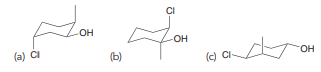
Draw the ring flip for each of the following compounds:

CI он -OH (a) CI (b) OH (c) CI
> The specific rotation of l-dopa in water (at 15°C) is −39.5. A chemist prepared a mixture of l-dopa and its enantiomer, and this mixture had a specific rotation of −37. Calculate the % ee of this mixture.
> Levetiracetam is used for the treatment of seizures in patients with epilepsy. For patients who have a hard time swallowing the needed pills twice daily, relief is in sight now that the FDA has granted approval for the use of rapidly dissolving, porous t
> When 1.30 g of menthol is dissolved in 5.00 mL of ether and placed in a sample cell 10.0 cm in length, the observed rotation at 20°C (using the D line of sodium) is +0.57°. Calculate the specific rotation of menthol.
> When 0.095 g of cholesterol is dissolved in 1.00 mL of ether and placed in a sample cell 10.0 cm in length, the observed rotation at 20°C (using the D line of sodium) is −2.99°. Calculate the specific rotation of cholesterol.
> When 0.575 g of monosodium glutamate (MSG) is dissolved in 10.0 mL of water and placed in a sample cell 10.0 cm in length, the observed rotation at 20°C (using the D line of sodium) is +1.47°. Calculate the specific rotation of MSG.
> In Chapter 24, we will see that amino acids (like the ones shown below) can be linked together to give short chains, called peptides, or longer chains (≈50–2000 amino acids linked together) called proteins. High-protei
> Each of the following compounds possesses carbon atoms that are chiral centers. Locate each of these chiral centers and identify the configuration of each one: он H Br .H он (a) (b) CI Br Ephedrine A bronchodilator and decongestant obtained from the
> Ixabepilone is a cytotoxic compound approved by the FDA in 2007 for the treatment of advanced breast cancer. Bristol-Myers Squibb is marketing this drug under the trade name Ixempra. Draw the enantiomer of this compound: OH .N. H OH Ixabepilone
> Draw the enantiomer of each of the following compounds: он но 'N HO HO OH Albuterol (sold under the trade name Ventolin) Propranolol A beta blocker used in the treatment of hypertension Oxybutynin (c) Used to treat urinary and bladder disorders A bro
> Compound A and compound B are constitutional isomers with the molecular formula C4H9Cl. Treatment of compound A with sodium methoxide gives trans-2-butene as the major product, while treatment of compound B with sodium methoxide gives a different disubst
> Do you expect the following compound to be chiral? Explain your answer (consider whether this compound is superimposable on its mirror image).
> Draw all constitutional isomers with the molecular formula C4H9Br and identify the isomer(s) that possess chiral centers.
> Identify all chiral centers in each of the following compounds: OH Но но. но OH Ascorbic acid (a) (vitamin C) (b) Vitamin Da OH но OH Mestranol Fexofenadine OH (c) An oral contraceptive (d) A nonsedating antihistamine
> Compound X and compound Y are constitutional isomers with the molecular formula C5H10. Compound X possesses a carbon-carbon double bond in the trans configuration, while compound Y possesses a carbon-carbon double bond that is not stereoisomeric: a. Ide
> Identify the number of stereoisomers that are possible for a compound with the following constitution: H2C=CHCH2CH2CH2CH=CH2.
> In the following compound, identify each C=C unit as cis, trans, or not stereoisomeric.
> The pKa of the most acidic CH2 group in each of the following compounds was measured in DMSO as solvent. Given the data above, determine which of the following two compounds (5 or 6) is more acidic by comparing the stability of the corresponding conjuga
> Crude extracts from the ginkgo tree, Ginkgo biloba, have been used for centuries to alleviate symptoms associated with asthma. There are four principal components of Ginkgo extracts, called ginkgolide A B, D, and M. During E. J. Corey’s
> Phakellin (3), a natural product isolated from marine organisms, has been studied for its potential use as an antibiotic agent. During studies aimed at developing a strategy for the synthesis of phakellin and its derivatives, compound 1 was investigated
> Aspernomine, a natural product isolated from the fungus Aspergillus nomius, was found to be an antiinsectan (it protects against predation by insects). a. Two of the six-membered rings are represented in chair conformations. Is the connection between th
> Compound A and compound B are constitutional isomers with the molecular formula C3H7Cl. When compound A is treated with sodium methoxide, a substitution reaction predominates. When compound B is treated with sodium methoxide, an elimination reaction pred
> The structural unit below has been incorporated into a synthetic polymer designed to mimic the skeletal muscle protein titin. In its most stable conformation (shown), it forms one intramolecular hydrogen bond and four intermolecular hydrogen bonds to an
> Consider the structures of cis-decalin and trans-decalin: a. Which of these compounds would you expect to be more stable? b. One of these two compounds is incapable of ring flipping. Identify it and explain your choice. H H. H cis-Decalin trans-Dec
> Consider the following tetra-substituted cyclohexane: a. Draw both chair conformations of this compound. b. Determine which conformation is more stable. c. At equilibrium, would you expect the compound to spend more than 95% of its time in the more st
> Determine whether the following compounds are constitutional isomers: H H. H3C CH CH H3C CH3 H
> Compare the three staggered conformations of ethylene glycol. The anti conformation of ethylene glycol is not the lowest energy conformation. The other two staggered conformations are actually lower in energy than the anti conformation. Suggest an explan
> Consider the structures of cis-1,2-dimethylcyclopropane and trans-1,2-dimethylcyclopropane: a. Which compound would you expect to be more stable? Explain your choice. b. Predict the difference in energy between these two compounds. A A
> For each pair of compounds below, determine whether they are identical compounds, constitutional isomers, or stereoisomers: CH,CH, CH CH, H. H,C- CH,CH, H CH,CH, (b) H (a) (c) (d) CH, CH, H H CH, CH, H CH, CH, (F) H CH, H CH, H (e) H CH, H. H H (g)
> trans-1,3-Dichlorocyclobutane has a measurable dipole moment. Explain why the individual dipole moments of the C−Cl bonds do not cancel each other to produce a zero net dipole moment. CI- trans-1,3-Dichlorocyclobutane
> Derivatives of griselimycin, a natural product isolated in the 1960s, are being investigated for the treatment of tuberculosis. For each of the highlighted substituents in the griselimycin derivative shown below, indicate the systematic name as well as t
> There are 18 constitutional isomers with the molecular formula C8H18. Without drawing all 18 isomers, determine how many of the isomers will have a parent name of heptane.
> Identify the major and minor product(s) that are expected for each of the following reactions. Br Br ? ? Naci NaOH DMSO (a) (b) Br ? I-BUOK DBN (c) (d) ? ? 1-BUOK NASH (e) (f) Br ? Br ? NaOH NaOE (g) (h) Br ? ? EIOH NaOH Heat (i) Br Br ? NaOMe NaOMe
> Below is the numbered skeleton of trans-decalin: Identify whether each of the following substituents would be in an equatorial position or an axial position: a. A group at the C-2 position, pointing UP b. A group at the C-3 position, pointing DOWN c.
> myo-Inositol is a polyol (a compound containing many OH groups) that serves as the structural basis for a number of secondary messengers in eukaryotic cells. Draw the more stable chair conformation of myo-inositol. OH но HO он HO,
> Consider the following two conformations of 2,3-dimethylbutane. For each of these conformations, use Table 4.6 to determine the total energy cost associated with all torsional strain and steric strain. CH, H- CH, H,C H CH3 CH H CH3 (a) (b) HCH, I I
> Rank the following conformations in order of increasing energy: Br Br Br Br Br H H Br H- H. Br H- H H. H YH HH Br
> Sketch an energy diagram showing a conformational analysis of 2,2,3,3-tetramethylbutane. Use Table 4.6 to determine the energy difference between staggered and eclipsed conformations of this compound.
> Glucose (a sugar) is produced by photosynthesis and is used by cells to store energy. Draw the most stable conformation of glucose: OH но, O. HO OH OH Glucose
> Draw a Newman projection of the following compound as viewed from the angle indicated: CI Br CI Br
> For each of the following pairs of compounds, determine which compound is more stable (you may find it helpful to draw out the chair conformations): (b) (c) (d)
> Draw both chair conformations for each of the following compounds. In each case, identify the more stable chair conformation: a. Methylcyclohexane b. trans-1,2-Diisopropylcyclohexane c. cis-1,3-Diisopropylcyclohexane d. trans-1,4-Diisopropylcyclohexa
> Menthol, isolated from various mint oils, is used in the treatment of minor throat irritation. Draw both chair conformations of menthol and indicate which conformation is lower in energy. он Menthol
> Identify whether each of the following reactions is expected to exhibit a primary isotope effect if (CD3)3CBr is used instead of (CH3)3CBr. Explain your reasoning in each case. Br Br, NaCEt EIOH (a) (b)
> The barrier to rotation of bromoethane is 15 kJ/mol. Based on this information, determine the energy cost associated with the eclipsing interaction between a bromine atom and a hydrogen atom.
> Assign IUPAC names for each of the following compounds: H H H- H. H ČH, H. H. (a) (b) H H CH3 CH, H- H- H- H- (c) (d) CH3
> Draw a bond-line structure for each of the following compounds: CH, H H CH, CH,CH3 CH - H. CH CH,CH3 H H- (a) (b) CH3 (c) H H
> In the following compound, identify the number of hydrogen atoms that occupy axial positions as well as the number of hydrogen atoms that occupy equatorial positions:
> Draw a relative energy diagram showing a conformational analysis of 1,2-dichloroethane. Clearly label all staggered conformations and all eclipsed conformations with the corresponding Newman projections.
> For each of the following pairs of compounds, identify the compound that would have the higher heat of combustion: (a) (b) (c) (d)
> What are the relative energy levels of the three staggered conformations of 2,3-dimethylbutane when looking down the C2−C3 bond?
> Sketch an energy diagram that shows a conformational analysis of 2,2-dimethylpropane. Does the shape of this energy diagram more closely resemble the shape of the energy diagram for ethane or for butane?
> Draw each of the following compounds: a. 2,2,4-Trimethylpentane b. 1,2,3,4-Tetramethylcycloheptane c. 2,2,4,4-Tetraethylbicyclo[1.1.0]butane
> For each pair of compounds below, identify which one is expected to undergo elimination more rapidly when treated with a strong base. Br CD Br Br. H Br D D D (a) D.C (b) D;C CD3 (c) D
> Identify which of the following compounds is expected to have the larger heat of combustion:
> Use a Newman projection to draw the most stable conformation of 3-methylpentane, looking down the C2−C3 bond.
> For each of the following pairs of compounds, identify whether the compounds are constitutional isomers or different representations of the same compound: (a) (b) (c)
> Provide a systematic name for each of the following compounds: (a) (b) (c) (d) (e) (g) (h) (1)
> Draw Haworth projections for cis-1,3-di-tert-butylcyclohexane and trans-1,3-di-tert-butylcyclohexane. One of these compounds exists in a chair conformation, while the other exists primarily in a twist boat conformation. Offer an explanation.
> Draw Haworth projections for cis-1,4-dimethylcyclohexane and trans-1,4-dimethylcyclohexane. Then for each compound, draw the two chair conformations. Use these conformations to determine whether the cis isomer or the trans isomer is more stable.
> Draw Haworth projections for cis-1,3-dimethylcyclohexane and trans-1,3-dimethylcyclohexane. Then, for each compound, draw the two chair conformations. Use these conformations to determine whether the cis isomer or the trans isomer is more stable.
> Compound A exists predominantly in a chair conformation, while compound B exists predominantly in a twist boat conformation. Explain. Compound A Compound B
> In Problem 4.29, you drew the two chair conformations of lindane. Carefully inspect them and predict the difference in energy between them, if any.
> Draw the lowest energy conformation for each of the following compounds: (a) (Ь) (c) "Ci (d) (e)
> The following tertiary alkyl halide was heated in ethanol for several days, and the resulting mixture of products contained five different elimination products and two substitution products: a. Draw the substitution products and identify the relationshi
> Lindane (hexachlorocyclohexane) is an agricultural insecticide that can also be used in the treatment of head lice. Draw both chair conformations of lindane. CI Cl. .CI CI Lindane
> Draw both conformations for each of the following compounds: Br Bre (b) (c) (d) (f) (h)
> The most stable conformation of 5-hydroxy-1,3-dioxane has the OH group in an axial position, rather than an equatorial position. Provide an explanation for this observation.
> The following disubstituted cyclohexane, drawn in a Newman projection, was shown to have moderate antiviral activity. a. As depicted above, is the adenine group (highlighted) occupying an axial or an equatorial position? Is the CH2OH group occupying an
> Draw both chair conformations for each of the following compounds: OH NH2 (a) (b) (c) (d) (e)
> (−)-Cassioside, an anti-ulcer agent isolated from the dried stem bark of Chinese cinnamon, contains two six-membered rings, one of which adopts a chair conformation as shown. a. Identify each group attached to the chair as being in an
> Practice drawing a chair conformation with all six axial positions and all six equatorial positions. Practice several times on a blank piece of paper. Repeat until you can draw all twelve positions without looking at the instructions above.
> Chemists have developed micron-sized, doughnut-shaped structures that might be used someday to deliver drugs across cell membranes. During a procedure to prepare such micronsized structures, dioxane (shown below) was found to be a crucial co-solvent, ens
> Practice drawing a chair several times using a blank piece of paper. Repeat the procedure until you can do it without looking at the instructions above. For each of your chairs, make sure that it contains three sets of parallel lines.
> The conformations of (+)-epichlorohydrin (1), viewed along the Ca−Cb bond, can be analyzed in exactly the same manner as the acyclic alkanes discussed in Chapter 4. a. Draw all staggered conformations for 1 viewed along this bond. b.
> Draw all of the expected products for each of the following solvolysis reactions: Br ? „X * ? EIOH heat heat CI (a) (b) Br ? MEOH MEOH heat heat (c) (d)
> In each case below, identify the highest and lowest energy conformations. In cases where two or three conformations are degenerate, draw only one as your answer. (a) (Ь) (c) (d)
> For each of the following compounds, predict the energy barrier to rotation (looking down any one of the C−C bonds). Draw a Newman projection and then compare the staggered and eclipsed conformations. Remember that we assigned 4 kJ/mol to each pair of ec
> Various Newman projections of the compound shown below were evaluated using computational methods to determine its most stable three-dimensional shape. We will be learning more about such conformational analysis in the next section. Provide an IUPAC name
> In each case below, draw a Newman projection as viewed from the angle indicated: Observer CI (a) Observer (b) Observer (c) (d) Observer CI (e) (f) Observer Observer Br
> As we will soon see in Section 4.5, gasoline is a complex mixture of alkanes and other hydrocarbons, and the term “octane rating” is used as a standard measure of the performance of engine fuel. In the petroleum industry, one area of interest is the use
> For each pair of compounds, identify whether they are constitutional isomers or two representations of the same compound: (a) (Ь) (c) (d)
> Vitamin D helps the body absorb calcium, iron, magnesium, phosphate, and zinc. Several compounds with the general structure below were synthesized and tested for their ability to mimic vitamin D activity. Naming this general structure requires nomenclatu
> Draw a bond-line structure for each of the following compounds: a. 2,2,3,3-Tetramethylbicyclo[2.2.1]heptane b. 8,8-Diethylbicyclo[3.2.1]octane c. 3-Isopropylbicyclo[3.2.0]heptane
> Name each of the following compounds: (a) (Ь) (c) (d) (e)
> When crude oil is distilled, the fraction collected in the boiling point range of 150–275°C is known as kerosene. Kerosene has a wide range of uses, from lamp oil to jet fuel, and scientists have been developing synthetic for
> Traditional medicines derived from the roots of nut-grass (Cyperus rotundus) have been used to treat a variety of ailments, including blood disorders and leprosy. Compound 2 is the active component in these medicines derived from nut-grass. One laborator
> Draw a bond-line drawing for each of the following compounds: a. 3-Isopropyl-2,4-dimethylpentane b. 4-Ethyl-2-methylhexane c. 1,1,2,2-Tetramethylcyclopropane
> Provide a systematic name for each of the following compounds: (a) (b) (c) (d) (e) (f) the (h) (i) () (k)
> Bile acids, such as compound 1, are made from cholesterol in the liver through a series of reactions that are catalyzed by enzymes. Compound 2 is an important intermediate in this pathway. Compound 2 has also been made from compound 1 by chemists who use
> For each of the following compounds, identify all groups that would be considered substituents and then indicate the systematic name as well as the common name for each substituent: (a) (Ь) (c) (d)
> The following compound is found in the urine of male mice and is believed to play a role both in attracting females and inducing aggression toward other males. Identify and name all substituents in this compound.
> For each of the following compounds, identify all groups that would be considered substituents and then indicate how you would name each substituent: (a) (b) (c)
> Under strongly acidic conditions, hexane is observed to undergo an isomerization process, during which it is converted into branched alkanes having the same molecular formula as hexane (C6H14). The rate at which each constitutional isomer is produced is
> Identify the two compounds below that have the same parent:
> Identify and name the parent in each of the following compounds: (a) (b) (c) (d) (e) (f) (g) (h) ()|
> The following compound belongs to a class of compounds, called estradiol derivatives, which show promise in the treatment of breast cancer: a. Determine the hybridization state of Ca, Cb, and Cc. b. Determine the H−Caâˆ
> Draw the expected products of the following solvolysis process: Br ? MEOH heat
> The formation of a variety of compounds called oxazolidinones is important for the synthesis of many different natural products and other compounds that have potential use as future medicines. One method for preparing oxazolidinones involves the conversi
> Phenalamide A2 belongs to a class of natural products that are of interest because of their antibiotic, antifungal, and antiviral activity. In the first total synthesis of this compound, the following boronate ester was utilized: a. Determine the hybri
> Compounds 1 and 2 were prepared, and the difference in their respective heats of combustion was found to be 17.2 kJ/mol. a. Redraw compounds 1 and 2 showing chair conformations for the six-membered rings. In each case, draw the lowest energy conformatio