Given the following linear programming model:

transform the model into standard form and solve by using the computer.
> A maintenance section of a leading property company installs appliances for free in its residential and commercial properties. Whoever rents the properties can avail the free service only once at the time of moving in. After installation and during the r
> For the marketing example in this chapter, if the budget is increased by $20,000, how much will audience exposures be increased? If Biggs Department Store wanted the same total number of people exposed to each of the three types of advertisements, how sh
> A refinery blends four petroleum components into three grades of gasoline—regular, premium, and diesel. The maximum quantities available of each component and the cost per barrel are as follows: To ensure that each gasoline grade retain
> Suzuki Motors is a leading car manufacturer in India manufacturing cars at its Gurgaon facility. Suzuki Motors has manufactured 500 cars. These cars are to be transported to its customers in Vizag and Chennai. Four hundred cars are ordered from Chennai
> The admissions office at State University wants to develop a planning model for next year’s entering freshman class. The university has 4,500 available openings for freshmen. Tuition is $8,600 for an in-state student and $19,200 for an
> A manufacturer of bathroom fixtures produces fiberglass bathtubs in an assembly operation that consists of three processes—molding, smoothing, and painting. The number of units that can undergo each process in an hour is as follows: (No
> Dr. Maureen Becker, the head administrator at Jefferson County Regional Hospital, must determine a schedule for nurses to make sure there are enough of them on duty throughout the day. During the day, the demand for nurses varies. Maureen has broken the
> Green Valley Mills produces carpet at plants in St. Louis and Richmond. The plants ship the carpet to two outlets in Chicago and Atlanta. The cost per ton of shipping carpet from each of the two plants to the two warehouses is as follows: The plant at St
> Melissa Beadle is a student at Tech, and she wants to decide how many hours each day to allocate to the following activities: class; studying; leisure and fun stuff; personal activities such as eating, bathing, cleaning, laundry, and so on; and sleeping.
> Joe Henderson runs a small metal parts shop. The shop contains three machines—a drill press, a lathe, and a grinder. Joe has three operators, each certified to work on all three machines. However, each operator performs better on some m
> A confectionary store is producing two types of candies: Bulk chocolate and Mini sticks candies. Both of these candies use chocolate liquor, butter, and sugar. Currently the store has 25 lb of chocolate liquor, 16 lb of butter, and 80 lb of sugar. Candie
> The Skimmer Boat Company manufactures the Water Skimmer bass fishing boat. The company purchases the engines it installs in its boats from the Mar-gine Company, which specializes in marine engines. Skimmer has the following production schedule for April,
> In the investment example in this chapter, how would the solution be affected if the requirement that the entire $70,000 be invested was relaxed such that it is the maximum amount available for investment? If the entire amount available for investment do
> Toyz is a large discount toy store in Valley Wood Mall. The store typically has slow sales in the summer months that increase dramatically and rise to a peak at Christmas. During the summer and fall, the store must build up its inventory to have enough s
> The Mill Mountain Coffee Shop blends coffee on the premises for its customers. It sells three basic blends in 1-pound bags: Special, Mountain Dark, and Mill Regular. It uses four different types of coffee to produce the blends—Brazilian
> An apparel company wants to popularize its products by contacting its prospective customers. The company sets a target of contacting at least 500 men, 400 women, 300 children, and 420 schools. The company incurs £1.5 to make a daytime call a
> A furniture company produces tables, chairs, and sofas. The company uses lumber, fabric, and glass to produce these products. Labor performs the cutting, sanding, and assembly operations. The following table provides the resouce requirents of products. T
> The honorary business fraternity at Tech is planning an all-day bake sale on Saturday of a home football game as a charity fund-raising project. The members will bake cakes, cup- cakes, and cookies in one member’s apartment oven starting at 5 p.M. on Fri
> Alexis is in the first year of her undergraduate program. Her father has contributed £25,000 toward her education. From this amount she must pay her tuition for the first three years and she expects a tuition waiver for the fourth year. Since she wants t
> Gobblecakes is a bakery that specializes in cupcakes. The annual fixed cost to make cupcakes is $18,000. The variable cost including ingredients and labor to make a cupcake is $0.90. The bakery sells cupcakes for $3.20 apiece. a. If the bakery sells 12,0
> David wants to be an entrepreneur after his graduation. He is interested in toy manufacturing. After conducting market research, he estimates that his initial investment to buy brand-new toy production equipment will be $30,000; whereas for each toy, he
> The United Charities annual fund-raising drive is scheduled to take place next week. Donations are collected during the day and night, by telephone, and through personal contact. The average donation resulting from each type of contact is as follows: The
> The Southfork Feed Company makes a feed mix from four ingredients—oats, corn, soybeans, and a vitamin supplement. The company has 300 pounds of oats, 400 pounds of corn, 200 pounds of soybeans, and 100 pounds of vitamin supplement available for the mix.
> The head of the Department of Business Analytics at Tech is determining faculty teaching schedules for the department’s 10 faculty members for next semester. There are 20 course sections scheduled over six 75-minute class periods on Tue
> Brooks City has three consolidated high schools, each with a capacity of 1,200 students. The school board has partitioned the city into five busing districts—north, south, east, west, and central—each with different hi
> In the diet example in this chapter, what would be the effect on the optimal solution of increasing the minimum calorie requirement for the breakfast to 500 calories? To 600 calories? Increase the breakfast calorie requirement to 700 calories, and reform
> Ampco is a manufacturing company that has a contract to supply a customer with parts from April through September. However, Ampco does not have enough storage space to store the parts during this period, so it needs to lease extra warehouse space during
> A fast food restaurant in Dubai needs white and dark meat to produce patties and burgers. Cost of a kg of white meat is AED10 and dark meat is AED7. Patties must contain exactly 60% white meat and 40% dark meat. A burger should contain at least 30% white
> The Midland Tool Shop has four heavy presses it uses to stamp out prefabricated metal covers and housings for electronic consumer products. All four presses operate differently and are of different sizes. Currently the firm has a contract to produce thre
> Anna Broderick is the dietitian for the State University football team, and she is attempting to determine a nutritious lunch menu for the team. She has set the following nutritional guidelines for each lunch serving: ● Between 1,500 an
> As a result of a recently passed bill, a congressman’s district has been allocated $4 million for programs and projects. It is up to the congressman to decide how to distribute the money. The congressman has decided to allocate the mone
> The Willow Furniture Company produces tables. The fixed monthly cost of production is $8,000, and the variable cost per table is $65. The tables sell for $180 apiece. a. For a monthly volume of 300 tables, determine the total cost, total revenue, and pro
> Alexandra Bergson has subdivided her 2,000-acre farm into three plots and has contracted with three local farm families to operate the plots. She has instructed each sharecropper to plant three crops: corn, peas, and soybeans. The size of each plot has b
> Lawns Unlimited is a lawn care and maintenance company. One of its services is to seed new lawns as well as bare or damaged areas in established lawns. The company uses three basic grass seed mixes it calls Home 1, Home 2, and Commercial 3. It uses three
> A greenhouse farmer plans to grow three crops—cucumber, potato, and tomato—in the forth- coming season in his farm, which spans 60 hectares. Each crop requires nitrogen, phosphoros, potassium, and micronutrients. The r
> The Roadnet Transport Company expanded its shipping capacity by purchasing 90 trailer trucks from a bankrupt competitor. The company subsequently located 30 of the purchased trucks at each of its shipping warehouses in Charlotte, Memphis, and Louisville.
> Grafton Metalworks Company produces metal alloys from six different ores it mines. The company has an order from a customer to produce an alloy that contains four metals accord- ing to the following specifications: at least 21% of metal A, no more than 1
> In the product mix example in this chapter, Quick-Screen is considering adding some extra operators who would reduce processing times for each of the four clothing items by 10%. This would also increase the cost of each item by 10% and thus reduce unit p
> A fitter produces two types of fitting products—product A and product B—using a cutting machine (cutter) and a grinding machine (grinder). Product A requires 4 hours of the cutter and 8 hours of the grinder; product B requires 6 hours of the cutter and 4
> Solve Problem 7 using the computer.
> A company produces two products, A and B, which have profits of $9 and $7, respectively. Each unit of product requires two resources are as follows: a. Formulate a linear programming model to determine the optimal product mix that will maximize profit. b
> Solve the linear programming model in Problem 59 using the computer. a. Which resources constrain how many jobs Guanming can contract for? b. Guanming wants for increase either his working hours per week by 10 hours or increase the budget by HKD100. Whic
> A bakery specializes in cupcakes and chocolate cookies. The bakery estimates that cupcakes will account for 75% of its total sales, whereas chocolate cookies will account for 25% of its total sales. The annual fixed cost to make these products is $20,000
> Formulate homework Problem 38 in Chapter 1 as a linear programming model, and solve using the computer.
> Guanming wants to paint houses and commercial buildings during his summer vacation. He has two types of customers—residential and commercial. The profit from a residential property is HKD500 and from a commercial property, HKD750. A residential property
> Solve the linear programming model formulation in Problem 57 using computer. a. Are there any extra (slack) resources available? b. If the manufacturer could obtain additional resources, which one would be of most value to them? How much would they be wi
> A manufacturer produces stationeries—binder clips, pencils, erasers, and sharpeners—and packs them in boxes. A box of binder clips will have 12 pieces of binding clips; a pencil box, 12 pencils; sharpener box, 20 piece
> Solve the linear programming model formulated in Problem 55 for Tracy McCoy. a. Are any of the ingredients left over? b. If Tracy could get more of any ingredient, which should it be? Why? c. If Tracy could get 6 more eggs, 20 more cups of flour, or 30 m
> Tracy McCoy has committed to the local PTA to make some items for a bake sale on Saturday. She has decided to make some combination of chocolate cakes, loaves of white bread, custard pies, and sugar cookies. Thursday evening she goes to the store and pur
> Solve the linear programming model formulated in Problem 52 for Exeter Mines by using the computer. a. Do any of the mines have slack capacity? If yes, which one(s)? b. If Exeter Mines could increase production capacity at any one of its mines, which sho
> Exeter Mines produces iron ore at four different mines; however, the ores extracted at each mine are different in their iron content. Mine 1 produces magnetite ore, which has a 70% iron content; mine 2 produces limonite ore, which has a 60% iron content;
> a. In Problem 50, if the pottery company determines that the profit from dining ware was £15 instead of £10, how does that affect the optimal solution? b. If the pottery company could secure additional resources, either clay or oven capacity or wheel tim
> Whitney Eggleston has quit her job in retail sales and has moved back into her parent’s house with the idea of starting an online home decor business. She plans to purchase items like decorative pillows, lamps, bowls, mirrors, etc., at craft fairs, home
> The following model was solved graphically in Chapter 2 (Problem 18): maximize Z = 5x1 + 8x2 (+, profit) subject to 3x1 + 5x2 … 50 (units, resource 1) 2x1 + 4x2 … 40 (units, resource 2) x1 … 8 (
> Solve the linear programming model formulated in Problem 48 for Metro Food Services Company by using the computer. a. If Metro Food Services could hire another worker and increase its available assembly time by 480 minutes or increase its vending machine
> Metro Food Services Company delivers fresh sandwiches each morning to vending machines throughout the city. The company makes three kinds of sandwiches—ham and cheese, bologna, and chicken salad. A ham and cheese sandwich requires a worker 0.45 minutes t
> Solve the linear programming model formulated in Problem 46 for Hoke’s Spokes by using the computer. a. Should John Hoke try to increase his budget for purchasing bikes, increase space to stock bikes, or increase labor hours to assemble bikes? Why? b. If
> John Hoke owns Hoke’s Spokes, a bicycle shop. Most of John’s bicycle sales are customer orders; however, he also stocks bicycles for walk-in customers. He stocks three types of bicycles—road-racing, cross-country, and mountain. A road-racing bike costs $
> a. If Food Max in Problem 44 could increase its shelf space for half-gallon cartons of milk, how much would profit increase per carton? b. If Food Max could get the local dairy to increase the amount of milk it could supply each week, would it increase p
> The Food Max grocery store sells three brands of milk in half-gallon cartons—its own brand, a local dairy brand, and a national brand. The profit from its own brand is $0.97 per carton, the profit from the local dairy brand is $0.83 per carton, and the p
> a. In Problem 42, the capacity of the college is 3,000 students. If the university plans to increase the capacity of the college to 3,500, should the college accept this expansion? Explain. b. Analyze the number of students admitted when the capacity is
> The college of business of a large university offers six major programs and set the tuition as tabulated. The college plans to admit a total of 3,000 students in all the six majors with at least 200 students in each major. Each major should admit no more
> Solve the linear programming model formulated in Problem 39 for Island Publishing Company by using the computer. a. How much would it be worth to Island Publishing Company to obtain enough additional rack space to distribute 18,500 copies instead of the
> Ahmed wants to earn some extra pocket money while on his summer break, which is 5 weeks long. He plans to work for three days a week and enjoy his vacation the rest of the week. He has identified that car cleaning is a good business in his locality. He b
> Solve the linear programming model formulation in Problem 39 for Island Publishing Company graphically. a. Determine the sensitivity range for the advertising revenue generated by the real estate guide. b. Does the company spend all of its printing budge
> Solve the following model from Chapter 2 (Problem 9) using Excel: maximize Z = 3x1 + 6x2 (+, profit) subject to 3x1 + 2x2 … 18 (units, resource 1) x1 + x2 Ú 5 (units, resource 2) x1 … 4 (units, resource 3) x1, x2 Ú 0
> Island Publishing Company publishes two types of magazines on a monthly basis: a restaurant and entertainment guide and a real estate guide. The company distributes the magazines free to businesses, hotels, and stores on Hilton Head Island in South Carol
> The following linear programming model formulation is used for the production of four different products, with two different manufacturing processes and two different material requirements: a. Solve this problem by using the computer. b. Identify the sen
> Chemco Corporation produces a chemical mixture for a specific customer in 1,000-pound batches. The mixture contains three ingredients—zinc, mercury, and potassium. The mixture must conform to formula specifications that are supplied by the customer. The
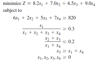
> Transform the following linear programming model into standard form and solve by using the computer:
> Angie Xu has converted her garage into a greenhouse with long tables where she plans to grow flower plants from seeds to sell in the spring at the downtown market. She will plant two types of flowers from seeds—daisies and impatiens. A tray of impatiens
> Use the computer to solve Problem 56 from Chapter 2 to determine how many slices of pizza and hot dogs the fraternity must sell to break even on their project to open a food booth at the football stadium.
> Solve the linear programming model formulated in Problem 31 for Alexis Harrington by using the computer. a. If Alexis decided to invest some of her own savings along with the money from her inheritance, what return would she realize for each dollar of he
> Solve the linear programming model formulated in Problem 31 for Alexis Harrington graphically. a. How much would the return for cattle have to increase for Alexis to invest only in cattle? b. Should all of Alexis’s inheritance be invested according to th
> Kathleen Taylor is a high school student who has been investigating the possibility of mowing lawns for a summer job. She has a couple of friends she thinks she could hire on an hourly basis per job. The equipment, including two new lawnmowers and weed-e
> Alexis Harrington received an inheritance of $95,000, and she is considering two speculative investments—the purchase of land and the purchase of cattle. Each investment would be for 1 year. Under the present (normal) economic conditions, each dollar inv
> Solve the linear programming model formulated in Problem 29 for Xara Stores graphically and by using the computer. a. If the Chinese supplier were able to reduce its percentage of defective pairs of jeans from 7% to 5%, what would be the effect on the so
> Given the following Excel spreadsheet for a linear programming model and Solver Parameters window, indicate the formula for cell B13 and fill in the Solver Parameters window with the appropriate information to solve the problem:
> Xara Stores in the United States stocks a particular type of designer denim jeans that is manufactured in China and Brazil and imported to the Xara distribution center in the United States. It orders 500 pairs of jeans each month from its two suppliers.
> Solve the linear programming model formulation in Problem 27 for the farmer using computer. a. If the farmer has access to additional 50 acres of land, would it be beneficial for him to use the land? b. What is the farmer’s optimal solution if he limits
> A farmer plans to cultivate rice and wheat in his 200 acres of land. To get a decent profit, he has to use at least 150 acres of land. Per the environmental agency’s recommendation, for each acre of rice, there must be at least 1.3 acres of wheat. But he
> Solve the linear programming model formulation in Problem 24 for strawberry lassi using computer. a. Identify the sensitivity ranges for the objective function coefficient and explain what the upper and lower limits are. b. How much would it be worth to
> Solve the linear programming model formulation in Problem 24 for strawberry lassi graphically. a. Indicate the slack and surplus available at the optimal solution point and explain their meanings. b. What increase in the objective function coefficients i
> Indians drink lassi during the summer because of its cooling properties. It is made from yogurt, and fruit juices are added to have different flavors. Strawberry lassi consists of yogurt and strawberry juice. A lassi manufacturing company received an ord
> Solve the linear programming model formulation in Problem 21 for the for London Fashions using computer. a. If the firm could reduce the minimum ad requirements for TV or print media, which should it select? How much reduction of your choice will reduce
> The owners of Backstreets Italian Restaurant are considering starting a delivery service for pizza and their other Italian dishes in the small college town where they are located. They can purchase a used delivery van and have it painted with their name
> Solve the linear programming model formulation in Problem 21 for London Fashions graphically. a. Determine the sensitivity ranges for the cost of TV. b. Does the company give any more print media ads than is required and if so, how many more? c. What wou
> London Fashions specializes in the design and delivery of apparels. To improve its sales, the company puts ads on TV and print media. TV channels play the video clip of an ad for 60 seconds and charge €25 per ad; print media (books, magazines, newspapers
> Solve the linear programming model formulation in Problem 18 for the fast food restaurant using computer. a. Identify and explain the shadow prices for each of the resource constraints. b. Which of the resource constraints is most profitable? c. Identify
> Formulate a linear programming model for Problem 37 in Chapter 1 and solve using the computer. How does this solution differ from the solution to Problem 33 in Chapter 1?
> Solve the linear programming model formulation in Problem 18 for the fast food restaurant graphically. a. How many extra breads and eggs are leftover at the optimal solution? Is there any idle labor time? b. What would the solution be if the profit for a
> The manager of a fast food restaurant at the Heathrow Airport wants to determine how many sandwiches and bread-omelettes to prepare for customers. These foods require the following ingredients. The restaurant has 25 hours of labor available per day. The
> Solve the linear programming model formulation in Problem 15 for the Patel brothers using the computer. a. If the authorities allow the brothers to plant a minimum of 20 acres with onion, should they plant only 20 acres or more? Explain. b. The brothers
> Solve the linear programming model formulation in Problem 15 for the Patel brothers graphically. a. How many acres of land was cultivated at the optimal solution? Did they use all the land? b. If they plant only onions, what would be their maximum profit
> Patel brothers have 50 acres of farmland on the banks of River Ganges. They plan to grow tomatoes and onions. Since onions requires less water, the irrigation authority wants the brothers to cultivate at least 25 acres of land with onions. Brothers work
> Solve the linear programming model formulated in Problem 12 for United Aluminum Company by using the computer. a. Identify and explain the shadow prices for each of the aluminum grade contract requirements. b. Identify the sensitivity ranges for the obje
> The Tech Student Government Association (SGA) has several campus projects it undertakes each year, and its primary source of funding to support these projects is a T-shirt sale in the fall for what is known as the “orange effect” football game (with oran
> Solve the linear programming model formulated in Problem 12 for United Aluminum Company graphically. a. How much extra (i.e., surplus) high-, medium-, and low-grade aluminum does the company produce at the optimal solution? b. What would be the effect on
> United Aluminum Company of Cincinnati produces three grades (high, medium, and low) of aluminum at two mills. Each mill has a different production capacity (in tons per day) for each grade, as follows: The company has contracted with a manufacturing firm
> Solve the linear programming model formulation in Problem 9 for the fitter by using the computer. a. If the fitter can obtain additional hours either to cutter or grinder (but not both), which should he select? How much? Explain your answer. b. Identify