2.99 See Answer

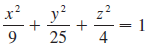
Question: Use traces to sketch and identify the

Use traces to sketch and identify the surface.
Use traces to sketch and identify the surface.





Transcribed Image Text:

y² 1 9 25 4. + +


> Identify and sketch the graph of each surface. 4x - y + 2z = 4

> Find a vector equation and parametric equations for the line. The line through the point (2, 2.4, 3.5) and parallel to the vector 3i + 2j - k

> Identify and sketch the graph of each surface. x2 = y2 + 4z2

> Identify and sketch the graph of each surface. y = z2

> If u and v are the vectors shown in the figure, find u ∙ v and |u × v |. Is u × v directed into the page or out of it? |v| = 3 45° |u|=2

> Identify and sketch the graph of each surface. x = z

> Identify and sketch the graph of each surface. x = 3

> Find the distance between the planes 3x + y - 4z = 2 and 3x + y - 4z = 24.

> The half-life of cesium-137 is 30 years. Suppose we have a 100-mg sample. (a) Find the mass that remains after t years. (b) How much of the sample remains after 100 years? (c) After how long will only 1 mg remain?

> (a). Show that the planes x + y - z = 1 and 2x - 3y + 4z = 5 are neither parallel nor perpendicular. (b). Find, correct to the nearest degree, the angle between these planes.

> Copy the vectors in the figure and use them to draw each of the following vectors. (a). a + b (b). a - b (c). 1 2 a (d). 2a + b a b

> Find an equation of the plane. The plane through (2, 1, 0) and parallel to x + 4y - 3z = 1

> Find an equation of the plane. The plane through the point (1, 1 2 , 1 3 ) and parallel to the plane x + y + z = 0

> Find parametric equations for the line. The line through (-2, 2, 4) and perpendicular to the plane 2x - y + 5z = 12

> Find parametric equations for the line. The line through (1, 0, -1) and parallel to the line 1 3 (x – 4) = 1 2 y = z + 2

> Find parametric equations for the line. The line through (4, -1, 2) and (1, 1, 5)

> Find the magnitude of the torque about P if a 50-N force is applied as shown. 50 N 30° 40 cm P

> A constant force F = 3i + 5j + 10k moves an object along the line segment from (1, 0, 2) to (5, 3, 8). Find the work done if the distance is measured in meters and the force in newtons.

> (a). Find a vector perpendicular to the plane through the points A (1, 0, 0), B (2, 0, -1), and C (1, 4, 3). (b). Find the area of triangle ABC.

> Given the points A (1, 0, 1), B (2, 3, 0), C (-1, 1, 4), and D (0, 3, 2), find the volume of the parallelepiped with adjacent edges AB, AC, and AD.

> Graphs of the position functions of two particles are shown, where t is measured in seconds. When is each particle speeding up? When is it slowing down? Explain. (a) SA (b) SA 1

> Describe and sketch the surface. z = sin y

> Describe and sketch the surface. xy = 1

> Find an equation of the plane. The plane through the point (1, -1, -1) and parallel to the plane 5x - y - z = 6

> Describe and sketch the surface. y = z2

> Graph the surfaces z = x2 + y2 and z = 1 - y2 on a common screen using the domain |x | < 1.2, |y | < 1.2 and observe the curve of intersection of these surfaces. Show that the projection of this curve onto the xy-plane is an ellipse.

> Describe and sketch the surface. z = 1 - y2

> Sketch the region bounded by the paraboloids z = x2 + y2 and z = 2 - x2 - y2.

> Use a computer with three-dimensional graphing software to graph the surface. Experiment with viewpoints and with domains for the variables until you get a good view of the surface. x2 - 6x + 4y2 – z = 0

> Use a computer with three-dimensional graphing software to graph the surface. Experiment with viewpoints and with domains for the variables until you get a good view of the surface. -4x2 - y2 + z2 = 0

> Use a computer with three-dimensional graphing software to graph the surface. Experiment with viewpoints and with domains for the variables until you get a good view of the surface. x2 - y2 - z = 0

> Graphs of the velocity functions of two particles are shown, where t is measured in seconds. When is each particle speeding up? When is it slowing down? Explain. (a) V수 (b) V수 이1 1 1

> Describe and sketch the surface. 4x2 + y2 = 4

> Determine whether the lines L1 and L2 are parallel, skew, or intersecting. If they intersect, find the point of intersection. L1: x = 5 - 12t, y = 3 + 9t, z = 1 - 3t L2: x = 3 + 8s, y = -6s, z = 7 + 2s

> Reduce the equation to one of the standard forms, classify the surface, and sketch it. 4x2 + y2 + z2 - 24x - 8y + 4z + 55 = 0

> Reduce the equation to one of the standard forms, classify the surface, and sketch it. x2 - y2 + z2 - 4x - 2z = 0

> Reduce the equation to one of the standard forms, classify the surface, and sketch it. y2 = x2 + 4z2 + 4

> Reduce the equation to one of the standard forms, classify the surface, and sketch it. x2 + 2y2 2z2 = 0

> Reduce the equation to one of the standard forms, classify the surface, and sketch it. 4x2 - y + 2z2 = 0

> Reduce the equation to one of the standard forms, classify the surface, and sketch it. y² = x² + §z²

> Describe and sketch the surface. x2 + z2 = 1

> Match the equation with its graph (labeled I&acirc;&#128;&#147;VIII). Give reasons for your choice. x2 + 2z2 = 1 ZA y х.

> A particle moves according to a law of motion s = f(t), t &acirc;&#137;&yen; 0, where t is measured in seconds and s in feet. (a) Find the velocity at time t. (b) What is the velocity after 1 second? (c) When is the particle at rest? (d) When is the part

> Find a vector equation and parametric equations for the line. The line through the point (6, -5, 2) and parallel to the vector 1, 3, − 2 3

> Match the equation with its graph (labeled I&acirc;&#128;&#147;VIII). Give reasons for your choice. y2 = x2 + 2z2 ZA y

> Match the equation with its graph (labeled I&acirc;&#128;&#147;VIII). Give reasons for your choice. 2x2 + y2 - z2 = 1 ZA y XA

> Match the equation with its graph (labeled I&acirc;&#128;&#147;VIII). Give reasons for your choice. x2 - y2 + z2 = 1 ZA y X.

> Match the equation with its graph (labeled I&acirc;&#128;&#147;VIII). Give reasons for your choice. 9x2 + 4y2 + z2 = 1 ZA y

> Match the equation with its graph (labeled I&acirc;&#128;&#147;VIII). Give reasons for your choice. x2 + 4y2 + 9z2 = 1 ZA y

> Find parametric equations and symmetric equations for the line. The line through the points (1, 2.4, 4.6) and (2.6, 1.2, 0.3)

> Find the distance between the given parallel planes. 2x - 3y + z = 4, 4x - 6y + 2z = 3

> Find the distance from the point to the given plane. (-6, 3, 5), x - 2y - 4z = 8

> Find the distance from the point to the given plane. (1, -2, 4), 3x + 2y + 6z = 5

> (a). Find symmetric equations for the line that passes through the point (1, -5, 6) and is parallel to the vector −1, 2, −3 . (b). Find the points in which the required line in part (a) intersects the coordinate planes.

> A particle moves according to a law of motion s = f(t), t &acirc;&#137;&yen; 0, where t is measured in seconds and s in feet. (a) Find the velocity at time t. (b) What is the velocity after 1 second? (c) When is the particle at rest? (d) When is the part

> Use the formula in Exercise 12.4.45 to find the distance from the point to the given line. (0, 1, 3); x = 2t, y = 6 - 2t, z = 3 + t Exercise 12.4.45: x b| |a| Ja x b| |a X d =

> Find parametric equations and symmetric equations for the line. The line through the points (0, 1 2 , 1) and (2, 1, -3)

> Use the formula in Exercise 12.4.45 to find the distance from the point to the given line. (4, 1, -2); x = 1 + t, y = 3 - 2t, z = 4 - 3t Exercise 12.4.45: x b| |a| Ja x b| |a X d =

> Find parametric equations and symmetric equations for the line. The line through the origin and the point (4, 3, -1)

> Determine whether the planes are parallel, perpendicular, or neither. If neither, find the angle between them. (Round to one decimal place.) 5x + 2y + 3z = 2, y = 4x - 6z

> Determine whether the planes are parallel, perpendicular, or neither. If neither, find the angle between them. (Round to one decimal place.) 2x - 3y = z, 4x = 3 + 6y + 2z

> (a) Estimate the area under the graph of f (x) = 1 + x2 from x = -1 to x = 2 using three rectangles and right endpoints. Then improve your estimate by using six rectangles. Sketch the curve and the approximating rectangles. (b) Repeat part (a) using left

> Determine whether the planes are parallel, perpendicular, or neither. If neither, find the angle between them. (Round to one decimal place.) x - y + 3z = 1, 3x + y - z = 2

> A curve passes through the point (0, 5) and has the property that the slope of the curve at every point P is twice the y-coordinate of P. What is the equation of the curve?

> (a) Estimate the area under the graph of f (x) = sin x from x = 0 to x = π/2 using four approximating rectangles and right endpoints. Sketch the graph and the rectangles. Is your estimate an underestimate or an overestimate? (b) Repeat part (a) using le

> (a) Estimate the area under the graph of f (x) = 1/x from x = 1 to x = 2 using four approximating rectangles and right endpoints. Sketch the graph and the rectangles. Is your estimate an underestimate or an overestimate? (b) Repeat part (a) using left en

> (a) Use six rectangles to find estimates of each type for the area under the given graph of f from x = 0 to x = 12. (i) L6 (sample points are left endpoints) (ii) R6 (sample points are right endpoints) (iii) M6 (sample points are midpoints) (b) Is L6 an

> (a) By reading values from the given graph of f, use five rectangles to find a lower estimate and an upper estimate for the area under the given graph of f from x = 0 to x = 10. In each case sketch the rectangles that you use. (b) Find new estimates usin

> Find the exact area under the cosine curve y = cos x from x = 0 to x = b, where 0 ≤ b ≤ π/2. (Use a computer algebra system both to evaluate the sum and compute the limit.) In particular, what is the area if b = π/2?

> Find the exact area of the region under the graph of y = e-x from 0 to 2 by using a computer algebra system to evaluate the sum and then the limit in Example 3(a). Compare your answer with the estimate obtained in Example 3(b). Example 3(a) &amp; 3(b):

> (a) Express the area under the curve y = x5 from 0 to 2 as a limit. (b) Use a computer algebra system to find the sum in your expression from part (a). (c) Evaluate the limit in part (a).

> Determine whether the planes are parallel, perpendicular, or neither. If neither, find the angle between them. (Round to one decimal place.) 9x - 3y + 6z = 2, 2y = 6x + 4z

> Dinosaur fossils are often dated by using an element other than carbon, such as potassium-40, that has a longer half-life (in this case, approximately 1.25 billion years). Suppose the minimum detectable amount is 0.1% and a dinosaur is dated with 40K to

> The table shows the number of people per day who died from SARS in Singapore at two-week intervals beginning on March 1, 2003. (a) By using an argument similar to that in Example 4, estimate the number of people who died of SARS in Singapore between Ma

> In someone infected with measles, the virus level N (measured in number of infected cells per mL of blood plasma) reaches a peak density at about t = 12 days (when a rash appears) and then decreases fairly rapidly as a result of immune response. The area

> Find the cosine of the angle between the planes x + y + z = 0 and x + 2y + 3z = 1.

> (a) Graph the function f (x) = x - 2 ln x 1 ≤ x ≤ 5 (b) Estimate the area under the graph of f using four approximating rectangles and taking the sample points to be (i) right endpoints and (ii) midpoints. In each case sketch the curve and the rectangles

> Find the length of the curve. r(t) = i + t2 j + t3 k, 0 < t < 1

> Find the length of the curve. r(t) = 2 t i + et j + e-t k, 0 < t < 1

> Find the length of the curve. r(t) = 〈21, t?, 불r3), 0<t<1

> Try to sketch by hand the curve of intersection of the parabolic cylinder y = x2 and the top half of the ellipsoid x2 + 4y2 + 4z2 = 16. Then find parametric equations for this curve and use these equations and a computer to graph the curve.

> Find, correct to four decimal places, the length of the curve of intersection of the cylinder 4x2 + y2 = 4 and the plane x + y + z = 2

> Graph the curve with parametric equations x = sin t, y = sin 2t, z = sin 3t. Find the total length of this curve correct to four decimal places.

> The rectifying plane of a curve at a point is the plane that contains the vectors T and B at that point. Find the rectifying plane of the curve r (t) = sin t i + cos t j + tan t k at the point ( 2 /2, 2 /2, 1).

> Find equations of the normal and osculating planes of the curve of intersection of the parabolic cylinders x = y2 and z = x2 at the point (1, 1, 1).

> Is there a point on the curve in Exercise 53 where the osculating plane is parallel to the plane x + y + z = 1? [Note: You will need a CAS for differentiating, for simplifying, and for computing a cross product.] Exercise 53: At what point on the curve

> At what point on the curve x = t 3, y = 3t, z = t4 is the normal plane parallel to the plane 6x + 6y - 8z = 1?

> Find equations of the osculating circles of the parabola y = 1 2 x2 at the points (0, 0) and (1, 1 2 ). Graph both osculating circles and the parabola on the same screen.

> Find equations of the osculating circles of the ellipse 9x2 + 4y2 = 36 at the points (2, 0) and (0, 3). Use a graphing calculator or computer to graph the ellipse and both osculating circles on the same screen.

> Find equations of the normal plane and osculating plane of the curve at the given point. x = ln t, y = 2t, z = t2; (0, 2, 1)

> Find the vectors T, N, and B, at the given point. r(t) = (cos t, sin t, In cos t), (1,0, 0)

> Consider the curvature at x = 0 for each member of the family of functions f (x) = ecx. For which members is k (0) largest?

> Two graphs, a and b, are shown. One is a curve y = f (x) and the other is the graph of its curvature function y = k (x). Identify each curve and explain your choices. y. a b

> Two graphs, a and b, are shown. One is a curve y = f (x) and the other is the graph of its curvature function y = k (x). Identify each curve and explain your choices. y b

> Plot the space curve and its curvature function k (t). Comment on how the curvature reflects the shape of the curve. r(t) = (te', e*, /Zt), -5<t<5

> Plot the space curve and its curvature function k (t). Comment on how the curvature reflects the shape of the curve. r(t) = (t – sin t, 1 – cos t, 4 cos(t/2)), 0<ts 87 %3D

> (a). Is the curvature of the curve C shown in the figure greater at P or at Q? Explain. (b). Estimate the curvature at P and at Q by sketching the osculating circles at those points. у. P

> At what point does the curve have maximum curvature? What happens to the curvature as x →∞ ? y = ln x

> Let&acirc;&#128;&#153;s consider the problem of designing a railroad track to make a smooth transition between sections of straight track. Existing track along the negative x-axis is to be joined smoothly to a track along the line y = 1 for x &gt; 1. (a)

> The DNA molecule has the shape of a double helix (see Figure 3 on page 850). The radius of each helix is about 10 angstroms (1 &Atilde;&#133; = 10-8 cm). Each helix rises about 34 &Atilde;&#133; during each complete turn, and there are about 2.9 &Atilde;

2.99

See Answer