − K, G − K), where G is the price at which you shouted. (Suppose you have an XYZ shout call with a strike price of $100. Today XYZ is $130. If you shout at $130, you are
> Warren Buffett stated in the 2009 Letter to Shareholders: “Our derivatives dealings require our counterparties to make payments to us when contracts are initiated. Berkshire therefore always holds the money, which leaves us assuming no meaningful counte
> Refer to Table 19.1. a. Verify the regression coefficients in equation (19.12). b. Perform the analysis for t = 1, verifying that exercise is optimal on paths 4, 6, 7, and 8, and not on path 1. TABLE 19.1 Computation of option price using expected v
> Verify in Figure 17.2 that if volatility were 30% instead of 50%, immediate exercise would be optimal. FIGURE 17.2 YEAR O YEAR 1 YEAR 2 nt: $407.74 Binomial tree for project value, assuming 50% volatil- ity. The value at each node is the project val
> Consider Panels B and D in Figure 16.4. Using the information in each panel, compute the share price at each node for each bond issue. FIGURE 16.4 Binomial valuation of a callable nonconvertible and a callable convertible bond. The assumptions are t
> Using the information in Table 15.5, suppose we have a bond that after 2 years pays one barrel of oil plus λ × max(0, S2 − 20.90), where S2 is the year-2 spot price of oil. If the bond is to sell for $20.90 and
> Consider the gap put in Figure 14.4. Using the technique in Problem 12.11, compute vega for this option at stock prices of $90, $95, $99, $101, $105, and $110, and for times to expiration of 1 week, 3 months, and 1 year. Explain the values you compute.
> You own one 45-strike call with 180 days to expiration. Compute and graph the 1-day holding period profit if you delta- and gamma-hedge this position using a 40-strike call with 180 days to expiration.
> Suppose there is a single 5-year zero-coupon debt issue with a maturity value of $120. The expected return on assets is 12%. What is the expected return on equity? The volatility of equity? What happens to the expected return on equity as you vary A, σ,
> Consider a bull spread where you buy a 40-strike put and sell a 45-strike put. Suppose σ = 0.30, r = 0.08, δ = 0, and T = 0.5. a. Suppose S = $40. What are delta, gamma, vega, theta, and rho? b. Suppose S = $45. What are delta, gamma, vega, theta, and rh
> Compute the 1-year forward price using the 50-step binomial tree in Problem 11.13. Problem 11.13 Repeat the previous problem for n = 50. What is the risk-neutral probability that S1< $80? S1> $120? Previous Problem Let S = $100, σ = 0.30, r = 0.08, t = 1
> Use the same data as in the previous problem, only suppose that the call price is $5 instead of $4.110. Data from Previous Problem: Let S = $40, K = $40, r = 8% (continuously compounded), σ = 30%, δ = 0, T =0.5 year, and n = 2. The call price is $4.110
> The price of a non-dividend-paying stock is $100 and the continuously compounded risk-free rate is 5%. A 1-year European call option with a strike price of $100 × e0.05×1= $105.127 has a premium of $11.924. A year European call option with a strike pri
> What 8-quarter dollar annuity is equivalent to an 8-quarter annuity of =C1?
> Consider the implied forward rate between year 1 and year 2, based on Table 7.1. a. Suppose that r0 (1, 2) = 6.8%. Show how buying the 2-year zero-coupon bond and borrowing at the 1-year rate and implied forward rate of 6.8% would earn you an arbitrage p
> Suppose the S&R index is 800, and that the dividend yield is 0. You are an arbitrageur with a continuously compounded borrowing rate of 5.5% and a continuously compounded lending rate of 5%. Assume that there is 1 year to maturity. a. Supposing that the
> Consider the example in Table 4.6. Suppose that losses are fully tax-deductible. What is the expected after-tax profit in this case? Table 4.6 TABLE 4.6 Calculation of after-tax net income in states where the output price is $9.00 and $11.20. Expec
> Consider the widget exchange. Suppose that each widget contract has a market value of $0 and a notional value of $100. There are three traders, A, B, and C. Over one day, the following trades occur: A long, B short, 5 contracts. A long, C short, 15 contr
> Following Table 27.10, compute the prices of first, second, and Nth-to-default bonds assuming that defaults are uncorrelated and that there are 5, 10, 20, and 50 bonds in the portfolio. How are the Nth-to-default yields affected by the size of the portfo
> Assume that the volatility of the S&P index is 30%. a. What is the price of a bond that after 2 years pays S2 + max (0, S2 − S0)? b. Suppose the bond pays S2 + [λ × max (0, S2 − S0)]. For what λ will the bond sell at par?
> For years 2–5, compute the following: a. The forward interest rate, rf, for a forward rate agreement that settles at the time borrowing is repaid. That is, if you borrow at t − 1 at the 1-year rate ˜r, and repay the loan at t, the contract payoff in year
> Suppose S = $100, r = 8%, σ = 30%, T = 1, and δ = 0. Use the Black-Scholes formula to generate call and put prices with the strikes ranging from $40 to $250, with increments of $5. Compute the implied volatility from these prices by using the formula for
> For the lookback put: a. What is the value of a lookback put if St= 0? Verify that the formula gives you the same answer. b. Verify that at maturity the value of the put is
> Under the social security system in the United States, workers pay taxes and receive a monthly annuity after retirement. Some have argued that the United States should invest the social security tax proceeds in stocks. The rationale is that, over time, t
> An agricultural producer wishes to insure the value of a crop. Let Q represent the quantity of production in bushels and S the price of a bushel. The insurance payoff is therefore Q(T ) × V [S(T ), T ], where V is the price of a put with K = $50. What is
> Assume that one stock follows the process dS/S = αdt + σdZ (20.44) Another stock follows the process (20.45) (Note that the σdZ terms for S and Q are identical.) Neither stock pays dividends. dq1 and dq2 are both Poisson jump processes with Poisson
> Consider the oil project with a single barrel, in which S = $15, r = 5%, δ = 4%, and X = $13.60. Suppose that, in addition, the land can be sold for the residual value of R = $1 after the barrel of oil is extracted. What is the value of the land?
> Using the assumptions of Example 16.4, and the stock price derived in Example 16.5 suppose you were to perform a “naive” valuation of the convertible as a risk free bond plus 50 call options on the stock. How does the
> Using the information in Table 15.5, suppose we have a bond that pays one barrel of oil in 2 years. a. Suppose the bond pays a fractional barrel of oil as an interest payment after 1 year and after 2 years, in addition to the one barrel after 2 years. Wh
> Problem 12.11 showed how to compute approximate Greek measures for an option. Use this technique to compute delta for the gap option in Figure 14.3, for stock prices ranging from $90 to $110 and for times to expiration of 1 week, 3 months, and 1 year. Ho
> Using the information in the previous problem, compute the prices of a. An Asian arithmetic average strike call. b. An Asian geometric average strike call. Previous Problem Suppose that S = $100, K = $100, r = 0.08, σ = 0.30, δ = 0, and T = 1. Construct
> Consider a put for which T = 0.5 and K = $45. Compute the Greeks and verify that equation (13.9) is zero. Market-maker profit: C(S,))h
> Consider a bull spread where you buy a 40-strike call and sell a 45-strike call. Suppose σ = 0.30, r = 0.08, δ = 0, and T = 0.5. a. Suppose S = $40. What are delta, gamma, vega, theta, and rho? b. Suppose S = $45. What are delta, gamma, vega, theta, and
> We sawin Section 10.1 that the undiscounted risk-neutral expected stock price equals the forward price. We will verify this using the binomial tree in Figure 11.4. a. Using S = $100, r = 0.08, and δ = 0, what are the 4-month, 8-month, and 1-
> Let S = $40, K = $40, r = 8% (continuously compounded), σ = 30%, δ = 0, T =0.5 year, and n = 2. a. Construct the binomial tree for the stock. What are u and d? b. Show that the call price is $4.110. c. Compute the prices of American and European puts.
> In the following, suppose that neither stock pays a dividend. a. Suppose you have a call option that permits you to receive one share of Apple by giving up one share of AOL. In what circumstance might you early exercise this call? b. Suppose you have a p
> Using the zero-coupon bond yields in Table 8.9, what is the fixed rate in a 4-quarter interest rate swap? What is the fixed rate in an 8-quarter interest rate swap? TABLE 8.9 Quarter 2 3 4 5 7 8 20.5 Oil forward price Gas swap price Zero-coupon bond
> As in the previous problem, consider holding a 3-year bond for 2 years. Now suppose that interest rates can change, but that at time 0 the rates in Table 7.1 prevail. What transactions could you undertake using forward rate agreements to guarantee that y
> Verify that when there are transaction costs, the lower no-arbitrage bound is given by equation (5.12). Fa < F = (S% - 2k)eT (5.12) %3|
> Golddiggers has zero net income if it sells gold for a price of $380. However, by shorting a forward contract it is possible to guarantee a profit of $40/oz. Suppose a manager decides not to hedge and the gold price in 1 year is $390/oz. Did the firm ear
> Suppose the stock price is $40 and the effective annual interest rate is 8%. Draw payoff and profit diagrams for the following options: a. 35-strike put with a premium of $1.53. b. 40-strike put with a premium of $3.26. c. 45-strike put with a premium of
> Suppose you enter into a put ratio spread where you buy a 45-strike put and sell two 40-strike puts. If you delta-hedge this position, what investment is required? What is your overnight profit if the stock tomorrow is $39? What if the stock is $40.50?
> Pick a derivatives exchange such as CME Group, Eurex, or the Chicago Board Options Exchange. Go to that exchange’s website and try to determine the following: a. What products the exchange trades. b. The trading volume in the various products. c. The not
> Using Monte Carlo simulation, reproduce Tables 27.10 and 27.11. Produce a similar table assuming a default correlation of 25%. TABLE 27.10 Pricing of Nth to default bonds. Assumes the bonds owned as assets have uncorrelated defaults. Probability Pay
> Using the same assumptions as in Problem 26.12, compute the 10-day 95% VaR for a claim that pays $3m each year in years 7–10. Problem 26.12 Suppose the 7-year zero-coupon bond has a yield of 6% and yield volatility of 10% and the 10-year zero-coupon bon
> What volatilities were used to construct each tree? (You computed zero-coupon bond prices in the previous problem; now you have to compute the year-1 yield volatility for 1-, 2-, 3-, and 4-year bonds.) Can you unambiguously say that rates in one tree are
> For this problem, use the implied volatilities for the options expiring in January 2005, computed in the preceding problem. Compare the implied volatilities for calls and puts. Where is the difference largest? Why does this occur?
> For the lookback call: a. What is the value of a lookback call as St approaches zero? Verify that the formula gives you the same answer. b. Verify that at maturity the value of the call is ST − ST .
> The box on page 282 discusses the following result: If the strike price of a European put is set to equal the forward price for the stock, the put premium increases with maturity. a. How is this result related to Warren Buffett’s critique of put-pricing,
> You are offered the opportunity to receive for free the payoff [Q(T ) − F0,T (Q)]× max [0, S(T ) − K] (Note that this payoff can be negative.) Should you accept the offer?
> Suppose that S and Q follow equations (20.36) and (20.37). Derive the value of a claim paying S(T )aQ(T )b by each of the following methods: a. Compute the expected value of the claim and discounting at an appropriate rate. (Hint: The expected return on
> Consider Pr(St
> Let S = $120, K = $100, σ = 30%, r = 0, and δ = 0.08. a. Compute the Black-Scholes call price for 1 year to maturity and for a variety of very long times to maturity. What happens to the price as T →∞? b. Set r = 0.001. Repeat (a). Now what happens? What
> A project has certain cash flows today of $1, growing at 5% per year for 10 years, after which the cash flow is constant. The risk-free rate is 5%. The project costs $20 and cash flows begin 1 year after the project is started. When should you invest and
> Consider the hedging example using gap options, in particular the assumptions and prices in Table 14.4. a. Implement the gap pricing formula. Reproduce the numbers in Table 14.4. b. Consider the option withK1= $0.8 andK2 = $1. If volatility were zero, wh
> Repeat the previous problem for n = 50. What is the risk-neutral probability that S1< $80? S1> $120? Previous Problem Let S = $100, σ = 0.30, r = 0.08, t = 1, and δ = 0. Using equation (11.12) to compute the probability of reaching a terminal node and Su
> Repeat the previous problem assuming that the stock pays a continuous dividend of 8% per year (continuously compounded). Calculate the prices of the American and European puts and calls. Which options are early-exercised? Previous Problem Let S = $100,
> Suppose the interest rate is 0% and the stock of XYZ has a positive dividend yield. Is there any circumstance in which you would early-exercise an American XYZ call? Is there any circumstance in which you would early-exercise an American XYZ put? Explain
> What is the fixed rate in a 5-quarter interest rate swap with the first settlement in quarter 2?
> Using the information in Table 7.1, suppose you buy a 3-year par coupon bond and hold it for 2 years, after which time you sell it. Assume that interest rates are certain not to change and that you reinvest the coupon received in year 1 at the 1-year rat
> Verify that going long a forward contract and lending the present value of the forward price creates a payoff of one share of stock when a. The stock pays no dividends. b. The stock pays discrete dividends. c. The stock pays continuous dividends.
> What happens to the variability of Wirco’s profit if Wirco undertakes any strategy (buying calls, selling puts, collars, etc.) to lock in the price of copper next year? You can use your answer to the previous question to illustrate your response.
> Suppose the stock price is $40 and the effective annual interest rate is 8%. a. Draw on a single graph payoff and profit diagrams for the following options: (i) 35-strike call with a premium of $9.12. (ii) 40-strike call with a premium of $6.22. (iii) 45
> Consider a one-period binomial model with h = 1, where S = $100, r = 0.08, σ = 30%, and δ = 0. Compute American put option prices for K = $100, $110, $120, and $130. a. At which strike(s) does early exercise occur? b. Use put-call parity to explain why e
> Suppose the S&R index is 800, the continuously compounded risk-free rate is 5%, and the dividend yield is 0%. A 1-year 815-strike European call costs $75 and a 1- year 815-strike European put costs $45. Consider the strategy of buying the stock, selling
> Suppose your bank’s loan officer tells you that if you take out a mortgage (i.e., you borrow money to buy a house), you will be permitted to borrow no more than 80% of the value of the house. Describe this transaction using the terminology of short-sales
> Repeat the previous problem, only assuming that defaults are perfectly correlated. Repeat the previous problem, Suppose that in Figure 27.6 the tranches have promised payments of $160 (senior), $50 (mezzanine), and $90 (subordinated). Reproduce the tabl
> Suppose the 7-year zero-coupon bond has a yield of 6% and yield volatility of 10% and the 10-year zero-coupon bond has a yield of 6.5% and yield volatility of 9.5%. The correlation between the 7-year and 10-year yields is 0.96. What are 95% and 99% 10-da
> What are the 1-, 2-, 3-, 4-, and 5-year zero-coupon bond prices implied by the two trees?
> In this problem you will compute January 12 2004 bid and ask volatilities (using the Black-Scholes implied volatility function) for 1-year IBM options expiring the following January. Note that IBM pays a dividend in March, June, September, and December.
> Covered call writers often plan to buy back the written call if the stock price drops sufficiently. The logic is that the written call at that point has little “upside,” and, if the stock recovers, the position could s
> What is the value of a claim paying Q(T )−1S(T )? Check your answer using Proposition 20.4. (20.4)
> Suppose that S1 follows equation (20.26) with δ = 0. Consider an asset that follows the process dS2 = α2S2 dt − σ2S2 dZ Show that (α1 − r)/σ1=âˆ
> Let h = 1/52. Simulate both the continuously compounded actual return and the actual stock price, St+h. What are the mean, standard deviation, skewness, and kurtosis of both the continuously compounded return on the stock and the stock price? Use the sam
> Let KT= S0erT. Compute Pr(ST
> Obtain at least 5 years’ worth of daily or weekly stock price data for a stock of your choice. 1. Compute annual volatility using all the data. 2. Compute annual volatility for each calendar year in your data. How does volatility vary over time? 3. Compu
> A project costing $100 will produce perpetual net cash flows that have an annual volatility of 35% with no expected growth. If the project existed, net cash flows today would be $8. The project beta is 0.5, the effective annual risk-free rate is 5%, and
> Suppose a firm has 20 shares of equity, a 10-year zero-coupon debt with a maturity value of $200, and warrants for 8 shares with a strike price of $25. What is the value of the debt, the share price, and the price of the warrant?
> Make the same assumptions as in the previous problem. a. What is the price of a standard European put with 2 years to expiration? b. Suppose you have a compound call giving you the right to pay $2 1 year from today to buy the option in (a). For what stoc
> Let S = $100, σ = 0.30, r = 0.08, t = 1, and δ = 0. Using equation (11.12) to compute the probability of reaching a terminal node and Suidn−i to compute the price at that node, plot the risk-neutral distribution of year-1 stock prices as in Figures 11.7