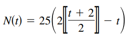
The number of units in inventory in a small company is given by

where t is the time in months. Sketch the graph of this function and discuss its continuity. How often must this company replenish its inventory?
> Use the alternative form of the derivative to find the derivative at x = c, if it exists. f(x) = (x − 6)2-3 , c = 6
> Use the alternative form of the derivative to find the derivative at x = c, if it exists. f(x) = 3/x, c = 4
> Use the alternative form of the derivative to find the derivative at x = c, if it exists. g(x) = √│x│, c = 0
> Use the alternative form of the derivative to find the derivative at x = c, if it exists. g(x) = x2 − x, c = 1
> Use the alternative form of the derivative to find the derivative at x = c, if it exists. f(x) = x3 + 2x2 + 1, c = −2
> Evaluate f (2) and f (2.1) and use the results to approximate f′(2). f(x) = 1/4x3
> Evaluate f (2) and f (2.1) and use the results to approximate f′(2). f(x) = x(4 − x)
> Consider the function f(x) = 1/3 x3. a. Use a graphing utility to graph the function and estimate the values of f′(0), f′( 1/2), f′(1), f′(2) and f′(3). b. Use your results from part (a) to determine the values of f′(−1/2), f′(−1), f′(−2) and f′(−3). c
> Consider the function f(x) = 1/2 x2. a. Use a graphing utility to graph the function and estimate the values of f′(0), f′( 1/2), f′(1), and f′(2). b. Use your results from part (a) to determine the values of f′(−1/2), f′(−1), and f′(−2). c. Sketch a po
> The figure shows the graph of g′. a. g’(0) = b. g’(3) = c. What can you conclude about the graph of g knowing that g′(1) = - 8/3? d. What can you conclude about the graph of g kn
> Find the slope of the tangent line to the graph of the function at the given point. g(x) = 3/2 x + 1, (-2, -2)
> Use a graphing utility to graph each function and its tangent lines at x = −1, x = 0, and x = 1. Based on the results, determine whether the slopes of tangent lines to the graph of a function at different values of x are always distinct. a. f(x) = x2 b.
> Find equations of the two tangent lines to the graph of f that pass through the indicated point. f(x) = x2
> Find equations of the two tangent lines to the graph of f that pass through the indicated point. f(x) = 4x − x2
> Identify a function f that has the given characteristics. Then sketch the function. f(0) = 4; f′(0) = 0; f′(x) < 0 for x < 0; f′(x) > 0 for x > 0
> Identify a function f that has the given characteristics. Then sketch the function. f(0) = 2; f′(x) = −3 for −∞ < x < ∞
> The limit represents f′(c) for a function f and a number c. Find f and c.
> The limit represents f′(c) for a function f and a number c. Find f and c.
> The limit represents f′(c) for a function f and a number c. Find f and c.
> The limit represents f′(c) for a function f and a number c. Find f and c.
> The tangent line to the graph of y = h(x) at the point (−1, 4) passes through the point (3, 6). Find h(−1) and h′(−1).
> Find the slope of the tangent line to the graph of the function at the given point. f(x) = 3 − 5x, (-1, 8)
> The tangent line to the graph of y = g(x) at the point (4, 5) passes through the point (7, 0). Find g(4) and g′(4).
> A function f is symmetric with respect to the origin. Is f′ necessarily symmetric with respect to the origin? Explain.
> Do f and f′ always have the same domain? Explain.
> Sketch a graph of a function whose derivative is zero at exactly two points. Explain how you found the answer.
> Sketch a graph of a function whose derivative is always negative. Explain how you found the answer.
> Describe the relationship between continuity and differentiability.
> Describe how to find the derivative of a function using the limit process.
> List four notation alternatives to f′(x).
> Describe how to find the slope of the tangent line to the graph of a function at a point.
> Determine all polynomials P(x) such that P(x2 + 1) = (P(x))2 + 1 and P(0) = 0.
> Prove or disprove: If x and y are real numbers with y ≥ 0 and y(y + 1) ≤ (x + 1)2, then y(y − 1) ≤ x2.
> Sketch the graph of f′. Explain how you found your answer.
> a. Let f1(x) and f2(x) be continuous on the closed interval [a, b]. If f1(a) < f2(a) and f1(b) > f2(b), prove that there exists c between a and b such that f1(c) = f2(c). b. Show that there exists c in [0, π/2] such that cos x = x. Use a graphing utility
> Discuss the continuity of the function h(x) = x[[x]].
> Prove that if then f is continuous at c.
> Let What is the domain of f? How can you define f at x = 0 in order for f to be continuous there?
> Prove that for any real number y there exists x in (−π/2, π/2) such that tan x = y.
> Find all values of c such that f is continuous on (−∞, ∞).
> A swimmer crosses a pool of width b by swimming in a straight line from (0, 0) to (2b, b). (See figure.) a. Let f be a function defined as the y-coordinate of the point on the long side of the pool that is nearest the swimmer at any given time during t
> The table lists the frequency F (in Hertz) of a musical note at various times t (in seconds). a. Plot the data and connect the points with a curve. b. Does there appear to be a limiting frequency of the note? Explain.
> The signum function is defined by Sketch a graph of sgn(x) and find the following (if possible).
> Show that the function is continuous only at x = 0. (Assume that k is any nonzero real number.)
> Sketch the graph of f′. Explain how you found your answer.
> Show that the Dirichlet function is not continuous at any real number.
> Prove that if f is continuous and has no zeros on [a, b], then either f(x) > 0 for all x in [a, b] or f(x) < 0 for all x in [a, b].
> Use the Intermediate Value Theorem to show that for all spheres with radii in the interval [5, 8], there is one with a volume of 1500 cubic centimeters.
> At 8:00 a.m. on Saturday, a man begins running up the side of a mountain to his weekend campsite (see figure). On Sunday morning at 8:00 a.m., he runs back down the mountain. It takes him 20 minutes to run up but only 10 minutes to run down. At some poin
> A cell phone service charges $10 for the first gigabyte (GB) of data used per month and $7.50 for each additional gigabyte or fraction thereof. The cost of the data plan is given by C(t) = 10 − 7.5 [[1 – t]], t > 0 where t is the amount of data used (in
> Every day you dissolve 28 ounces of chlorine in a swimming pool. The graph shows the amount of chlorine f(t) in the pool after t days. Estimate and interpret / and /
> Describe how the functions f(x) = 3 + [[x]] and g(x) = 3 – [[-x]] differ.
> Determine whether the statement is true or false. If it is false, explain why or give an example that shows it is false. The function f(x) = │x - 1│ / x – 1 is continuous on (-∞, ∞).
> Determine whether the statement is true or false. If it is false, explain why or give an example that shows it is false. A rational function can have infinitely many x-values at which it is not continuous.
> Sketch the graph of f′. Explain how you found your answer.
> Determine whether the statement is true or false. If it is false, explain why or give an example that shows it is false. The limit of the greatest integer function as x approaches 0 from the left is −1.
> Determine whether the statement is true or false. If it is false, explain why or give an example that shows it is false. The Intermediate Value Theorem guarantees that f(a) and f(b) differ in sign when a continuous function f has at least one zero on [a,
> Determine whether the statement is true or false. If it is false, explain why or give an example that shows it is false. If f(x) = g(x) for x ≠ c and f(c) ≠ g(c), then either f or g is not continuous at c.
> Determine whether the statement is true or false. If it is false, explain why or give an example that shows it is false.
> Describe the difference between a discontinuity that is removable and a discontinuity that is non-removable. Then give an example of a function that satisfies each description. a. A function with a non-removable discontinuity at x = 4 b. A function with
> If the functions f and g are continuous for all real x, is f + g always continuous for all real x? Is f / g always continuous for all real x? If either is not continuous, give an example to verify your conclusion.
> Sketch the graph of any function f such that Is the function continuous at x = 3? Explain.
> Write a function that is continuous on (a, b) but not continuous on [a, b].
> Verify that the Intermediate Value Theorem applies to the indicated interval and find the value of c guaranteed by the theorem. f(x) = x – x3 / x - 4, [1, 3], f(c) = 3
> Sketch the graph of f′. Explain how you found your answer.
> Verify that the Intermediate Value Theorem applies to the indicated interval and find the value of c guaranteed by the theorem. f(x) = ∛x + 8, [-9, -6], f(c) = 6
> Verify that the Intermediate Value Theorem applies to the indicated interval and find the value of c guaranteed by the theorem. f(x) = √x + 7 – 2, [0, 5], f(c) = 1
> Verify that the Intermediate Value Theorem applies to the indicated interval and find the value of c guaranteed by the theorem. f(x) = x2 - 6x + 8, [0, 3], f(c) = 0
> Verify that the Intermediate Value Theorem applies to the indicated interval and find the value of c guaranteed by the theorem. f(x) = x2 + x − 1, [0, 5], f(c) = 11
> Use the Intermediate Value Theorem and a graphing utility to approximate the zero of the function in the interval [0, 1]. Repeatedly “zoom in” on the graph of the function to approximate the zero accurate to two decimal places. Use the zero or root featu
> Use the Intermediate Value Theorem and a graphing utility to approximate the zero of the function in the interval [0, 1]. Repeatedly “zoom in” on the graph of the function to approximate the zero accurate to two decimal places. Use the zero or root featu
> Use the Intermediate Value Theorem and a graphing utility to approximate the zero of the function in the interval [0, 1]. Repeatedly “zoom in” on the graph of the function to approximate the zero accurate to two decimal places. Use the zero or root featu
> Use the Intermediate Value Theorem and a graphing utility to approximate the zero of the function in the interval [0, 1]. Repeatedly “zoom in” on the graph of the function to approximate the zero accurate to two decimal places. Use the zero or root featu
> Use the Intermediate Value Theorem and a graphing utility to approximate the zero of the function in the interval [0, 1]. Repeatedly “zoom in” on the graph of the function to approximate the zero accurate to two decimal places. Use the zero or root featu
> Use the Intermediate Value Theorem and a graphing utility to approximate the zero of the function in the interval [0, 1]. Repeatedly “zoom in” on the graph of the function to approximate the zero accurate to two decimal places. Use the zero or root featu
> Sketch the graph of f′. Explain how you found your answer.
> Insert the proper inequality symbol () between the given quantities. Identify or sketch each of the quantities on the figure. a. / b. /
> Explain why the function has at least two zeros in the interval [1, 5]. f(x) = 2 cos x
> Explain why the function has at least two zeros in the interval [1, 5]. f(x) = (x - 3)2 – 2
> Explain why the function has at least one zero in the given interval. Function: f(x) = -(5 / x) + tan - πx / 10 Interval: [1, 4]
> Explain why the function has at least one zero in the given interval. Function: f(x) = x2 – 2 - cos x Interval: [0, π]
> Explain why the function has at least one zero in the given interval. Function: f(x) = x3 + 5x - 3 Interval: [0, 1]
> Explain why the function has at least one zero in the given interval. Function: f(x) = 1/12 x4 – x3 + 4 Interval: [1, 2]
> Describe the interval(s) on which the function is continuous.
> Describe the interval(s) on which the function is continuous.
> Describe the interval(s) on which the function is continuous. f(x) = cos 1 / x
> Describe the interval(s) on which the function is continuous. f(x) = sec πx / 4
> Sketch the graph of f′. Explain how you found your answer.
> Describe the interval(s) on which the function is continuous. f(x) = x √x + 3
> Describe the interval(s) on which the function is continuous. f(x) = 3 - √x
> Describe the interval(s) on which the function is continuous. f(x) = x + 1 / √x
> Describe the interval(s) on which the function is continuous. f(x) = x / x2 + x + 2
> Use a graphing utility to graph the function. Use the graph to determine any x-values at which the function is not continuous.
> Use a graphing utility to graph the function. Use the graph to determine any x-values at which the function is not continuous.
> Use a graphing utility to graph the function. Use the graph to determine any x-values at which the function is not continuous.
> Use a graphing utility to graph the function. Use the graph to determine any x-values at which the function is not continuous. f(x) = [[x]] - x
> Discuss the continuity of the composite function h(x) = f(g(x)). f(x) = sin x g(x) = x2
> Discuss the continuity of the composite function h(x) = f(g(x)). f(x) = tan x g(x) = x / 2
> Find an equation of the line that is tangent to the graph of f and parallel to the given line. Function: f(x) = 1 / √x - 1 Line: x + 2y + 7 = 0
> Discuss the continuity of the composite function h(x) = f(g(x)). f(x) = 1 / √x g(x) = x - 1