2.99 See Answer

Question: Find the values of b and c

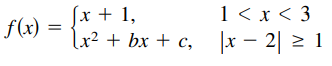
Find the values of b and c such that the function is continuous on the entire real number line.
Find the values of b and c such that the function is continuous on the entire real number line.


> Determine whether the graph of the function has a vertical asymptote or a removable discontinuity at x = −1. Graph the function using a graphing utility to confirm your answer. f(x) = x2 - 1 / x + 1

> Find the vertical asymptotes (if any) of the graph of the function. g(θ) = tan θ / θ

> Find the vertical asymptotes (if any) of the graph of the function. s(t) = t / sin t

> Find the vertical asymptotes (if any) of the graph of the function. f(x) = tan πx

> Determine whether f(x) approaches ∞ or −∞ as x approaches −2 from the left and from the right. f(x) = 2 │x│ / x2 – 4

> Find the vertical asymptotes (if any) of the graph of the function. f(x) = csc πx

> Find the vertical asymptotes (if any) of the graph of the function.

> Find the vertical asymptotes (if any) of the graph of the function.

> Find the vertical asymptotes (if any) of the graph of the function.

> Find the vertical asymptotes (if any) of the graph of the function.

> Find the vertical asymptotes (if any) of the graph of the function.

> Find the vertical asymptotes (if any) of the graph of the function.

> Find the vertical asymptotes (if any) of the graph of the function.

> Find the vertical asymptotes (if any) of the graph of the function.

> Find the vertical asymptotes (if any) of the graph of the function.

> In your own words, describe what is meant by a vertical asymptote of a graph.

> Find the vertical asymptotes (if any) of the graph of the function.

> Find the vertical asymptotes (if any) of the graph of the function.

> A utility company burns coal to generate electricity. The cost C in dollars of removing p% of the air pollutants in the stack emissions is Find the cost of removing 50% of the pollutants. Find the cost of removing 90% of the pollutants. Find the limit

> Find the one-sided limit (if it exists).

> Find the one-sided limit (if it exists).

> Find the one-sided limit (if it exists).

> Find the one-sided limit (if it exists).

> Find the one-sided limit (if it exists).

> Find the one-sided limit (if it exists).

> Find the one-sided limit (if it exists).

> Find the one-sided limit (if it exists).

> Find the one-sided limit (if it exists).

> Find the vertical asymptotes (if any) of the graph of the function.

> Find the one-sided limit (if it exists).

> Find the vertical asymptotes (if any) of the graph of the function.

> Find the vertical asymptotes (if any) of the graph of the function.

> Find the vertical asymptotes (if any) of the graph of the function.

> Find the vertical asymptotes (if any) of the graph of the function.

> Find the vertical asymptotes (if any) of the graph of the function.

> Find the vertical asymptotes (if any) of the graph of the function.

> Determine whether f (x) approaches ∞ or −∞ as x approaches 6 from the left and from the right.

> Determine whether f (x) approaches ∞ or −∞ as x approaches 6 from the left and from the right.

> Verify that the Intermediate Value Theorem applies to the indicated interval and find the value of c guaranteed by the theorem. has at least two zeros in the interval [−3, 3].

> Create a table of values for the function and use the result to determine whether f (x) approaches ∞ or −∞ as x approaches −3 from the left and from the right. Use a graphing utility to graph the function to confirm your answer. f(x) = tan (πx / 6)

> Verify that the Intermediate Value Theorem applies to the indicated interval and find the value of c guaranteed by the theorem. has at least two zeros in the interval [−3, 3].

> Use the Intermediate Value Theorem to show that has at least two zeros in the interval [−3, 3].

> Use the Intermediate Value Theorem to show that has a zero in the interval [1, 2].

> Describe the intervals on which the function is continuous.

> Describe the intervals on which the function is continuous.

> Describe the intervals on which the function is continuous.

> Describe the intervals on which the function is continuous.

> Describe the intervals on which the function is continuous.

> Describe the intervals on which the function is continuous.

> Create a table of values for the function and use the result to determine whether f (x) approaches ∞ or −∞ as x approaches −3 from the left and from the right. Use a graphing utility to graph the function to confirm your answer. f(x) = cot (πx / 3)

> Find the value of c such that the function is continuous on the entire real number line.

> Find the x-values (if any) at which f is not continuous. Which of the discontinuities are removable?

> Find the x-values (if any) at which f is not continuous. Which of the discontinuities are removable?

> Find the x-values (if any) at which f is not continuous. Which of the discontinuities are removable?

> Find the x-values (if any) at which f is not continuous. Which of the discontinuities are removable?

> Find the x-values (if any) at which f is not continuous. Which of the discontinuities are removable?

> Find the x-values (if any) at which f is not continuous. Which of the discontinuities are removable?

> Discuss the continuity of the function on the closed interval.

> Discuss the continuity of the function on the closed interval.

> Find the limit (if it exists). If it does not exist, explain why.

> Create a table of values for the function and use the result to determine whether f (x) approaches ∞ or −∞ as x approaches −3 from the left and from the right. Use a graphing utility to graph the function to confirm your answer. f(x) = -1 / 3 + x

> Find the limit (if it exists). If it does not exist, explain why.

> Find the limit (if it exists). If it does not exist, explain why.

> Find the limit (if it exists). If it does not exist, explain why.

> Find the limit (if it exists). If it does not exist, explain why.

> Find the limit (if it exists). If it does not exist, explain why.

> Find the limit (if it exists). If it does not exist, explain why.

> Find the limit (if it exists). If it does not exist, explain why.

> Find the limit (if it exists). If it does not exist, explain why.

> Find the limit (if it exists). If it does not exist, explain why.

> Find the limit (if it exists). If it does not exist, explain why.

> Create a table of values for the function and use the result to determine whether f (x) approaches ∞ or −∞ as x approaches −3 from the left and from the right. Use a graphing utility to graph the function to confirm your answer. f(x) = x2 / (x2 – 9)

> Find the limit (if it exists). If it does not exist, explain why.

> Use the position function s(t) = -4.9t2 + 250, which gives the height (in meters) of an object that has fallen for t seconds from a height of 250 meters. The velocity at time t = a seconds is given by When will the object hit the ground? At what ve

> Use the position function s(t) = -4.9t2 + 250, which gives the height (in meters) of an object that has fallen for t seconds from a height of 250 meters. The velocity at time t = a seconds is given by Find the velocity of the object when t = 4

> Use a graphing utility to graph the function and estimate the limit. Use a table to reinforce your conclusion. Then find the limit by analytic methods.

> Use a graphing utility to graph the function and estimate the limit. Use a table to reinforce your conclusion. Then find the limit by analytic methods.

> Use a graphing utility to graph the function and estimate the limit. Use a table to reinforce your conclusion. Then find the limit by analytic methods.

> Use a graphing utility to graph the function and estimate the limit. Use a table to reinforce your conclusion. Then find the limit by analytic methods.

> Evaluate the limit given f(x) = -6 and g(x) = ½.

> Evaluate the limit given f(x) = -6 and g(x) = 1/2

> Evaluate the limit given f(x) = -6 and g(x) = ½.

> Create a table of values for the function and use the result to determine whether f (x) approaches ∞ or −∞ as x approaches −3 from the left and from the right. Use a graphing utility to graph the function to confirm your answer. f(x) = x / (x2 – 9)

> Evaluate the limit given f(x) = -6 and g(x) = ½.

> Find the limit. [Hint: cos(θ + ϕ) = cos θ cos ϕ − sin θ sin ϕ]

> Find the limit. [Hint: sin(θ + ϕ) = sin θ cos ϕ + cos θ sin ϕ]

> Find the limit.

> Find the limit.

> Find the limit.

> Find the limit.

> Find the limit.

> Find the limit.

> Find the limit.

> Create a table of values for the function and use the result to determine whether f (x) approaches ∞ or −∞ as x approaches −3 from the left and from the right. Use a graphing utility to graph the function to confirm your answer. f(x) = 1 / (x2 – 9)

> Find the limit.

> Find the limit.

> Find the limit.

> Find the limit.

> Find the limit.

> Find the limit.

2.99

See Answer