2.99 See Answer

Question: Solve the following linear programming problem

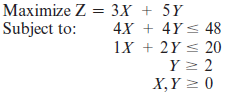
Solve the following linear programming problem graphically:
Solve the following linear programming problem graphically:


> Refer to Problem D.22. A new registration manager, Dwayne Cole, is hired who initiates a program to entertain the people in line with a juggler whom he pays $15/hour. This reduces the waiting costs to $50 per hour. a) What is the optimal number of server

> The registration area has just opened at a large convention of dentists in Tallahassee, Florida. There are 200 people arriving per hour (Poisson distributed), and the cost of their waiting time in the queue is valued at $100 per person per hour. The Tall

> Using the house of quality sequence, as described in Figure 5.4 on page 201, determine how you might deploy resources to achieve the desired quality for a product or service whose production process you understand.

> The Pontchartrain Bridge is a 16-mile toll bridge that crosses Lake Pontchartrain in New Orleans. Currently, there are 7 toll booths, each staffed by an employee. Since Hurricane Katrina, the Port Authority has been considering replacing the employees wi

> Ted Glickman, the administrator at D.C. General Hospital emergency room, faces the problem of providing treatment for patients who arrive at different rates during the day. There are four doctors available to treat patients when needed. If not needed, th

> There is only one copying machine in the student lounge of the business school. Students arrive at the rate of l 5 40 per hour (according to a Poisson distribution). Copying takes an average of (=40 seconds, or / per hour (according to a negative exponen

> One mechanic services 5 drilling machines for a steel plate manufacturer. Machines break down on an average of once every 6 working days, and breakdowns tend to follow a Poisson distribution. The mechanic can handle an average of one repair job per day.

> A technician monitors a group of 5 computers that run an automated manufacturing facility. It takes an average of 15 minutes (negative exponentially distributed) to adjust a computer that develops a problem. On average, one of the computers requires adju

> Debra Bishop’s cabinet-making shop, in Des Moines, has five tools that automate the drilling of holes for the installation of hinges. Each machine needs an average of 3 “resettings” every 8-hour day, following the Poisson distribution. There is a single

> Renuka Jain’s Car Wash takes a constant time of 4.5 minutes in its automated car wash cycle. Autos arrive following a Poisson distribution at the rate of 10 per hour. Renuka wants to know: a) The average waiting time in line. b) The average length of the

> Altug’s Coffee Shop decides to install an automatic coffee vending machine outside one of its stores to reduce the number of people standing in line inside. Mehmet Altug charges $3.50 per cup. However, it takes too long for people to make change. The ser

> Janson’s Department Store in Stark, Ohio, maintains a successful catalog sales department in which a clerk takes orders by telephone. If the clerk is occupied on one line, incoming phone calls to the catalog department are answered automatically by a rec

> Bill Youngdahl has been collecting data at the TU student grill. He has found that, between 5:00 p.m. and 7:00 p.m., students arrive at the grill at a rate of 25 per hour (Poisson distributed) and service time takes an average of 2 minutes (negative expo

> Conduct an interview with a prospective purchaser of a new bicycle and translate the customer’s wants into the specific hows of the firm.

> Customers arrive at Rich Dunn’s Styling Shop at a rate of 3 per hour, distributed in a Poisson fashion. Rich’s service times follow a negative exponential distribution, and Rich can complete an average of 5 haircuts per hour. a) Find the average number o

> Consider the following LP problem developed at Zafar Malik’s Carbondale, Illinois, optical scanning firm: a) What is the optimal solution to this problem? Solve it graphically. b) If a technical breakthrough occurred that raised the pro

> The Lifang Wu Corporation manufactures two models of industrial robots, the Alpha 1 and the Beta 2. The firm employs 5 technicians, working 160 hours each per month, on its assembly line. Management insists that full employment (that is, all 160 hours of

> Green Vehicle Inc. manufactures electric cars and small delivery trucks. It has just opened a new factory where the C1 car and the T1 truck can both be manufactured. To make either vehicle, processing in the assembly shop and in the paint shop are requir

> The Chris Beehner Company manufactures two lines of designer yard gates, called model A and model B. Every gate requires blending a certain amount of steel and zinc; the company has available a total of 25,000 lb of steel and 6,000 lb of zinc. Each model

> The Attaran Corporation manufactures two electrical products: portable air conditioners and portable heaters. The assembly process for each is similar in that both require a certain amount of wiring and drilling. Each air conditioner takes 3 hours of wir

> Porter Investments needs to develop an investment portfolio for Mrs. Singh from the following list of possible investments: Mrs. Singh has a total of $60,000 to invest. The following conditions must be met: (1) If investment F is chosen, then investment

> Rollins Publishing needs to decide what textbooks from the following table to publish. For each book, the maximum demand, fixed cost of publishing, variable cost, and selling price are provided. Rollins has the capacity to publish a total of 20,000 books

> You have just been hired as a planner for the municipal school system, and your first assignment is to redesign the subsidized lunch program. In particular, you are to formulate the least expensive lunch menu that will still meet all state and federal nu

> Consider the following LP problem: a) Solve the problem graphically. b) Is there more than one optimal solution? Explain.

> Prepare a house of quality for a mousetrap.

> The donkey driver Donkey King is using a donkey to carry goods from Harbor City to a village up in the mountains. The people living in the village are willing to buy gold, silk, salt, and sponge. Donkey King is able to earn €500 for each gold bullion, €2

> Leach Distributors packages and distributes industrial supplies. A standard shipment can be packaged in a class A container, a class K container, or a class T container. A single class A container yields a profit of $9; a class K container, a profit of $

> The intensive care unit (ICU) at a certain hospital operates 24 hours a day. Doctors report for duty at 6 a.m., 12 p.m., 6 p.m., or 12 a.m., and the following table below shows the minimum number of doctors that should be available during different perio

> The Rio Credit Union has $250,000 available to invest in a 12-month commitment. The money can be placed in Brazilian treasury notes yielding an 8% return or in riskier high yield bonds at an average rate of return of 9%. Credit union regulations require

> A feed processor in Delta Egypt must store various amounts of three different commodities in five different silos. The loading cost per ton in E£, the amount to be stored in tons, and the capacity of each silo in tons are shown in the table

> Fixawy is a new mobile platform operative in Egypt to search for home service craftsmen. In order to expand its network, the company has decided to develop an aggressive social media marketing campaign on two different social media platforms: Instagram a

> This is the slack time of year at JES, Inc. The firm would actually like to shut down the plant, but if it laid off its core employees, they would probably go to work for a competitor. JES could keep its core (full-time, year-round) employees busy by mak

> A tailor sews dresses and suits. For a suit the tailor uses 3 m2 of wool and 1 m2 of cotton. For a dress the tailor uses 2 m2 of wool and 2 m2 of cotton. The tailor has 80 m2 of cotton and 120 m2 of wool in storage. How many dresses and suits will the ta

> Solve the following LP problem graphically:

> Solve the following LP problem graphically:

> Using the house of quality, pick a real product (a good or service) and analyze how an existing organization satisfies customer requirements.

> Consider Paul Jordan’s following LP formulation: a) Graphically illustrate the feasible region to indicate to Jordan which corner point produces the optimal solution. b) What is the cost of this solution?

> The Sweet Smell Fertilizer Company markets bags of manure labeled “not less than 60 lb dry weight.” The packaged manure is a combination of compost and sewage wastes. To provide good-quality fertilizer, each bag should contain at least 30 lb of compost b

> Doug Turner Food Processors wishes to introduce a new brand of dog biscuits composed of chicken- and liverflavored biscuits that meet certain nutritional requirements. The liver-flavored biscuits contain 1 unit of nutrient A and 2 units of nutrient B; th

> Solve the following LP problem graphically:

> Solve the following linear program graphically:

> Kalyan Singhal Corp. makes three products, and it has three machines available as resources as given in the following LP problem: b) Is there unused time available on any of the machines with the optimal solution? c) What would it be worth to the firm to

> Andy’s Bicycle Company (ABC) has the hottest new product on the upscale toy market—boys’ and girls’ bikes in bright fashion colors, with oversize hubs and axles; shell design safety tires; strong padded frames; chrome-plated chains, brackets, and valves;

> Solve the following LP problem graphically. Indicate the corner points on your graph.

> Solve the following LP problem graphically:

> Mamlouk Design is an Egyptian manufacturer of handmade silk rugs. The company manufactures rugs in two different sizes: 1.5 * 2.5 meters and 2 * 3 meters. The manufacturing process depends mainly on the labor required, where each 1.5 * 2.5 meter rug requ

> Construct a house of quality matrix for a wristwatch. Be sure to indicate specific customer wants that you think the general public desires. Then complete the matrix to show how an operations manager might identify specific attributes that can be measure

> Solve the following LP problem graphically:

> The Outdoor Furniture Corporation manufactures two products, benches and picnic tables, for use in yards and parks. The firm has two main resources: its carpenters (labor force) and a supply of redwood for use in furniture. During the next production cyc

> Walter Wallace is trying to determine how many units each of two commercial multiline telephones to produce each day. One of these is the standard model; the other one is the deluxe model. The profit per unit on the standard model is $40, on the deluxe m

> An online retailer wants to optimize its marketing portfolio budget to maximize its return on investment (ROI). The retailer has decided to allocate a AED 1,000,000 budget across three different campaigns: print media, mobile advertising, and social medi

> Par, Inc., produces a standard golf bag and a deluxe golf bag on a weekly basis. Each golf bag requires time for cutting and dyeing and time for sewing and finishing, as shown in the following table: The profits per bag and weekly hours available for cut

> Each coffee table produced by Kevin Watson Designers nets the firm a profit of $9. Each bookcase yields a $12 profit. Watson’s firm is small and its resources limited. During any given production period (of 1 week), 10 gallons of varnish and 12 lengths o

> A craftsman named William Barnes builds two kinds of birdhouses, one for wrens and a second for bluebirds. Each wren birdhouse takes 4 hours of labor and 4 units of lumber. Each bluebird house requires 2 hours of labor and 12 units of lumber. The craftsm

> Formulate your own optimization (maximization) problem with three variables, one objective, and three constraints.

> David Hall, chief of the maintenance department at Mechanical Dynamics, has presented you with the following failure curve. What does it suggest?

> Perform a “product-by-value” analysis on products A, B, C, D, and E.

> Daniel Glaser, chairman of the College of San Antonio’s business department, needs to assign professors to courses next semester. As a criterion for judging who should teach each course, Professor Glaser reviews the past 2 yearsâ&

> Tigers Sports Club has to select four separate coed doubles teams to participate in an interclub table tennis tournament. The preselection results in the selection of a group of four men—Raul, Jack, Gray, and Ajay—and

> The Baton Rouge Police Department has five detective squads available for assignment to five open crime cases. The chief of detectives, Jose Noguera, wishes to assign the squads so that the total time to conclude the cases is minimized. The average numbe

> Ravi Behara, the managing partner at a large law firm in Virginia, must assign three clients to three attorneys. Cost data are presented in the following table: Use the assignment algorithm to solve this problem.

> Dennis Geyer’s company wishes to assign a set of jobs to a set of machines. The following table provides data as to the cost of each job when performed on a specific machine. a) Determine the assignment of jobs to machines that will min

> Lifang Wu owns an automated machine shop that makes precision auto parts. He has just compiled an input–output report for the grinding work center. Complete this report and analyze the results.

> A local hypermarket in Kuwait supplies juice boxes from a manufacturer in Saudi Arabia. The reorder point, without safety stock, is 800 boxes. The carrying cost is KWD 20 (Kuwaiti Dinar) per box per year, and the ordering cost is KWD 50 per box per year.

> Authentic Thai rattan chairs (shown in the photo) are delivered to Gary Schwartz’s chain of retail stores, called The Kathmandu Shop, once a year. The reorder point, without safety stock, is 200 chairs. Carrying cost is $30 per unit per

> State the seven common measures of queuing system performance.

> Name the three factors that govern the structure of “arrivals” in a queuing system.

> When designing a waiting line system, what “qualitative” concerns need to be considered?

> Name the three parts of a typical queuing system.

> What should an operations manager keep in mind when looking at the results from a simulation model?

> Based on available information, lead time demand for PC jump drives averages 50 units (normally distributed), with a standard deviation of 5 drives. Management wants a 97% service level. a) What value of Z should be applied? b) How many drives should be

> How can an operations manager successfully use a simulation model?

> How many times do you need to run a Monte Carlo simulation to achieve an appropriate model? Why does it differ from model to model?

> What are the advantages of special-purpose simulation languages (see below)?

> State the seven steps, beginning with “Defining the Problem,” that an operations manager should perform when using simulation to analyze a problem.

> Why is Little’s Law a useful queuing concept?

> What dollar value do you place on yourself per hour that you spend waiting in lines? What value do your classmates place on themselves? Why do the values differ?

> What happens if two single-server systems have the same mean arrival and service rates, but the service time is constant in one and exponential in the other?

> Do doctors’ offices generally have random arrival rates for patients? Are service times random? Under what circumstances might service times be constant?

> What are the components of the following queuing systems? Draw and explain the configuration of each. a) Barbershop b) Car wash c) Laundromat d) Small grocery store

> Provide examples of four situations in which there is a limited, or finite, waiting line.

> Barbara Flynn is in charge of maintaining hospital supplies at General Hospital. During the past year, the mean lead time demand for bandage BX-5 was 60 (and was normally distributed). Furthermore, the standard deviation for BX-5 was 7. Ms. Flynn would l

> A company has developed a promising new product and examines the following three alternatives of manufacturing. Alternative 1 is to buy a semiautomatic machine with an initial cost of €130,000. Alternative 2 is to buy a fully automatic machine with an in

> Discuss the likely outcome of a waiting line system where but only by a tiny amount (e.g.,

> Describe the behavior of a waiting line where / Use both analysis and intuition.

> Briefly describe three situations in which the first-in, first-out (FIFO) discipline rule is not applicable in queuing analysis.

> Which is larger, Ws or Wq? Explain.

> Describe what is meant by the waiting-line terms balk and renege. Provide an example of each.

> Is it good or bad to operate a supermarket bakery system on a strict first-come, first-served basis? Why?

> State the assumptions of the “basic” single-server queuing model (Model A, or M/M/1).

> Why is simulation such a widely used technique?

> List six ways that simulation can be used in business.

> Why might the results of a simulation differ each time you make a run?

> Huehn-Brown Products in St. Petersburg offers the following discount schedule for its 4-by-8-foot sheets of quality plywood. Home Sweet Home Company orders plywood from Huehn- Brown. Home Sweet Home has an ordering cost of $45. Carrying cost is 20%, and

> Why is it a good reason using a cumulative distribution as an input into a Monte Carlo simulation model?

> Explain the difference between simulated average demand and expected average demand.

> Lesedi Baard is the general manager of Quickmart, a South African convenience store. Quickmart offer a basic selection of items including food and beverages, homecare, household products, apparel, and hardware. Their target market includes people who nee

> Alabama Airlines opened its doors in December 2018 as a commuter service with its headquarters and hub located in Birmingham. The airline was started and managed by two former pilots, David Douglas and George Devenney. It acquired a fleet of 12 used prop

> A calculated optimal solution to a LP max problem is not always chosen. Explain why.

> Define the feasible region of a graphical LP problem. What is a feasible solution?

2.99

See Answer