Show that the associative property of addition, (A + B) + C = A + (B + C), holds for matrices A,
B, and C.

> Use the sinking fund formula to determine the payment needed to reach the accumulated amount. To ensure that enough is invested each period, round each answer up to the next cent. Quarterly payments with a 10% interest rate compounded quarterly for 40 ye
> Use the circle graph to answer the questions. Students at Bayshore High School were polled to determine the type of music they preferred. There were 1960 students who completed the poll. Their responses are represented in the circle graph below. Round yo
> Use the sinking fund formula to determine the payment needed to reach the accumulated amount. To ensure that enough is invested each period, round each answer up to the next cent. Weekly payment with a 7.8% interest rate compounded weekly for 25 years to
> Use the circle graph to answer the questions. Students at Bayshore High School were polled to determine the type of music they preferred. There were 1960 students who completed the poll. Their responses are represented in the circle graph below. Round yo
> Determine the monthly principal and interest payment for the mortgage. Unless told otherwise by your instructor, you may use either Table 10.4 or the principal and interest payment formula (See Examples 2 and 3).
> Use the table to answer the questions. The elements that compose seawater, along with the corresponding percents, are shown in the table below. Where appropriate, round your answers to two decimal places. Mr. Kimball collects a 6000-mâ„“
> Solve the system of equations graphically. If the system does not have a single ordered pair as a solution, state whether the system is inconsistent or dependent. y =1/2 x + 4 2y = x + 8
> Determine the monthly principal and interest payment for the mortgage. Unless told otherwise by your instructor, you may use either Table 10.4 or the principal and interest payment formula (See Examples 2 and 3).
> Use the table to answer the questions. The elements that compose seawater, along with the corresponding percents, are shown in the table below. Where appropriate, round your answers to two decimal places. If a saltwater aquarium contains 55 gallons of se
> Comparing Payment Frequency Janet is purchasing a new house for $315,000. Her credit union requires her to make a 20% down payment, and the current mortgage rate is 6%. Janet is exploring different 10-year mortgage payment options. Use the principal and
> Use the circle graph to answer the questions. The Lafayette County Library classifies its DVDs into one of the categories shown below. The library owns 1743 DVDs. Round your answers to the nearest whole number. Determine the number of foreign DVDs.
> An Adjustable Rate Mortgage The Pourans purchased a new home for $378,000 with a down payment of $127,000. They obtained a 10-year adjustable rate mortgage with the following terms. The interest rate is based on the one-year Treasury bill rate, which is
> Use the circle graph to answer the questions. The Lafayette County Library classifies its DVDs into one of the categories shown below. The library owns 1743 DVDs. Round your answers to the nearest whole number. Determine the number of romance DVDs.
> Comparing Loans Paul is negotiating with two credit unions for a mortgage to buy a condominium selling for $525,000. The terms at Grant County Teacher’s Credit Union are a 20% down payment, an interest rate of 7.5%, a 15-year mortgage, and 1 point to be
> Where appropriate, round answers to the nearest tenth of a percent unless specified otherwise . Reduced-Fat Triscuits One serving of Original Triscuit crackers contains 4 grams of fat. Reduced-Fat Triscuit crackers contain 37.5% less fat per serving than
> Evaluating a Loan Request Kathy wants to buy a condominium selling for $95,000. The taxes on the property are $1500 per year, and homeowners’ insurance is $336 per year. Kathy’s gross monthly income is $4000. She has 15 monthly payments of $135 remaining
> Where appropriate, round answers to the nearest tenth of a percent unless specified otherwise. Potassium The U.S. Department of Agriculture’s recommended daily allowance (USRDA) of potassium for adults is 3500 mg. One serving of Cheerios provides 95 mg o
> -2(x – 3) ( 4x + 6 Graph the solution set of the inequality, where x is a real number, on the number line.
> A 25-Year Conventional Mortgage The Bells obtain a 25-year, $110,000 conventional mortgage at a 10.5% rate on a house selling for $160,000. Their monthly mortgage payment, including principal and interest, is $1038.60. They also pay 2 points at closing.
> Change the number given as a percent to a decimal number. 298.7%
> Qualifying for a Mortgage The Zhengs’ gross monthly income is $4100. They have 18 remaining boat payments of $505. The Zhengs are applying for a 20-year, $275,000 mortgage at a 9% interest rate to buy a new house. The taxes and insurance on the house are
> Change the number given as a percent to a decimal number.
> Down Payment and Points The Nicols are buying a house selling for $245,000. They pay a down payment of $45,000 from the sale of their current house. To obtain a 15-year mortgage at a 4.5% interest rate, the Nicols must pay 1.5 points at the time of closi
> Determine A - B.
> Buying a First House The Firszts are purchasing their first home for $199,900. They are obtaining an FHA mortgage through their credit union and are required to make a 3% down payment. They obtain a 30-year mortgage with an interest rate of 4.5%. (a) Det
> Determine A + B.
> Buying a Condominium Toni is buying a condominium selling for $135,000. To obtain the mortgage, Toni is required to make a 20% down payment. Toni obtains a 15-year mortgage with an interest rate of 3.0%. (a) Determine the amount of the required down paym
> Determine A + B.
> (a) Use the Pythagorean theorem to determine the length of the unknown side of the triangle, (b) Determine the perimeter of the triangle, and (c) determine the area of the triangle.
> $4000 for 2 years at 6% compounded semiannually Use the compound interest formula to compute the total amount accumulated and the interest earned. Round all answers to the nearest cent.
> Two 2 ( 2 matrices, A and B, whose product is the multiplicative identity matrix (See Exercise 63) are said to be multiplicative inverses. That is, if A ( B = B ( A = I, then A and B are multiplicative inverses. In parts (a) and (b) below, show that matr
> Rule of 72 A simple formula can help you estimate the number of years required to double your money. It’s called the rule of 72. You simply divide 72 by the interest rate (without the percent sign). For example, with an interest rate of 4%, your money wo
> Consider the mathematical system consisting of the set of all 2 ( 4 matrices under the operation of matrix addition. (a) Is the system closed? (b) Is there an additive identity matrix? If so, what is it? (c) Does each matrix in the set have an additive i
> Inflation The average cost for a loaf of bread in 2014 was $2.27. Assuming an annual inflation rate of 0.5% per year, what will be the cost for a loaf of bread in 2019?
> MODELING—Food Prices To raise money for a local charity,the Spanish Club at Montclair High School sold hot dogs, soft drinks, and candy bars for 3 days in the student lounge. The sales for the 3 days are summarized in matrix A. The cost
> Doubling the Principal Compute the total amount and the interest paid at 12% compounde monthly for 2 years for the following principals. (a) $100 (b) $200 (c) $400 (d) Is there a predictable outcome in the interest when the principal is doubled? Explai
> Cookie Orders (a) Express these orders as a 1 * 4 matrix. (b) Use matrix multiplication to determine the amount of each ingredient needed to fill the day’s order.
> After seeing its neighboring village obtain a new water tower (see Exercise 39), the city board of East Dubuque begins planning to replace its water towers. The board estimates that it will need $1,750,000 to build the new water towers in 20 years. At th
> Hollister sells two types of t-shirts—male and female. Matrix A indicates the stock on hand of each type and size of t-shirt at the beginning of a given day. Matrix B indicates the stock on hand of each type and size of t-shirt at the e
> 4y - 3x ( 8 Draw the graph of the inequality.
> A New Roof Rebecca will need to replace the roof of her house in 5 years. How much should Rebecca invest now in a money market account that pays 2.1% interest compounded quarterly in order to have $6000 in 5 years? If necessary, round all dollar figures
> Show that the associative property of multiplication, 1A ( B2 ( C = A ( 1B ( C 2, holds for matrices A, B, and C.
> Starting a New Business Mr. Fink’s goal is to have $26,000 to start a new lawn mower repair business when he retires in 15 years. How much should he invest now in a CD that pays 2% interest compounded quarterly to reach his goal? If ne
> Show that the associative property of multiplication, 1A ( B2 ( C = A ( 1B ( C 2, holds for matrices A, B, and C.
> Verifying APY Suppose you saw an advertisement in the newspaper for a financial planner who was recommending a certificate of deposit that paid 4.5% interest compounded quarterly. In the fine print at the bottom of the advertisement, it stated that the A
> Determine whether the commutative property of multiplication, A ( B = B ( A, holds for matrices A and B.
> If necessary, round all dollar figures to the nearest cent and round percents to the nearest hundredth of a percent. Investment Choice Confiance Bank advertises a 1-year CD that pays 1.75% compounded semiannually. Firme Bank advertises a 1-year CD that p
> Determine whether the commutative property of multiplication, A ( B = B ( A, holds for matrices A and B.
> Determining Effective Annual Yield Determine the effective annual yield for $1 invested for 1 year at 4.75% compounded monthly. If necessary, round all dollar figures to the nearest cent and round percents to the nearest hundredth of a percent.
> Graph the solution set of the inequality, where x is a real number, on the number line. 3x + 12 ( 5x + 14
> Little League Braden River Little League held various fund raisers and received the following amounts of money: $450 from a car wash, $278 from a bake sale, and $327 from a used equipment sale. The league decides to invest the total of these amounts in a
> Show that the associative property of addition, (A + B) + C = A + (B + C), holds for matrices A, B, and C.
> Forgoing Interest Rikki borrowed $6000 from her daughter, Lynette. She repaid the $6000 at the end of 2 years. If Lynette had left the money in a bank account that paid an interest rate If necessary, round all dollar figures to the nearest cent and round
> Show the commutative property of addition, A + B = B + A, holds for matrices A and B.
> Investing a Signing Bonus Joe just started a new job and has received a $5000 signing bonus. Joe decides to invest this money now so that he can buy a new motor scooter in 5 years. If Joe invests in a 5-year CD paying 3.35% interest compounded quarterly,
> Show the commutative property of addition, A + B = B + A, holds for matrices A and B.
> Investing Prize Winnings Marcella wins third prize in the Clearinghouse Sweepstakes and receives a check for $250,000. After spending $10,000 on a vacation, she decides to invest the rest in a money market account that pays 1.5% interest compounded month
> Determine A + B and A * B. If an operation cannot be performed, explain why.
> If necessary, round all dollar figures to the nearest cent and round percents to the nearest hundredth of a percent. Contest Winnings Mary wins $2500 in a singing contest and invests the money in a 4-year CD that pays 3% interest compounded monthly. How
> Determine A + B and A * B. If an operation cannot be performed, explain why.
> x + y = 4 -x + y = 4 Solve the system of equations graphically. If the system does not have a single ordered pair as a solution, state whether the system is inconsistent or dependent.
> The desired accumulated amount is $15,000 after 30 years invested in an account with 3% interest compounded monthly. Use the present value formula to determine the amount to be invested now, or the present value needed.
> Determine A + B and A * B. If an operation cannot be performed, explain why.
> The desired accumulated amount is $75,000 after 5 years invested in an account with 4% interest compounded semiannually. Use the present value formula to determine the amount to be invested now, or the present value needed.
> Determine A + B and A * B. If an operation cannot be performed, explain why.
> $5600 for 7 years at 2.7% compounded daily Use the compound interest formula to compute the total amount accumulated and the interest earned. Round all answers to the nearest cent.
> Determine A ( B.
> $2500 for 4 years at 1.2% compounded monthly Use the compound interest formula to compute the total amount accumulated and the interest earned. Round all answers to the nearest cent.
> Determine A ( B.
> $7500 for 5 years at 1.6% compounded quarterly Use the compound interest formula to compute the total amount accumulated and the interest earned. Round all answers to the nearest cent.
> Determine A ( B.
> The percent of light that filters through water and the depth of the water Use your intuition to determine whether the variation between the indicated quantities is direct or inverse.
> Determine the simple interest. Unless noted otherwise, assume the rate is an annual rate. Assume 360 days in a year. Round answers to the nearest cent. p = $465, r = 2.75%, t = 1.25 years
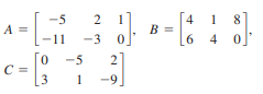
> Determine the following. 3B - 2C
> A partial payment is made on the date(s) indicated. Use the United States rule to determine the balance due on the note at the date of maturity. The Effective Date is the date the note was written. Assume the year is not a leap year. Where appropriate, r
> Determine the following. -3B
> A partial payment is made on the date(s) indicated. Use the United States rule to determine the balance due on the note at the date of maturity. The Effective Date is the date the note was written. Assume the year is not a leap year. Where appropriate, r
> Determine A - B.
> A partial payment is made on the date(s) indicated. Use the United States rule to determine the balance due on the note at the date of maturity. The Effective Date is the date the note was written. Assume the year is not a leap year. Where appropriate, r
> Assume that Sunday is represented as day 0, Monday is represented as day 1, and so on. If today is Thursday (day 4), determine the day of the week it will be in the specified number of days. Assume no leap years. 61 days
> Determine the due date of the loan, using the exact time, if the loan is made on the given date for the given number of days. July 5 for 210 days
> Rolling Wheel The wheel shown is to be rolled. Before the wheel is rolled, it is resting on number 0. The wheel will be rolled at a uniform rate of one complete roll every 4 minutes. In exactly 1 year (not a leap year), what number will be at the bottom
> (a) Use the Pythagorean theorem to determine the length of the unknown side of the triangle, (b) Determine the perimeter of the triangle, and (c) determine the area of the triangle.
> Determine the due date of the loan, using the exact time, if the loan is made on the given date for the given number of days. May 11 for 120 days
> More Birthday Questions During a certain leap year, Josephine’s birthday is on Tuesday, May 18. What is the minimum number of years in which Josephine’s birthday will fall on a a) Friday? b) Saturday?
> Determine the exact time from the first date to the second date. Use Table 10.1. Assume the year is not a leap year unless otherwise indicated. December 21 to April 28
> Determine the smallest positive number divisible by 5 to which 2 is congruent in modulo 6.
> Determine the exact time from the first date to the second date. Use Table 10.1. Assume the year is not a leap year unless otherwise indicated. June 14 to January 24
> Solve for x where k is any counting number. 7k + 1 ( x (mod 7)
> Determine the exact time from the first date to the second date. Use Table 10.1. Assume the year is not a leap year unless otherwise indicated. February 14 to December 25
> 1 ÷ 2 ( ? (mod 5)
> If necessary round all dollar figures to the nearest cent and round percents to the nearest hundredth of a percent. A Pawn Loan Jeffrey wants to take his mother out for dinner on her birthday, so he pawns his watch. The pawnbroker loans Jeffrey $75. Four
> 3 ÷ 4 ( ? (mod 7)
> x + 2y > 4 Draw the graph of the inequality.
> Bank Discount Note Kwame borrowed $2500 for 5 months from a bank using a 3% discount note. (a) How much interest did Kwame pay the bank for the use of its money? (b) How much did he receive from the bank? (c) What was the actual rate of interest he paid?
> Construct a modulo 7 multiplication table. Repeat parts (b)–(g) in Exercise 67.
> Personal Note Aidan runs a car repair garage and needs $6000 to install a new car lift. He borrows the money on a 30-month personal bank note with his mother cosigning the loan. The simple interest rate charged is 5.75%. (a) How much interest does Aidan
> Construct a modulo 8 addition table. Repeat parts (b)–(h) in Exercise 65.
> Business Loan The city of Bradenton is offering simple interest loans to start-up businesses at a rate of 3.5%. Mr. Cannata obtains one of these loans of $6000 for 3 years to help pay for start-up costs of his restaurant, Ortygia. Determine the amount of
> Nursing Shifts A nurse’s work pattern at Community Hospital consists of working the 7 a.m. –3 p.m. shift for 3 weeks and then the 3 p.m. –11 p.m. shift for 2 weeks. a) If it is the third week of the pattern, what shift will the nurse be working 6 weeks f