2.99 See Answer

Question: The integral method also can be applied

The integral method also can be applied to turbulent-flow conditions if experimental data for the wall shear stress are available. In one of the earliest attempts to analyze turbulent flow over a flat plate, Ludwig Prandtl proposed in 1921 the following relations for the dimensionless velocity and temperature distributions:
The integral method also can be applied to turbulent-flow conditions if experimental data for the wall shear stress are available. In one of the earliest attempts to analyze turbulent flow over a flat plate, Ludwig Prandtl proposed in 1921 the following relations for the dimensionless velocity and temperature distributions:
From experimental data, an empirical relation relating the shear stress at the wall to boundary layer thickness is
Following the approach outlined in Section 5.9.1 for laminar conditions, substitute  the  relations  in the boundary layer momentum and energy integral equations and derive equations for: 
(a) the boundary layer thickness, 
(b) the local friction coefficient, and
(c) the local Nusselt number. Assume  = t and dis- cuss the limitations of your results.

From experimental data, an empirical relation relating the shear stress at the wall to boundary layer thickness is
The integral method also can be applied to turbulent-flow conditions if experimental data for the wall shear stress are available. In one of the earliest attempts to analyze turbulent flow over a flat plate, Ludwig Prandtl proposed in 1921 the following relations for the dimensionless velocity and temperature distributions:
From experimental data, an empirical relation relating the shear stress at the wall to boundary layer thickness is
Following the approach outlined in Section 5.9.1 for laminar conditions, substitute  the  relations  in the boundary layer momentum and energy integral equations and derive equations for: 
(a) the boundary layer thickness, 
(b) the local friction coefficient, and
(c) the local Nusselt number. Assume  = t and dis- cuss the limitations of your results.

Following the approach outlined in Section 5.9.1 for laminar conditions, substitute the relations in the boundary layer momentum and energy integral equations and derive equations for: (a) the boundary layer thickness, (b) the local friction coefficient, and (c) the local Nusselt number. Assume  = t and dis- cuss the limitations of your results.


> Determine the heat transfer coefficient at the stagnation point and the average value of the heat transfer coefficient for a single 5-cm-OD, 60-cm-long tube in cross-flow. The temperature of the tube surface is 260°C, the velocity of the fluid flowing pe

> When a sphere falls freely through a homogeneous fluid, it reaches a terminal velocity at which the weight of the sphere is balanced by the buoyant force and the frictional resistance of the fluid. Make a dimensional analysis of this problem and indica

> The dimensionless ratio / called the Froude number, is a measure of similarity between an ocean- going ship and a scale model of the ship to be tested in a laboratory water channel. A 150-m-long cargo ship is designed to run at 36 km/h, and a 1.5-m geome

> A scale model of an airplane wing section is tested in a wind tunnel at a Mach number of 1.5. The air pressure and temperature in the test section are 20,000 N/m2 and -30°C, respectively. If the wing section is to be kept at an average temperature of 60°

> The average Reynolds number for air passing in turbulent flow over a 2-m-long, flat plate is 2.4 *106. Under these conditions, the average Nusselt number was found to be equal to 4150. Determine the average heat transfer coefficient for an oil having the

> A satellite reenters the earth’s atmosphere at a velocity of 2700 m/s. Estimate the maximum temperature the heat shield would reach if the shield material is not allowed to ablate and radiation effects are neglected. The temperature of the upper layer of

> A flat plate is placed in a supersonic wind tunnel with air flowing over it at a Mach number of 2.0, a pressure of 25,000 N/m2, and an ambient temperature of -15°C. If the plate is 30 cm long in the direction of flow, calculate the cooling rate per unit

> Air at 15°C and 0.01 atmosphere pressure flows at a velocity of 250 m/s over a thin flat strip of metal that is 0.1 m long in the direction of flow. Determine (a) the surface temperature of the plate at equilibrium and (b) the rate of heat removal requi

> Heat rejection from high-speed racing automobiles is a problem because the required heat exchangers generally create additional drag. Integration of heat rejection into the skin of the vehicle has been pro- posed for a car to be tested at the Bonneville

> A spherical communications satellite, 2 m in diameter, is placed in orbit around the earth. The satellite generates 1000 W of internal power from a small nuclear generator. If the surface of the satellite has an emittance of 0.3, and is shaded from solar

> Air at a static temperature of 21°C and a static pressure of 0.7 kPa (abs) flows at zero angle of attack over a thin, electrically heated flat plate at a velocity of 240 m/s. If the plate is 10 cm long in the direction of flow and 60 cm in the direction

> A highly polished chromium flat plate is placed in a high-speed wind tunnel to simulate flow over the fuselage of a supersonic aircraft. The air flowing in the wind tunnel is at a temperature of 0°C and a pressure of 3500 N/m2 and has a velocity parallel

> A flat plate test section, which is 0.5 m wide and has an electrically heated surface installed 0.5 m away from the leading edge, as depicted in the schematic given, is to be designed for a boundary-layer measurement experiment. The electrically heated s

> A flat plate solar collector is installed flat-flush on the surface of a roof that is inclined 30° from the vertical normal and facing south in order to maximize its performance. The solar collector is a 2.5 m * 2.0 m rectangle and is placed a

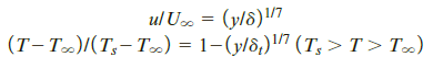
> A fluid at temperature T( is flowing at a velocity U( over a flat plate that is at the same temperature as the fluid for a distance x0 from the leading edge but at a higher temperature Ts beyond this point. Show by means of the integral boundary layer eq

> A 4-m2 square flat-plate solar collector for domestic hot-water heating is shown schematically. Solar radiation at a rate of 750 W/m2 is incident on the glass cover, which transmits 90% of the incident flux. Water flows through the tubes soldered to the

> A fluid flows at 5 m/s over a wide, flat plate 15 cm long. For each from the following list, calculate the Reynolds number at the downstream end of the plate. Indicate whether the flow at that point is laminar, transition, or turbulent. Assume all fluid

> An aluminum cooling fin for a heat exchanger is situated parallel to an atmospheric pressure air stream. The fin, as shown in the sketch, is 0.075 m high, 0.005 m thick and 0.45 m in the flow direction. Its base temperature is 88°C, and the ai

> The surface temperature of a thin, flat plate located parallel to an air stream is 90°C. The free-stream velocity is 60 m/s, and the temperature of the air is 0°C. The plate is 60 cm wide and 45 cm long in the direction of the air stream. Neglecting the

> Water at a velocity of 2.5 m/s flows parallel to a 1-m-long horizontal, smooth, and thin, flat plate. Determine the local thermal and hydrodynamic boundary layer thick- nesses and the local friction coefficient at the midpoint of the plate. What is the r

> A small gray sphere having an emissivity of 0.5 and a surface temperature of 537°C is located in a black- body enclosure having a temperature of 37°C. Calculate for this system (a) the net rate of heat transfer by radiation per unit of surface area of t

> A furnace wall is to be constructed of brick having standard dimensions of 22.5 cm 3 11 cm 3 7.5 cm Two kinds of material are available. One has a maximum usable temperature of 1040°C and a thermal conductivity of 1.7 W/(m K), and the other has a maximum

> Determine the rate of heat loss from the wall of a building resulting from a 16 km/h wind blowing parallel to its surface. The wall is 24 m long and 6 m high, its surface temperature is 27°C, and the temperature of the ambient air is 4°C.

> Repeat Problem 5.54, parts (d), (e), (g), and (h) for x = 4.0 m and U( = 80 m/s, (a) taking the laminar boundary layer into account and (b) assuming that the turbulent boundary layer starts at the leading edge.

> Hydrogen at 15°C and a pressure of 100 kPa is flowing along a flat plate at a velocity of 3 m/s. If the plate is 0.3 m wide and at 71°C, calculate the following quantities at x = 0.3 m and at the distance corresponding to the transition point / (use prop

> Repeat Problem 5.40, but consider the 2.5-mm thick stainless steel strip to emerge from the rolling mill with a speed of 35 m/s. With the temperature of the strip and the surrounding air, respectively, of 900°C and 30°C, determine the time-dependent rate

> For flow of gas over a flat surface that has been artificially roughened by sandblasting, the local heat transfer by convection is correlated by the dimensionless relation / (a) Derive a relationship for the average heat transfer coefficient in flow ove

> For a study on global warming, an electronic instrument has to be designed to map the CO2 absorption characteristics of the Pacific Ocean. The instrument package resembles a flat plate with a total (upper and lower) surface area of 2 m2. For safe operati

> A thin, flatplate 15-cm square is suspended from a balance in a uniformly flowing stream of engine oil in such a way that the oil flows parallel to and along both surfaces of the plate. The total drag on the plate is measured and found to be 55.5 N. If t

> Evaluate the dimensionless groups /and / for water, n-butyl alcohol, mercury, hydro- gen, air, and saturated steam at a temperature of 100°C.

> A thin, flat plate 15 cm square is tested for drag in a wind tunnel with air at 30 m/s, 100 kPa (abs), and 16°C flowing across and parallel to the top and bottom surfaces. The observed total drag force is 0.06 N. Using the definition of friction coeffici

> It has been proposed to tow icebergs from the polar region to the Middle East in order to supply potable water to arid regions there. A typical iceberg suitable for towing should be relatively broad and flat. Consider an iceberg 0.25 km thick and 1 km sq

> A spherical interplanetary probe with a 30-cm diameter contains electronic equipment that dissipates 100 W. If the probe surface has an emissivity of 0.8, what is its surface temperature in outer space? State your assumptions in the calculations.

> The wing of an airplane has a polished aluminum skin. At a 1500 m altitude, it absorbs 100 W/m2 by solar radiation. Assuming that the interior surface of the wing’s skin is well insulated and the wing has a chord of 6-m length (i.e., L

> Twenty-five square computer chips, each 10 mm * 10 mm in size and 1 mm thick, are mounted 1 mm apart on an insulating plastic substrate as shown below. The chips are to be cooled by nitrogen flowing along the length of the row at -40°C and atm

> The air-conditioning system in a Chevrolet van for use in desert climates is to be sized. The system is to maintain an interior temperature of 20°C when the van travels at 100 km/h through dry air at 30°C at night. If the top of th

> At the equator, where the sun is approximately overhead at noon, a near optimum orientation for a flat-plate solar hot-water heater is in the horizontal position. Suppose a 4-m 4-m solar collector for domestic hot wate

> A refrigeration truck is traveling at 130 km/h on a desert highway where the air temperature is 50°C. The body of the truck is idealized as a rectangular box 3 m wide, 2.1 m high, and 6 m long, at a surface temperature 10°C. Assume

> Air at 320 K with a free-stream velocity of 10 m/s is used to cool small electronic devices mounted on a printed circuit board as shown in the sketch. Each device is 5 mm * 5 mm square in planform and dissipates 60 mW. A turbulator is located at the lead

> A flat-plate heat exchanger operates in a nitrogen atmosphere at a pressure of about 104 N/m2 and 38°C. The flat-plate heat exchanger was originally designed to operate in air at 1 atm and 38°C turbulent flow. Estimate the ratio of the heat transfer coef

> In a sheet-metal rolling and stamping factory, a 2.5- mm thick strip of stainless steel is hot rolled, as is schematically depicted in the figure. The strip emerges from the furnace and the rolling mill with a temperature of 900°C with a speed

> Evaluate the Stanton number for flow over a tube from the following data /

> In a manufacturing operation, a long strip of sheet metal is transported on a conveyor at a velocity of 2 m/s while a coating on its top surface is to be cured by radiant heating. Suppose that infrared lamps mounted above the conveyor provide a radiant f

> The sun has a radius of 7 * 108 m and approximates a blackbody with a surface temperature of about 5800 K. Calculate the total rate of radiation from the sun and the emitted radiation flux per square meter of surface area.

> A 2.5-cm-diameter, 15-cm-long transit rod (k = 0.97 on the end of a 2.5-cm-diameter wood rod at a uniform temperature of 100°C is suddenly placed into a 16°C, 30 m/s air stream flowing parallel to the axis of the rod. Estimate the

> The six identical aluminum fins shown in the sketch are attached to an electronic device for cooling. Cooling air is available at a velocity of 5 m/s from a fan at 20°C. If the average temperature at the base of a fin is not to exceed 100&Acir

> An electronic device is to be cooled by air flowing over aluminum fins attached to lower surface as shown. The device dissipates 5 W, and the thermal contact resistance between the lower surface of the device and the upper surface of the cooling fin asse

> An array of 16 silicon chips arranged in 2 rows is insulated at the bottom and cooled by air flowing in forced convection over the top. The array is located either with its long side or its short side facing the cooling air. If each chip is 10 mm* 10 mm

> A thin, flat plate is placed in an atmospheric pressure air stream that flows parallel to it at a velocity of 5 m/s. The temperature at the surface of the plate is maintained uniformly at 200°C, and that of the main air stream is 30°C. Calculate the temp

> A heat exchanger for heating liquid mercury is under development. The exchanger is visualized as a 15-cm-long and 0.3-m-wide flat plate. The plate is maintained at 70°C, and the mercury flows parallel to the short side at 15°C with

> For liquid metals with Prandtl numbers much less than unity, the hydrodynamic boundary layer is much thinner than the thermal boundary layer. As a result, one may assume that the velocity in the boundary layer is uniform / Starting with Eq. (5.7b)

> Air at 1000°C flows at an inlet velocity of 2 m/s between two parallel flat plates spaced 1 cm apart. Estimate the distance from the entrance to the point where the boundary layers meet.

> Evaluate the Nusselt number for flow over a sphere for the following conditions: / /

> Determine the rate of radiant heat emission in watts per square meter from a blackbody at (a) 150°C, (b) 600°C, and (c) 5700°C.

> Air at 20°C flows at 1 m/s between two parallel flat plates spaced 5 cm apart. Estimate the distance from the entrance to the point at which the hydrodynamic boundary layers meet.

> For flow over a slightly curved isothermal surface, the temperature distribution inside the boundary layer t can be approximated by the polynomial /where y is the distance normal to the surface. (a) By applying appropriate boun

> Experimental measurements of the temperature distribution during the flow of air at atmospheric pressure over the wing of an airplane indicate that the temperature distribution near the surface can be approximated by a linear equation: where a = a consta

> The average friction coefficient for flow over a 0.6-m long plate is 0.01. What is the value of the drag force in newtons per meter width of the plate for the following fluids: (a) air at 15°C, (b) steam at 100°C and atmospheric pressure, (c) water at

> Assuming a linear velocity distribution and a linear temperature distribution in the boundary layer over a flat plate, derive a relation between the thermal and hydrodynamic boundary layer thicknesses and the Prandtl number.

> Engine oil at 100°C flows over and parallel to a flat sur- face at a velocity of 3 m/s. Calculate the thickness of the hydrodynamic boundary layer at a distance 0.3 m from the leading edge of the surface.

> A journal bearing has a clearance of 0.5 mm. The journal has a diameter of 100 mm and rotates at 3600 rpm within the bearing. It is lubricated by an oil having a density of 800 kg/m3, a viscosity of 0.01 kg/m s, and a thermal conductivity of 0.14 W/m K.

> A journal bearing has a clearance of 0.5 mm. The journal has a diameter of 100 mm and rotates at 3600 rpm within the bearing. It is lubricated by an oil having a density of 800 kg/m3, a viscosity of 0.01 kg/m s, and a thermal conductivity of 0.14 W/m K.

> A journal bearing is idealized as a stationary flat plate and a moving flat plate that moves parallel to it. The space between the two plates is filled by an incompressible fluid. Consider such a bearing in which the stationary and moving plates are at 1

> When viscous dissipation is appreciable, conservation of energy [Eq. (5.6)] must take into account the rate at which mechanical energy is irreversibly converted to thermal energy due to viscous effects in the fluid. This gives rise to an additional term,

> Repeat Problem 1.25 but assume that the surface of the storage vessel has an absorbance (equal to the emittance) of 0.1. Then determine the rate of evaporation of the liquid oxygen in kilograms per second and pounds per hour, assuming that convection can

> Evaluate the Prandtl number from the following data: / kg/m s.

> Suppose that the graph below shows measured values of / for air in forced convection over a cylinder of diameter D, plotted on a logarithmic graph of / as a function of ReD Pr. Write an appropriate dimensionless correlation for the average Nusselt number

> The drag on an airplane wing in flight is known to be a function of the density of air () , the viscosity of air (() , the free-stream velocity (U() , a characteristic dimension of the wing (s), and the shear stress on the surface of th

> A turbine blade with a characteristic length of 1 m is cooled in an atmospheric pressure wind tunnel by air at 40°C with a velocity of 100 m/s. For a surface temperature of 500 K, the cooling rate is found to be 10,000 watts. Use these results

> The test data tabulated on the next page were reduced from measurements made to determine the heat trans- fer coefficient inside tubes at Reynolds numbers only slightly above transition and at relatively high Prandtl numbers (as associated with oils). Te

> The experimental data shown tabulated were obtained by passing n-butyl alcohol at a bulk temperature of 15°C over a heated flat plate 0.3-m long, 0.9-m wide, and with a surface temperature of 60°C. Correlate the experimental data us

> A series of tests in which water was heated while flowing through a 1-m-long electrically heated tube of 1.3-cm ID yielded the experimental pressure-drop data shown next. Isothermal pressure-drop data for the same tube are given below in terms of the dim

> The torque due to the frictional resistance of the oil film between a rotating shaft and its bearing is found to be dependent on the force F normal to the shaft, the speed of rotation N of the shaft, the dynamic viscosity m of the oil, and th

> Replot the data points of Fig. 5.9(b) on log-log paper and find an equation approximating the best correlation line. Compare your results with Fig. 5.10. Then suppose that steam at 1 atm and 100°C is flowing across a 5-cm-OD pipe at a velocity of 1 m/s.

> The convection equations relating the Nusselt, Reynolds, and Prandtl numbers can be rearranged to show that for gases the local heat transfer coefficient hc,x depends on the absolute temperature / This formulation is of the form / where n and C are

> A spherical vessel, 0.3 m in diameter, is located in a large room whose walls are at 27°C (see sketch). If the vessel is used to store liquid oxygen at 2183°C and both the surface of the storage vessel and the walls of the room are

> Experiments have been performed on the temperature distribution in a homogeneous long cylinder (0.1 m diameter, thermal conductivity of 0.2 W/m K) with uniform internal heat generation. By dimensional analysis, determine the relation between the steady-

> Evaluate the Reynolds number for flow over a tube from the following data: / /

> Using your results from Problem 4.8, find the heat flow at the base of the fin for the following conditions. Use a grid spacing of 0.5 cm.

> Develop the control volume difference equation for one-dimensional steady conduction in a fin with variable cross-sectional area A(x) and perimeter P(x). The heat transfer coefficient from the fin to ambient is a constant / and the fin tip is adiabatic.

> Solve the system of equations: by Jacobi and Gauss-Seidel iteration. Use as a convergence criterion Compare the rate of convergence for the two methods.

> Discuss the advantages and disadvantages of two methods for solving one-dimensional steady conduction problems.

> Determine the stability criterion for an explicit solution of three-dimensional transient conduction in a rectangular geometry.

> Derive the energy balance equation for a corner control volume in a three-dimensional steady conduction problem with heat generation in a rectangular coordinate system. Assume an adiabatic boundary condition and equal node spacing in all three dimensions

> Derive the control volume energy balance equation for three-dimensional transient conduction with heat generation in a rectangular coordinate system.

> Consider two-dimensional steady conduction near a curved boundary. Determine the difference equation for an appropriate control volume near the node (i, j). The boundary experiences convection heat transfer through a coefficient h to ambient temperature

> Two large parallel plates with surface conditions approximating those of a blackbody are maintained at 816°C and 260°C, respectively. Determine the rate of heat transfer by radiation between the plates in W/m2 and the radiative heat transfer coefficient

> A circumferential fin with a rectangular cross section is made of mild steel has an outer diameter of 3.7 cm OD, and a thickness of 0.3 cm. An array of these circular fins 5 are attached to a circular tube with an outer diameter of 2.5 cm as shown. Cooli

> Solve the set of difference equations derived in Problem 4.52, given the following values of the problem parameters: Determine the temperature distribution in the disk when the maximum temperature is 300°C.

> It has been proposed that a highly concentrating solar collector such as the one that follows can be used to process materials economically when it is desirable to heat the material surface rapidly without significantly heating the bulk. In one such proc

> Hot flue gases from a combustion furnace flow through a chimney, which is 7 m tall and has a hollow cylindrical cross section with inner diameter di = 30 cm and outer diameter do = 50 cm. The flue gases flow with an average temperature of Tg = 300°C and

> For the geometry shown in the sketch, determine the layout of nodes and control volumes. Provide a scale drawing showing the problem geometry overlaid with the nodes and control volumes. Explain how to derive the energy balance equation for all the bound

> For one-dimensional conduction, why are the boundary control volumes half the size of the interior control volumes?

> How would the results of Problem 4.47 be modified if the problem were not axisymmetric?

> Determine the appropriate difference equations for an axisymmetric, steady, spherical geometry with volumetric heat generation. Explain how to solve the equations.

> Determine the difference equations applicable at the centerline and at the surface of an axisymmetric cylindrical geometry with volumetric heat generation and convection boundary condition. Assume steady- state conditions.

> A steel billet is to be heat treated by immersion in a molten salt bath. The billet is 5 cm square and 1 m long. Prior to immersion in the bath, the billet is at a uniform temperature of 20°C, The bath is 600°C, and the heat transfer coefficient at the b

> Using the information in Problem 1.22, estimate the ambient air temperature that could cause frostbite on a calm day on the ski slopes.

> A long concrete beam is to undergo a thermal test to determine its loss of strength in the event of a building fire. The beam cross section is triangular as shown in the sketch. Initially, the beam is at a uniform temperature of 20°C. At the s

> Derive the stability criterion for an inside-corner boundary control volume for two-dimensional steady conduction when a convection boundary condition exists.

2.99

See Answer