2.99 See Answer

Question: Suppose you throw a ball into the

Suppose you throw a ball into the air. Do you think it takes longer to reach its maximum height or to fall back to earth from its maximum height? We will solve the problem in this project but, before getting started, think about that situation and make a guess based on your physical intuition. 1. A ball with mass m is projected vertically upward from the earth’s surface with a positive initial velocity v0. We assume the forces acting on the ball are the force of gravity and a retarding force of air resistance with direction opposite to the direction of motion and with magnitude p |v(t)|, where p is a positive constant and v (t) is the velocity of the ball at time t. In both the ascent and the descent, the total force acting on the ball is -pv -mg. [During ascent, v (t) is positive and the resistance acts downward; during descent, v (t) is negative and the resistance acts upward.] So, by Newton’s Second Law, the equation of motion is mv' = -pv – mg Solve this differential equation to show that the velocity is
Suppose you throw a ball into the air. Do you think it takes longer to reach its maximum height or to fall back to earth from its maximum height? We will solve the problem in this project but, before getting started, think about that situation and make a guess based on your physical intuition.
1. A ball with mass m is projected vertically upward from the earth’s surface with a positive initial velocity v0. We assume the forces acting on the ball are the force of gravity and a retarding force of air resistance with direction opposite to the direction of motion and with magnitude p |v(t)|, where p is a positive constant and v (t) is the velocity of the ball at time t.
In both the ascent and the descent, the total force acting on the ball is -pv -mg. [During ascent, v (t) is positive and the resistance acts downward; during descent, v (t) is negative and the resistance acts upward.] So, by Newton’s Second Law, the equation of motion is mv' = -pv – mg
Solve this differential equation to show that the velocity is


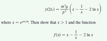
2. Show that the height of the ball, until it hits the ground, is


3. Let be the time that the ball takes to reach its maximum height. Show that


Find this time for a ball with mass 1 kg and initial velocity 20 m/s. Assume the air resistance is 1/10 of the speed.
4. Let t2 be the time at which the ball falls back to earth. For the particular ball in Problem 3, estimate t2 by using a graph of the height function y (t). Which is faster, going up or coming down?
5. In general, it’s not easy to find t2 because it’s impossible to solve the equation y (t) = 0 explicitly. We can, however, use an indirect method to determine whether ascent or descent is faster; we determine whether y (2t1) is positive or negative. Show that


is increasing for x > 1. Use this result to decide whether y (2t1) is positive or negative. What can you conclude? Is ascent or descent faster?

2. Show that the height of the ball, until it hits the ground, is
Suppose you throw a ball into the air. Do you think it takes longer to reach its maximum height or to fall back to earth from its maximum height? We will solve the problem in this project but, before getting started, think about that situation and make a guess based on your physical intuition.
1. A ball with mass m is projected vertically upward from the earth’s surface with a positive initial velocity v0. We assume the forces acting on the ball are the force of gravity and a retarding force of air resistance with direction opposite to the direction of motion and with magnitude p |v(t)|, where p is a positive constant and v (t) is the velocity of the ball at time t.
In both the ascent and the descent, the total force acting on the ball is -pv -mg. [During ascent, v (t) is positive and the resistance acts downward; during descent, v (t) is negative and the resistance acts upward.] So, by Newton’s Second Law, the equation of motion is mv' = -pv – mg
Solve this differential equation to show that the velocity is


2. Show that the height of the ball, until it hits the ground, is


3. Let be the time that the ball takes to reach its maximum height. Show that


Find this time for a ball with mass 1 kg and initial velocity 20 m/s. Assume the air resistance is 1/10 of the speed.
4. Let t2 be the time at which the ball falls back to earth. For the particular ball in Problem 3, estimate t2 by using a graph of the height function y (t). Which is faster, going up or coming down?
5. In general, it’s not easy to find t2 because it’s impossible to solve the equation y (t) = 0 explicitly. We can, however, use an indirect method to determine whether ascent or descent is faster; we determine whether y (2t1) is positive or negative. Show that


is increasing for x > 1. Use this result to decide whether y (2t1) is positive or negative. What can you conclude? Is ascent or descent faster?

3. Let be the time that the ball takes to reach its maximum height. Show that
Suppose you throw a ball into the air. Do you think it takes longer to reach its maximum height or to fall back to earth from its maximum height? We will solve the problem in this project but, before getting started, think about that situation and make a guess based on your physical intuition.
1. A ball with mass m is projected vertically upward from the earth’s surface with a positive initial velocity v0. We assume the forces acting on the ball are the force of gravity and a retarding force of air resistance with direction opposite to the direction of motion and with magnitude p |v(t)|, where p is a positive constant and v (t) is the velocity of the ball at time t.
In both the ascent and the descent, the total force acting on the ball is -pv -mg. [During ascent, v (t) is positive and the resistance acts downward; during descent, v (t) is negative and the resistance acts upward.] So, by Newton’s Second Law, the equation of motion is mv' = -pv – mg
Solve this differential equation to show that the velocity is


2. Show that the height of the ball, until it hits the ground, is


3. Let be the time that the ball takes to reach its maximum height. Show that


Find this time for a ball with mass 1 kg and initial velocity 20 m/s. Assume the air resistance is 1/10 of the speed.
4. Let t2 be the time at which the ball falls back to earth. For the particular ball in Problem 3, estimate t2 by using a graph of the height function y (t). Which is faster, going up or coming down?
5. In general, it’s not easy to find t2 because it’s impossible to solve the equation y (t) = 0 explicitly. We can, however, use an indirect method to determine whether ascent or descent is faster; we determine whether y (2t1) is positive or negative. Show that


is increasing for x > 1. Use this result to decide whether y (2t1) is positive or negative. What can you conclude? Is ascent or descent faster?

Find this time for a ball with mass 1 kg and initial velocity 20 m/s. Assume the air resistance is 1/10 of the speed. 4. Let t2 be the time at which the ball falls back to earth. For the particular ball in Problem 3, estimate t2 by using a graph of the height function y (t). Which is faster, going up or coming down? 5. In general, it’s not easy to find t2 because it’s impossible to solve the equation y (t) = 0 explicitly. We can, however, use an indirect method to determine whether ascent or descent is faster; we determine whether y (2t1) is positive or negative. Show that
Suppose you throw a ball into the air. Do you think it takes longer to reach its maximum height or to fall back to earth from its maximum height? We will solve the problem in this project but, before getting started, think about that situation and make a guess based on your physical intuition.
1. A ball with mass m is projected vertically upward from the earth’s surface with a positive initial velocity v0. We assume the forces acting on the ball are the force of gravity and a retarding force of air resistance with direction opposite to the direction of motion and with magnitude p |v(t)|, where p is a positive constant and v (t) is the velocity of the ball at time t.
In both the ascent and the descent, the total force acting on the ball is -pv -mg. [During ascent, v (t) is positive and the resistance acts downward; during descent, v (t) is negative and the resistance acts upward.] So, by Newton’s Second Law, the equation of motion is mv' = -pv – mg
Solve this differential equation to show that the velocity is


2. Show that the height of the ball, until it hits the ground, is


3. Let be the time that the ball takes to reach its maximum height. Show that


Find this time for a ball with mass 1 kg and initial velocity 20 m/s. Assume the air resistance is 1/10 of the speed.
4. Let t2 be the time at which the ball falls back to earth. For the particular ball in Problem 3, estimate t2 by using a graph of the height function y (t). Which is faster, going up or coming down?
5. In general, it’s not easy to find t2 because it’s impossible to solve the equation y (t) = 0 explicitly. We can, however, use an indirect method to determine whether ascent or descent is faster; we determine whether y (2t1) is positive or negative. Show that


is increasing for x > 1. Use this result to decide whether y (2t1) is positive or negative. What can you conclude? Is ascent or descent faster?

is increasing for x > 1. Use this result to decide whether y (2t1) is positive or negative. What can you conclude? Is ascent or descent faster?





Transcribed Image Text:

v(t) mg e Plm mg (1 – e-m/m) - mgt P mg D(t) = m mg + pvo In mg m²g y(2f,) : p2 2 In x where x = ePh/m. Then show that x>1 and the function f(x) = x – 1 2 In x


> A bacteria culture contains 200 cells initially and grows at a rate proportional to its size. After half an hour the population has increased to 360 cells. (a). Find the number of bacteria after hours. (b). Find the number of bacteria after 4 hours. (c).

> The Brentano-Stevens Law in psychology models the way that a subject reacts to a stimulus. It states that if R represents the reaction to an amount of stimulus, then the relative rates of increase are proportional: where is a positive constant. Find R as

> The von Bertalanffy growth model is used to predict the length L (t) of a fish over a period of time. If L∞ is the largest length for a species, then the hypothesis is that the rate of growth in length is proportional to L∞ - L, the length yet to be achi

> (a). Write a differential equation that expresses the law of natural growth. What does it say in terms of relative growth rate? (b). Under what circumstances is this an appropriate model for population growth? (c). What are the solutions of this equation

> (a). Write the solution of the initial-value problem and use it to find the population when t = 20. (b). When does the population reach 1200? dP P 0.1P(1 P(0) 100 dt 2000

> A cup of hot chocolate has temperature 800Cin a room kept at 200C. After half an hour the hot-chocolate cools to 600C. (a). What is the temperature of the chocolate after another half hour? (b). When will the chocolate have cooled to 400C?

> A patient is prescribed a drug and is told to take one 100-mg pill every eight hours. After eight hours, about 5% of the drug remains in the body. (a). What quantity of the drug remains in the body after the patient takes three pills? (b). What quantity

> Let C (t) be the concentration of a drug in the bloodstream. As the body eliminates the drug, C (t) decreases at a rate that is proportional to the amount of the drug that is present at the time. Thus C (t) = -kC (t), where is a positive number called th

> Cobalt-60 has a half-life of 5.24 years. (a). Find the mass that remains from a 100-mg sample after 20 years. (b). How long would it take for the mass to decay to 1 mg?

> A planning engineer for a new alum plant must present some estimates to his company regarding the capacity of a silo designed to contain bauxite ore until it is processed into alum. The ore resembles pink talcum powder and is poured from a conveyor at th

> Find the orthogonal trajectories of the family of curves. y = e kx

> Find the orthogonal trajectories of the family of curves. y = kex

> Solve the initial-value problem. (1 + cos x)y' = (1 + e-y) sin x, y (0) = 0

> Solve the initial-value problem. dr/dt + 2tr = r, r (0) = 5

> Solve the differential equation. dx/dt = 1 – t + x - rx

> Find the curve y = f (x) such that f (x) > 0, f (0) = 0, f (1) = 1, and the area under the graph of f from 0 to x is proportional to the (n + 1) power of f (x).

> Find all functions f that satisfy the equation (f (x)dx) (f 1/f (x) dx) = -1

> (a). If lima→∞ an = L, what is the value of lima→∞ an+1? (b). A sequence {an} is defined by Find the first ten terms of the sequence correct to five decimal places. Does it appear

> Let f be a function with the property that f (0) = 1, f'(0) = 1, and f (a + b) = f (a) f (b) for all real numbers a and b. Show that f'(x) = f (x) for all and deduce that f (x) = ex.

> A student forgot the Product Rule for differentiation and made the mistake of thinking that (fg)' = f'g'. However, he was lucky and got the correct answer. The function f that he used was f (x) = ex2 and the domain of his problem was the interval (1/2, ∞

> (a). A direction field for the differential equation y' = y (y – 1) (y – 4) is shown. Sketch the graphs of the solutions that satisfy the given initial conditions. (b). If the initial condition is y (0) = c, for what

> Barbara weighs 60 kg and is on a diet of 1600 calories per day, of which 850 are used automatically by basal metabolism. She spends about 15 cal/kg/day times her weight doing exercise. If 1 kg of fat contains 10,000 cal and we assume that the storage of

> Suppose the model of Exercise 22 is replaced by the equations (a). According to these equations, what happens to the insect population in the absence of birds? (b). Find the equilibrium solutions and explain their significance. (c). The figure at the r

> Populations of birds and insects are modeled by the equations (a). Which of the variables, x or y, represents the bird population and which represents the insect population? Explain. (b). Find the equilibrium solutions and explain their significance. (

> The transport of a substance across a capillary wall in lung physiology has been modeled by the differential equation where h is the hormone concentration in the bloodstream, t is time, R is the maximum transport rate, V is the volume of the capillary, a

> A tank contains 100 L of pure water. Brine that contains 0.1 kg of salt per liter enters the tank at a rate of 10 L/min. The solution is kept thoroughly mixed and drains from the tank at the same rate. How much salt is in the tank after 6 minutes?

> One model for the spread of an epidemic is that the rate of spread is jointly proportional to the number of infected people and the number of uninfected people. In an isolated town of 5000 inhabitants, 160 people have a disease at the beginning of the we

> Find all functions f such that f' is continuous and [f(x)]? = 100 + {LSMI° + [f'O1*} dt for all real x

> (a). Fibonacci posed the following problem: Suppose that rabbits live forever and that every month each pair produces a new pair which becomes productive at age 2 months. If we start with one newborn pair, how many pairs of rabbits will we have in the nt

> What is a separable differential equation? How do you solve it?

> (a). The population of the world was 5.28 billion in 1990 and 6.07 billion in 2000. Find an exponential model for these data and use the model to predict the world population in the year 2020. (b). According to the model in part (a), when will the world

> (a). Write Lotka-Volterra equations to model populations of food fish (F) and sharks (S). (b). What do these equations say about each population in the absence of the other?

> Find all curves with the property that if the normal line is drawn at any point P on the curve, then the part of the normal line between P and the x-axis is bisected by the y-axis.

> Recall that the normal line to a curve at a point P on the curve is the line that passes through P and is perpendicular to the tangent line at P. Find the curve that passes through the point (3, 2) and has the property that if the normal line is drawn at

> Find the curve that passes through the point (3, 2) and has the property that if the tangent line is drawn at any point P on the curve, then the part of the tangent line that lies in the first quadrant is bisected at P.

> (a). Write the logistic equation. (b). Under what circumstances is this an appropriate model for population growth?

> (a). Suppose that the dog in Problem 9 runs twice as fast as the rabbit. Find a differential equation for the path of the dog. Then solve it to find the point where the dog catches the rabbit. (b). Suppose the dog runs half as fast as the rabbit. How clo

> A dog sees a rabbit running in a straight line across an open field and gives chase. In a rectangular coordinate system (as shown in the figure), assume: (i). The rabbit is at the origin and the dog is at the point (L, 0) at the instant the dog first s

> Snow began to fall during the morning of February 2 and continued steadily into the afternoon. At noon a snowplow began removing snow from a road at a constant rate. The plow traveled 6 km from noon to 1 PM but only 3 km from 1 PM to 2 PM. When did the s

> Use the partial fraction command on your CAS to find a convenient expression for the partial sum, and then use this expression to find the sum of the series. Check your answer by using the CAS to sum the series directly. 1 Σ A-2 n

> A peach pie is taken out of the oven at 5:00 PM. At that time, it is piping hot, 1000C. At 5:10 PM its temperature is 800C; at 5:20 PM it is 650C. What is the temperature of the room?

> A subtangent is a portion of the x-axis that lies directly beneath the segment of a tangent line from the point of contact to the x-axis. Find the curves that pass through the point (c, 1) and whose subtangents all have length c.

> Solve the differential equation. 2 yey2y' = 2x + 3√x

> (a). What is a differential equation? (b). What is the order of a differential equation? (c). What is an initial condition?

> (a). A direction field for the differential equation y' = x2 – y2 is shown. Sketch the solution of the initial-value problem Use your graph to estimate the value of y (0.3). (b). Use Euler’s method with step size 0

> (a). Sketch a direction field for the differential equation y' = x/y. Then use it to sketch the four solutions that satisfy the initial conditions y (0) = 1, y (0) = -1, y (2) = 1, and y (-2) = 1. (b). Check your work in part (a) by solving the different

> 1. All solutions of the differential equation y' = -1 – y4 are decreasing functions. 2. The function f (x) = (ln x)/x is a solution of the differential equation x2y' + xy = 1. 3. The equation y' = x + y is separable. 4. The equation y'

> If water (or other liquid) drains from a tank, we expect that the flow will be greatest at first (when the water depth is greatest) and will gradually decrease as the water level decreases. But we need a more precise mathematical description of how the f

> In this project we explore three of the many applications of calculus to baseball. The physical interactions of the game, especially the collision of ball and bat, are quite complex and their models are discussed in detail in a book by Robert Adair, The

> Use the partial fraction command on your CAS to find a convenient expression for the partial sum, and then use this expression to find the sum of the series. Check your answer by using the CAS to sum the series directly. Зп? + Зп + 1 (n? + n)3

> Suppose ∑an and ∑bn are series with positive terms and ∑bn is known to be convergent. (a). If an > bn for all n, what can you say about ∑an? Why? (b). If an < bn for all n, what can you say about ∑an? Why?

> Show that y = 2/3 ex + e-2x is a solution of the differential equation y' = + 2y = 2ex.

> Sketch the direction field of the differential equation. Then use it to sketch a solution curve that passes through the given point. y' = x + y', (0, 0)

> Match the differential equations with the solution graphs labeled I&acirc;&#128;&#147;IV. Give reasons for your choices. I y II y. III IV у. (a) y' = 1 + x² + y² (b) y' = xe-y 1 (c) y' = 1+ e (d) y' = sin(ry) cos(ry)

> Sketch the direction field of the differential equation. Then use it to sketch a solution curve that passes through the given point. у — ху — х', (О, 1) y' = xy

> Sketch the direction field of the differential equation. Then use it to sketch a solution curve that passes through the given point. у — у — 2х, (1, 0)

> A function satisfies the differential equation dy/dt = y4 – 6y3 + 5y2 (a). What are the constant solutions of the equation? (b). For what values of y is increasing? (c). For what values of y is decreasing?

> A direction field for the differential equation y' = x cos &Iuml;&#128;y is shown. (a). Sketch the graphs of the solutions that satisfy the given initial conditions. (b). Find all the equilibrium solutions. ~~ーー|/ン //|\~~~+N ~ \|/ンノン ///|\\\ ////

> A sphere with radius 1 m has temperature 150C. It lies inside a concentric sphere with radius 2 m and temperature 250C. The temperature T (r) at a distance r from the common center of the spheres satisfies the differential equation If we let S = dT/dr,

> In contrast to the situation of Exercise 40, experiments show that the reaction H2 + Br2 &acirc;&#134;&#146; 2HBr satisfies the rate law and so, for this reaction the differential equation becomes where x = [HBr] and a and b are the initial concentr

> In an elementary chemical reaction, single molecules of two reactants A and B form a molecule of the product C: A + B &acirc;&#134;&#146; C. The law of mass action states that the rate of reaction is proportional to the product of the concentrations of A

> Find the first 40 terms of the sequence defined by and a1 = 11. Do the same if a1 = 22. Make a conjecture about this type of sequence. Sta. if a, is an even number as+1 3a, + 1 if a, is an odd number

> In Exercise 15 in Section 7.1 we formulated a model for learning in the form of the differential equation dP/dt = k (M – P) where P (t) measures the performance of someone learning a skill after a training time t, M is the maximum level of performance, a

> In Exercise 28 in Section 7.2 we discussed a differential equation that models the temperature of a cup of coffee in a room. Solve the differential equation to find an expression for the temperature of the coffee at time t.

> Solve the initial-value problem in Exercise 27 in Section 7.2 to find an expression for the charge at time t. Find the limiting value of the charge.

> Find a function f such that f (3) = 2 and (t2 + 1) f'(t) + [f (t)]2 + 1 = 0, t ≠ 1 [Hint: Use the addition formula for on Reference Page 2.]

> An integral equation is an equation that contains an unknown function f (x) and an integral that involves y (x). Solve the given integral equation. [Hint: Use an initial condition obtained from the integral equation.] y(x) = 4 + 2tvy(1) dt

> An integral equation is an equation that contains an unknown function f (x) and an integral that involves y (x). Solve the given integral equation. [Hint: Use an initial condition obtained from the integral equation.] dt y(x) = 2 + o x>0 ty(t)'

> An integral equation is an equation that contains an unknown function f (x) and an integral that involves y (x). Solve the given integral equation. [Hint: Use an initial condition obtained from the integral equation.] y(x) = 2 + [t – ty(1)] dt

> Find the orthogonal trajectories of the family of curves. Use a graphing device to draw several members of each family on a common screen. y = x/1 + kx

> Find the orthogonal trajectories of the family of curves. Use a graphing device to draw several members of each family on a common screen. y = k/x

> Find the orthogonal trajectories of the family of curves. Use a graphing device to draw several members of each family on a common screen. .3 y? = kx %3D

> A fish farmer has 5000 catfish in his pond. The number of catfish increases by 8% per month and the farmer harvests 300 catfish per month. (a). Show that the catfish population Pn after n months is given recursively by (b). How many catfish are in the

> Find the orthogonal trajectories of the family of curves. Use a graphing device to draw several members of each family on a common screen. x² + 2y? = k?

> In Exercise 14 in Section 7.1 we considered a 950C cup of coffee in a 200C room. Suppose it is known that the coffee cools at a rate of 10C per minute when its temperature is 700C. (a). What does the differential equation become in this case? (b). Sketch

> (a). Use a computer algebra system to draw a direction field for the differential equation. Get a printout and use it to sketch some solution curves without solving the differential equation. (b). Solve the differential equation. (c). Use the CAS to draw

> (a). Program your computer algebra system, using Euler&acirc;&#128;&#153;s method with step size 0.01, to calculate y (2), where y is the solution of the initial-value problem (b). Check your work by using the CAS to draw the solution curve. y' = x

> (a). Program a calculator or computer to use Euler&acirc;&#128;&#153;s method to compute y (1), where y (x) is the solution of the initial value problem (b). Verify that y = 2 + e-x3 is the exact solution of the differential equation. (c). Find the er

> (a). Use Euler’s method with step size 0.2 to estimate y (0.4), where y (x) is the solution of the initial-value problem y' = x + y2, y (0) = 0. (b). Repeat part (a) with step size 0.1.

> (a). Solve the differential equation y' = 2x√1 – y2. (b). Solve the initial-value problem y' = 2x√1 – y2, y (0) = 0, and graph the solution. (c). Does the initial-value problem y' = 2x√1 – y2, y (0) = 2, have a solution? Explain.

> Let c be a positive number. A differential equation of the form dy/dt = ky1+c where is a positive constant, is called a doomsday equation because the exponent in the expression is larger than the exponent 1 for natural growth. (a). Determine the solution

> Consider a population P = P (t) with constant relative birth and death rates &Icirc;&plusmn; and &Icirc;&sup2;, respectively, and a constant emigration rate m, where &Icirc;&plusmn;, &Icirc;&sup2;, and m are positive constants. Assume that &Icirc;&plusmn

> (a). How long will it take an investment to double in value if the interest rate is 6% compounded continuously? (b). What is the equivalent annual interest rate?

> Around 1910, the Indian mathematician Srinivasa Ramanujan discovered the formula William Gosper used this series in 1985 to compute the first 17 million digits of &Iuml;&#128;. (a). Verify that the series is convergent. (b). How many correct decimal pl

> (a). If $3000 is invested at 5% interest, find the value of the investment at the end of 5 years if the interest is compounded (i) annually, (ii) semiannually, (iii) monthly, (iv) weekly, (v) daily, and (vi) continuously. (b). If A (T) is the amount of t

> (a). If $1000 is borrowed at 8% interest, find the amounts due at the end of 3 years if the interest is compounded (i) annually, (ii) quarterly, (iii) monthly, (iv) weekly, (v) daily, (vi) hourly, and (vii) continuously. (b). Suppose $1000 is borrowed an

> The rate of change of atmospheric pressure P with respect to altitude h is proportional to P, provided that the temperature is constant. At 150C the pressure is 101.3kPa at sea level and 87.14 kPa at h = 1000m. (a). What is the pressure at an altitude of

> A freshly brewed cup of coffee has temperature 950C in a 200C room. When its temperature is 700C, it is cooling at a rate of 10C per minute. When does this occur?

> When a cold drink is taken from a refrigerator, its temperature is 50C. After 25 minutes in a 200C room its temperature has increased to 100C. (a). What is the temperature of the drink after 50 minutes? (b). When will its temperature be 150C?

> Find the solution of the differential equation that satisfies the given initial condition. xy sin x y' y +1 y(0) = 1 '

> A roast turkey is taken from an oven when its temperature has reached 1850F and is placed on a table in a room where the temperature is 750F. (a). If the temperature of the turkey is 1500F after half an hour, what is the temperature after 45 minutes? (b

> A curve passes through the point (0, 5) and has the property that the slope of the curve at every point P is twice the y-coordinate of P. What is the equation of the curve?

> (a). Show that if P satisfies the logistic equation (1), then d2P/dt2 = k2P (1 – P/M) (1 – 2P/M). (b). Deduce that a population grows fastest when it reaches half its carrying capacity.

> Biologists stocked a lake with 400 fish and estimated the carrying capacity (the maximal population for the fish of that species in that lake) to be 10,000. The number of fish tripled in the first year. (a). Assuming that the size of the fish population

> (a). Show that ∑∞n=0 xn/n! converges for all x. (b). Deduce that limn→∞ xn/n! = 0 for all x.

> In Example 1(b) we showed that the rabbit and wolf populations satisfy the differential equation By solving this separable differential equation, show that where C is a constant. It is impossible to solve this equation for W, as an explicit function

> Graphs of populations of two species are shown. Use them to sketch the corresponding phase trajectory. y species 1 1200- 1000 800 600 400 species 2 200 5 10 15

> Graphs of populations of two species are shown. Use them to sketch the corresponding phase trajectory. y. species 1 200+ species 2 150+ 100+ 50 1

> Solve the differential equation. du/dr = 1 + √r/1 + √u

> Suppose a population grows according to a logistic model with initial population 1000 and carrying capacity 10,000. If the population grows to 2500 after one year, what will the population be after another three years?

2.99

See Answer