2.99 See Answer

Question: Refer to the function f (r), which

Refer to the function f (r), which gives the cost (in cents) of constructing a 100-cubic-inch cylinder of radius r inches. The graph of f (r) is shown in Fig. 16.
Refer to the function f (r), which gives the cost (in cents) of constructing a 100-cubic-inch cylinder of radius r inches. The graph of f (r) is shown in Fig. 16.

For what value(s) of r is the cost 330 cents?

For what value(s) of r is the cost 330 cents?





Transcribed Image Text:

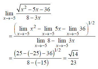
Vx2 – 5x – 36 lim x-5 8- 3х 1/2 lim x? - lim 5x - lim 36 x→-5 (x→-5 x→-5 lim 8- lim 3x x→-5 1/2 x-5 (25 – (-25)– 36)“² _ Vī4 8-(-15) V14 23


> Find a good window setting for the graph of the function. The graph should show all the zeros of the polynomial. f (x) = 3x3 + 52x2 - 12x - 12

> Relate to the function whose graph is sketched in Fig. 12. Find f (0) and f (7). 4 -3 -2 -1 1 2 3 4 4,

> Let f (x) = 3√x and g(x) = 1 / x2. Calculate the following functions. Take x > 0. 3√ (f (x)g(x))

> Find an equation of the given line. Horizontal through (2, 9)

> Find an equation of the given line. (- 1/2, - 1/7) and (2/3, 1) on line

> Compute the numbers. (100)4

> Find an equation of the given line. (0, 0) and (1, 0) on line

> Find an equation of the given line. (1/2, 1) and (1, 4) on line

> Find an equation of the given line. (5/7, 5) and (- 5/7 , -4) on line

> Find an equation of the given line. Slope is 7/3; (1/4, - 2/5) on line

> Find an equation of the given line. Slope is 1/2 ; (2, 1) on line

> If f (x) = x2 - 3x, find f (0), f (5), f (3), and f (-7).

> Exercises 43–46 relate to Fig. 13. When a drug is injected into a person’s muscle tissue, the concentration y of the drug in the blood is a function of the time elapsed since the injection. The graph of a typical time&

> In Exercises 47–50, find the zeros of the function. (Use the specified viewing window.) f (x) = x / (x + 2) - x2 + 1; [-1.5, 2] by [-2, 3]

> Let f (x) = x6, g(x) = x / 1 - x, and h(x) = x3 - 5x2 + 1. Calculate the following functions. g (h(t))

> Let f (x) = 3√x and g(x) = 1 / x2. Calculate the following functions. Take x > 0. √ (f (x)g(x))

> Find an equation of the given line. Slope is 2; (1, -2) on line

> Find an equation of the given line. Slope is -1; (7, 1) on line

> Find the slopes and y-intercepts of the following lines. 4x + 9y = -1

> Compute the numbers. (.1)4

> Find the slopes and y-intercepts of the following lines. y = x/7 - 5

> Find the slopes and y-intercepts of the following lines. y = 6

> Let f (x) = 3√x and g(x) = 1 / x2. Calculate the following functions. Take x > 0. g(x) / f (x)

> Determine the domains of the following functions. f (x) = 1 / x(x + 3)

> Let f (x) = [1/(x + 1)] - x2. Evaluate f (a + 1).

> Graph the following equations. y = 3

> Let f (x) = x2 - 2. Evaluate f (a - 2).

> Let f (x) = 2x + 3x2. Evaluate f (0), f (- 1/4), and f (1/√2).

> Suppose that the cable television company’s cost function in Example 4 changes to C(x) = 275 + 12x. Determine the new breakeven points.

> Let f (x) = x3 +1 /x. Evaluate f (1), f (3), f (-1), f (- 12), and f (√2).

> Let f (x) = x6, g(x) = x / 1 - x, and h(x) = x3 - 5x2 + 1. Calculate the following functions. g (f (x))

> Exercises 43–46 relate to Fig. 13. When a drug is injected into a person’s muscle tissue, the concentration y of the drug in the blood is a function of the time elapsed since the injection. The graph of a typical time&

> Suppose that $7000 is deposited in a savings account that pays a rate of interest r per annum, compounded annually, for 20 years. (a) Express the account balance A(r) as a function of r. (b) Calculate the account balance for r = .07 and r = .12.

> Solve the equations in Exercises 39–44. x2 + 14x + 49 / x2 + 1 = 0

> Use the quadratic formula to find the zeros of the functions in Exercises 1–6. f (x) = 2x2 - 7x + 6

> Suppose that $15,000 is deposited in a savings account that pays a rate of interest r per annum, compounded annually, for 10 years. (a) Express the account balance A(r) as a function of r. (b) Calculate the account balance for r = 0.04 and r = 0.06

> Suppose that $7000 is deposited in a savings account that pays 9% per annum, compounded biannually, for t years. (a) Express the account balance A(t) as a function of t, the number of years that the principal has been in the account. (b) Calculate the ac

> Refer to the function f (r), which gives the cost (in cents) of constructing a 100-cubic-inch cylinder of radius r inches. The graph of f (r) is shown in Fig. 16. Interpret the fact that the point (3, 162) is on the graph of the function. 1 lim lim

> Suppose that $15,000 is deposited in a savings account that pays 4% per annum, compounded monthly, for t years. (a) Express the account balance A(t) as a function of t, the number of years that the principal has been in the account. (b) Calculate the acc

> Use the laws of exponents to simplify the algebraic expressions. 3√x (8x2/3)

> Use the laws of exponents to simplify the algebraic expressions. x3/2/ √x

> Let f (x) = 3√x and g(x) = 1 / x2. Calculate the following functions. Take x > 0. √ (f (x)/ g(x))

> Use the laws of exponents to simplify the algebraic expressions. xy3 / x-5y6

> Use the laws of exponents to simplify the algebraic expressions. (√(x + 1))4

> Let f (x) = x2 - 2x, g(x) = 3x - 1, and h(x) = √x. Find the following functions. f (x)h(x)

> The revenue R(x) (in thousands of dollars) that a company receives from the sale of x thousand units is given by R(x) = 5x - x2. The sales level x is in turn a function f (d) of the number d of dollars spent on advertising, where Express the revenue as

> Let f (x) = x6, g(x) = x / 1 - x, and h(x) = x3 - 5x2 + 1. Calculate the following functions. h(g(x))

> The population of a city is estimated to be 750 + 25t + .1t2 thousand people t years from the present. Ecologists estimate that the average level of carbon monoxide in the air above the city will be 1 + .4x ppm (parts per million) when the population is

> Find a good window setting for the graph of the function. The graph should show all the zeros of the polynomial. f (x) = 2x5 - 24x4 - 24x + 2

> Find the points of intersection of the pairs of curves in Exercises 31–38. y = ½ x3 + x2 + 5, y = 3x2 - 12x + 5

> Relate to the function whose graph is sketched in Fig. 12. For what values of x is f (x) ≤ 0? lim (x + Vx - 6)(x² - 2x +1) 6) (x² – 2x + 1) = lim (x + Vx - 6)(x – 1)? x→7 lim x+ lim Vr – 6 | lim x – lim 1 x→7 x→7 = (7+1)(7 – 1)²

> Find the points of intersection of the curves y = -x2 + x + 1 and y = x - 5.

> Find the points of intersection of the curves y = 5x2 - 3x – 2 and y = 2x - 1.

> Find the zeros of the quadratic function y = -2x2 - x + 2.

> Find the zeros of the quadratic function y = 5x2 - 3x - 2.

> Factor the polynomials. x5 - x4 - 2x3

> Find a good window setting for the graph of the function. The graph should show all the zeros of the polynomial. f (x) = x4 - 200x3 - 100x2

> Sketch the graph of the function. f (x) = 1 / f(x) = x + 1

> Factor the polynomials. 18 + 3x - x2

> An average sale at a small florist shop is $21, so the shop’s weekly revenue function is R(x) = 21x, where x is the number of sales in 1 week. The corresponding weekly cost is C(x) = 9x + 800 dollars. (a) What is the florist shop’s weekly profit function

> Exercises 43–46 relate to Fig. 13. When a drug is injected into a person’s muscle tissue, the concentration y of the drug in the blood is a function of the time elapsed since the injection. The graph of a typical time&

> Draw the following intervals on the number line. [ -1, 4]

> Let f (x) = x6, g(x) = x / 1 - x, and h(x) = x3 - 5x2 + 1. Calculate the following functions. f (g(x))

> Factor the polynomials. 3x2 - 3x - 60

> Factor the polynomials. 5x3 + 15x2 - 20x

> Is the point (1, -2) on the graph of the function k(x) = x2 + (2/x)?

> Is the point (1/2, - 3/5) on the graph of the function h(x) = (x2 - 1)/(x2 + 1)?

> Relate to the function whose graph is sketched in Fig. 12. For what values of x does f (x) = 0? nDeriv(2"X,X,0) 6931472361

> Draw the following intervals on the number line. [1, 3/2]

> Determine the domains of the following functions. f (x) = 1 /√(3x)

> Determine the domains of the following functions. f (x) = √(x2 + 1)

> Simplify (100)3/2 and (.001)1/3.

> Let f (x) = 3√x and g(x) = 1 / x2. Calculate the following functions. Take x > 0. f (x) / g(x)

> A cellular telephone company estimates that, if it has x thousand subscribers, its monthly profit is P(x) thousand dollars, where P(x) = 12x - 200. (a) How many subscribers are needed for a monthly profit of 160 thousand dollars? (b) How many new subscri

> Find a good window setting for the graph of the function. The graph should show all the zeros of the polynomial. f (x) = x3 - 22x2 + 17x + 19

> Determine the domains of the following functions. f (x) = √(x – 1)

> What is the difference between an open interval and a closed interval from a to b?

> Let f (x) = x / x - 2, g(x) = 5 – x / 5 + x, and h(x) = x + 1 / 3x - 1. Express the following as rational functions. h(1/x2)

> What are the four types of inequalities, and what do they each mean?

> Explain the relationships and differences among real numbers, rational numbers, and irrational numbers.

> Explain how to find f (a) geometrically from the graph of y = f (x).

> Explain how to solve f (x) = b geometrically from the graph of y = f (x).

> Simplify (81)3/4, 85/3, and (.25)-1.

> In the formula A = P(1 + i)n, what do A, P, i, and n represent?

> State the six laws of exponents.

> A frozen yogurt stand makes a profit of P(x) = .40x – 80 dollars when selling x scoops of yogurt per day. (a) Find the breakeven sales level, that is, the level at which P(x) = 0. (b) What sales level generates a daily profit of $30? (c) How many more s

> In Exercises 7–12, express f (x) + g(x) as a rational function. Carry out all multiplications. f (x) = x + 6 / x – 6, g(x) = x – 6 / x + 6

> Relate to the function whose graph is sketched in Fig. 12. What is the range of f? y == a 2 Figure 16

> In Exercises 51–54, find the points of intersection of the graphs of the functions. (Use the specified viewing window.) f (x) = 1 / x; g(x) = √(x2 – 1); [0, 4] by [-1, 3]

> Give two methods for finding the zeros of a quadratic function.

> What is a zero of a function?

> What five operations on functions are discussed in this chapter? Give an example of each.

> Let f (x) = x / x - 2, g(x) = 5 – x / 5 + x, and h(x) = x + 1 / 3x - 1. Express the following as rational functions. g(1 / u)

> Let f (x) = 3√x and g(x) = 1 / x2. Calculate the following functions. Take x > 0. [ f (x)g(x)]3

> Let f (x) = x2 - 2x, g(x) = 3x - 1, and h(x) = √x. Find the following functions. f (x) - g(x)

> What is meant by the absolute value of a number?

> Define and give an example of each of the following types of functions. (a) quadratic function (b) polynomial function (c) rational function (d) power function

> What is a quadratic function? What shape does its graph have?

> A college student earns income by typing term papers on a computer, which she leases (along with a printer). The student charges $4 per page for her work, and she estimates that her monthly cost when typing x pages is C(x) = .10x + 75 dollars. (a) What

> What are the x- and y-intercepts of a function, and how are they found?

2.99

See Answer