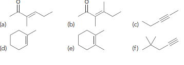
For each of the following compounds, determine whether or not you would expect its IR spectrum to exhibit a signal to the left of 3000 cmâ1:

- - (c) (b) (a) (f) (e) (d)
> Deduce the structure of a compound with the molecular formula C6H14O2 that exhibits the following IR, 1H NMR, and 13C NMR spectra: 100 80 60 40 20 4000 3500 3000 2500 2000 1500 1000 Wavenumber (cm1) Proton NMR 4.5 4.0 3.5 3.0 2.5 2.0 1.5 1.0 0.5 Chem
> Determine the structure of an alcohol with the molecular formula C6H14O that exhibits the following DEPT-135 spectrum: DEPT-135 70 60 50 40 30 20 10 Chemical Shift (ppm)
> Determine the structure of an alcohol with the molecular formula C4H10O that exhibits the following signals in its 13C NMR spectra: a. Broadband decoupled: 69.3 δ, 32.1 δ, 22.8 δ, and 10.0 δ b. DEPT-90: 69.3 δ c. DEPT-135: positive signals at 69.3 δ,
> Propose the structure of a compound consistent with the following data: a. C5H10O, broadband-decoupled 13C NMR: 7.1, 34.6, 210.5 δ b. C6H10O, broadband-decoupled 13C NMR: 70.8, 115.2, 134.8 δ
> Deduce the structure of a compound with the molecular formula C9H10O2 that produces the following 1H NMR spectrum and 13C NMR spectrum: Proton NMR 22 12 11 10 8 7 6 3 Chemical Shift (ppm) Carbon NMR 128.8- 128.4 -126.8 35.8- 30.7 179.9 140.4– 180 160
> Deduce the structure of a compound with the molecular formula C9H12 that produces the following 1H NMR spectrum: Proton NMR 8 7 5 3 Chemical Shift (ppm) 2.
> We saw a general rule that the two protons of a CH2 group will be chemically equivalent if there are no chiral centers in the compound. An example of an exception is 3-bromopentane. This compound does not possess a chiral center. Nevertheless, the two hi
> Propose the structure of a compound that exhibits the following 1H NMR data: a. C5H10O 1.09 δ (6H, doublet) 2.12 δ (3H, singlet) 2.58 δ (1H, septet) b. C5H12O 0.91 δ (3H, triplet) 1.19 δ (6H, singlet) 1.50 δ (2H, quartet) 2.24 δ (1H, singlet) c.
> A compound with the molecular formula C4H6O4 produces a broad signal between 2500 and 3600 cm−1 in its IR spectrum and produces two signals in its 1H NMR spectrum (a singlet at 12.1 ppm with a relative integration of 1 and a singlet at 2.4 ppm with a rel
> Rank each of the bonds identified in order of increasing wavenumber -0-H N-H он R-CEN
> Using any reagents of your choosing, show how you would convert tert-butyl alcohol into 2-methyl-1-propanol.
> All of the following compounds absorb IR radiation in the range between 1600 and 1850 cm−1. In each case, identify the specific bond(s) responsible for the absorption(s) and predict the approximate wavenumber of absorption for each of t
> Strigol is an important plant hormone that is released by crops such as rice and sugarcane. Unfortunately for these plants, strigol also activates the germination of any nearby witchweed seeds, resulting in the destruction of the crops by the parasitic w
> Identify which two compounds shown here have the same degree of unsaturation. C3H8O C3H5ClO2 C3H5NO2 C3H6
> Calculate the degree of unsaturation for each of the following molecular formulas: a. C6H10 b. C5H10O2 c. C5H9N d. C3H5ClO e. C10H20 f. C4H6Br2 g. C6H6 h. C2Cl6 i. C2H4O2 j. C100H200Cl2O16
> How would you distinguish between each pair of compounds in Problem 14.28 using IR spectroscopy?
> How would you distinguish between each pair of compounds using high-resolution mass spectrometry? он HO OH (a) (b)
> The following are mass spectra for the constitutional isomers ethylcyclohexane and 1,1-dimethylcyclohexane. Based on likely fragmentation patterns, match the compound with its spectrum. 100 80 60 - 20- 10 20 30 40 50 60 70 80 90 100 110 120 m/z 100 8
> Identify the expected base peak in the mass spectrum of 2,2,3-trimethylbutane. Draw the fragment associated with this peak and explain why the base peak results from this fragment.
> A compound with the molecular formula C3H8O produces a broad signal between 3200 and 3600 cm−1 in its IR spectrum and produces two signals in its 13C NMR spectrum. Deduce the structure of the compound.
> Identify two peaks that are expected to appear in the mass spectrum of 3-pentanol. For each peak, identify the fragment associated with the peak.
> Show at least two different methods for preparing 1-methylcyclohexene from 1-methylcyclohexanol.
> Acid-catalyzed hydration of 1-methylcyclohexene yields two alcohols. The major product does not undergo oxidation, while the minor product will undergo oxidation. Explain.
> Although 2,2-dimethylhexane has a molecular weight of 114, no peak is observed at m/z = 114. The base peak in the mass spectrum occurs at M−57. a. Draw the fragmentation responsible for formation of the M−57 ion. b. Explain why this cation is the most
> Below are mass spectra for four different compounds. Identify whether each of these compounds contains a bromine atom, a chlorine atom, or neither. 100 100 RO- 80- 60 60 - 40 40 20 20- 10 20 60 80 90 100 110 30 40 50 70 80 90 100 10 20 30 40 50 60 70
> In the mass spectrum of bromobenzene (Figure 14.27), the base peak appears at m/z = 77. a. Does this fragment contain Br? Explain your reasoning. b. Draw the cationic fragment that represents the base peak. From Figure 14.27: 100 Br B0 60- 40 20-
> Every time you stop to smell the roses, you are enjoying the odor of cis-rose oxide, a compound that also adds to the rich bouquet of wines. 1 In a mass spectrum of cis-rose oxide, the abundance of the (M)+• peak at m/z = 154 was 17.8%,
> Propose a molecular formula for a compound that exhibits the following peaks in its mass spectrum: a. (M)+• at m/z = 72, relative height = 38.3% of base peak (M+1)+• at m/z = 73, relative height = 1.7% of base peak b. (M) +• at m/z= 68, relative heigh
> For each of the following compounds, use the nitrogen rule to determine whether the molecular weight should be even or odd. Then calculate the expected m/z value for the molecular ion. (a) (b) (c) (d)
> How would you distinguish between each pair of compounds using mass spectrometry? (a) (b)
> When 1-chlorobutane is treated with sodium hydroxide, two products are formed. Identify the two products and explain how these products could be distinguished using IR spectroscopy
> Cyclopentanone was treated with lithium aluminum hydride followed by H3O+. Explain what you would look for in the IR spectrum of the product to verify that the expected reaction had occurred. Identify which signal should be present and which signal shoul
> 55. What is the major product of the following reaction? 56. Determine which of the following reactions is expected to be thermodynamically favorable: a. I, II, III, and IV b. Only I, II, and III c. Only III d. Only II and III 57. Which of the fol
> Propose an efficient synthesis for each of the following transformations: H. (a) H. (b) (c) H. (d) он (e) (f) он он OH (1) H. (k) (1) но. (m) (n) OH (0) of Br OH
> In Chapter 20, we will explore how nitriles can be converted into carboxylic acids. How would you use IR spectroscopy to monitor the progress of this reaction? -CEN R A nitrile R HO. A carboxylic acid
> Describe how IR spectroscopy might be used to monitor the progress of each of the following reactions: H2 Na, Cr,0, H,SO, H,0 Lindlar's (a) OH HO. (Ь) catalyst Na NH3 H2 Ni (c) (d)
> Chrysanthemic acid is isolated from chrysanthemum flowers. The IR spectrum of chrysanthemic acid exhibits five signals above 1500 cm−1. Identify the source for each of these signals. OH (+HHrans-Chrysanthemis acid
> Match each compound with the appropriate IR spectrum: OH Но `NH2 100 100 4000 3500 3000 2500 2000 1500 1000 4000 3500 3000 2500 2000 1500 1000 (a) Wavenumber (cm1) (b) Wavenumber (cm1) % Transmittance % Transmittance 100 100 80 80 60 60 40 20- 20
> Carefully consider the structure of 2,3-dimethyl-2-butene. There are twelve Csp3−H bonds, and they are all identical. Nevertheless, there is more than one signal just to the right of 3000 cm−1 in the IR spectrum of this compound. Can you offer an explana
> For each of the following IR spectra, determine whether it is consistent with the structure of a ketone, an alcohol, a carboxylic acid, a primary amine, or a secondary amine: 100 60 40- 20- 4000 3500 3000 2500 2000 1500 1000 (a) Wavenumber (cm")
> For each of the following IR spectra, identify whether it is consistent with the structure of an alcohol, a carboxylic acid, or neither: 100- 80. 60- 40- 20- 0. 4000 2500 1500 3500 3000 2000 1000 (a) Wavenumber (cm ") % Transmittance
> As explained previously, the concentration of an alcohol can be selected such that both a broad signal and a narrow signal appear simultaneously. In such cases, the broad signal is always to the right of the narrow signal, never to the left. Explain.
> trans-2-Butene does not exhibit a signal in the double-bond region of the spectrum (1600–1850 cm−1); however, IR spectroscopy is still helpful in identifying the presence of the double bond. Identify the other signal that would indicate the presence of a
> The C=C bond in 2-cyclohexenone produces an unusually strong signal. Explain using resonance structures.
> Identify reagents that can be used to accomplish each of the transformations shown here: H. Br
> A compound with the molecular formula C8H10 produces three signals in its 13C NMR spectrum and only two signals in its 1H NMR spectrum. Deduce the structure of the compound.
> For each pair of compounds, determine which C=C bond will produce a stronger signal. CI (a) CI (b)
> Compare the wavenumber of absorption for the following two C=C bonds. Use resonance structures to explain why the C=C bond in the conjugated compound produces a signal at lower wavenumber. 1650 cm 1600 cm
> Each of the following compounds contains two carbonyl groups. Identify which carbonyl group will exhibit a signal at lower wavenumber. (a) (b) (c)
> For each of the following compounds, rank the highlighted bonds in terms of increasing wavenumber: H. (a) (b) H.
> Propose a plausible mechanism for the following reaction: Br OH
> Phospholipids are a class of compounds largely responsible for the bilayer structure of cell membranes of plants and animals (discussed in Chapter 26). The phospholipid shown here has two unbranched hydrocarbon chains, one of which contains an alkene gro
> The IR spectrum of a dilute solution of compound 1 (in CS2) exhibits a signal at 3617 cm−1, while the IR spectrum of a dilute solution of compound 2 exhibits a signal at 3594 cm−1. a. Explain why the latter signal app
> Pinolenic acid (C17H29CO2H) is an unbranched carboxylic acid with three cis alkene groups. It is found in pine nuts and is sometimes used in weight loss regimens as a hunger suppressant. Not every mass spectrometry technique requires ionization through e
> Consider the structures of 2-nitrophenol and 3-nitrophenol. These compounds have very different pKa values. Predict which one has the lower pKa and explain why. (Hint: In order to solve this problem, you must draw the structure of each nitro group.)
> The following electrophile-induced, ether transfer reaction was utilized in the synthesis of several structurally related natural products. Provide a plausible mechanism for this transformation. OMe SPh 1)L OMe 2) PHSH, Et,N Ph. Ph.
> A compound with the molecular formula C13H28 exhibits a 1H NMR spectrum with two signals: a septet with an integration of 1 and a doublet with an integration of 6. Deduce the structure of this compound.
> Oxymercuration-demercuration of compound 1 affords the expected hydration product 2 in 96% yield. In contrast, oxymercuration-demercuration of compound 3 results in only a minor amount of the normal hydration product. Instead, compounds 7 and 8 are forme
> Compound 1 contains a tetrazole ring (a ring containing four nitrogen atoms), while its constitutional isomer, compound 2, exhibits an azido group (—N3). Compounds 1 and 2 rapidly interconvert, and IR spectroscopy provides evidence that
> Myosmine can be isolated from tobacco, along with several other structurally similar compounds, including nicotine. The originally accepted structure for myosmine was disproven with IR spectroscopy: a. Explain why the IR spectrum is not consistent with
> The following two isomers were each subjected to mass spectrometric analysis. Some of the significant peaks from each of the two spectra are presented below. Match each isomer (A, B) to its corresponding mass spectrometry data (X, Y) and provide structur
> Compound A exists in equilibrium with its tautomeric form, compound B. An IR spectrum4 of a mixture of A and B exhibits four signals in the region 1600–1850 cm−1. These signals appear at 1620, 1660, 1720, and 1740 cm&a
> The following is the proposed structure of a blue fabric dye, based on high-resolution mass spectrometry data. The reported method employed a pulsed laser to desorb dye molecules directly from a sample of dyed fabric. These molecules then entered a high-
> Draw the expected isotope pattern that would be observed in the mass spectrum of CH2BrCl. In other words, predict the relative heights of the peaks at M, M+2, and M+4.
> Treating 1,2-cyclohexanediol with concentrated sulfuric acid yields a product with the molecular formula C6H10O. An IR spectrum of the product exhibits a strong signal at 1720 cm−1. Identify the structure of the product and show a mechanism for its forma
> Consider the following sequence of reactions and identify suitable reagents for a–h: он TH. b OH d но, Br он H. h
> Esters contain two C−O bonds and therefore will produce two separate stretching signals in the fingerprint region of an IR spectrum. One of these signals typically appears at approximately 1000 cm−1, while the other appears at approximately 1300 cm−1. Pr
> Predict the expected isotope pattern in the mass spectrum of a compound with the molecular formula C90H180Br2.
> Assuming a 300-MHz instrument is used, calculate the difference between the frequency of absorption (in hertz) of TMS and the frequency of absorption of a proton with a δ value of 1.2 ppm.
> Ephedrine is a bronchodilator and decongestant obtained from the Chinese plant Ephedra sinica. A concentrated solution of ephedrine gives an IR spectrum with a broad signal between 3200 and 3600 cm−1. An IR spectrum of a dil
> Chloramphenicol is an antibiotic agent isolated from the Streptomyces venezuelae bacterium. Predict the expected isotope pattern in the mass spectrum of this compound (the relative heights of the molecular ion peak and surrounding peaks). он OH O,N C
> There are four isomers with the molecular formula C4H9Cl. Only one of these isomers (compound A) has a chiral center. When compound A is treated with sodium ethoxide, three products are formed: compounds B, C, and D. Compounds B and C are diastereomers,
> There are five constitutional isomers with the molecular formula C4H8. One of the isomers exhibits a particularly strong signal at M−15 in its mass spectrum. Identify this isomer and explain why the signal at M−15 is so strong.
> Consider the following sequence of reactions: a. Explain how you could use IR spectroscopy to differentiate between compounds F and G. b. Explain how you could use IR spectroscopy to differentiate between compounds D and E. c. If you wanted to disting
> The following are IR and mass spectra of an unknown compound. Propose at least two possible structures for the unknown compound. 100 4000 3500 3000 2500 2000 1500 1000 500 Wavenumber (cm) % Transmittance 100 80 60 40 20 10 20 30 40 50 60 70 80 m/z R
> The following are IR and mass spectra of an unknown compound. Propose at least two possible structures for the unknown compound. 100 80- 40- 20- of 4000 3500 3000 2500 2000 1500 1000 Wavenumber (cm) % Transmittance 100 80 10 20 30 40 50 60 70 80 90
> Draw a mechanism and predict the product for the following reaction. In this case, H3O+ must be used as a proton source instead of water. Explain why. 1) xs MeMgBr 2) H,0
> Draw the structure of a compound with the molecular formula C4H6 that exhibits a signal at 2200 cm−1 in its IR spectrum.
> Propose all possible structures for a compound with the molecular formula C4H8O that exhibits a broad signal between 3200 and 3600 cm−1 in its IR spectrum and does not contain any signals between 1600 and 1850 cm−1.
> Propose all possible structures for a compound with the molecular formula C4H8O that exhibits a signal at 1720 cm−1 in its IR spectrum.
> Compare the structures of ethylene, acetylene, and benzene. Each of these compounds produces only one signal in its 1H NMR spectrum. Arrange these signals in order of increasing chemical shift. н н H H H-=-H H H
> While13C is the main contributor to the (M+1)+• peak, there are many other elements that can also contribute to the (M+1)+• peak. For example, there are two naturally occurring isotopes of nitrogen. The most abundant isotope, 14N, represents 99.63% of al
> A dilute solution of 1,3-pentanediol does not produce the characteristic IR signal for a dilute alcohol. Rather, it produces a signal that is characteristic of a concentrated alcohol. Explain.
> Explain how you would use IR spectroscopy to distinguish between 1-bromo-3-methyl-2-butene and 2-bromo-3-methyl-2-butene.
> Limonene is a hydrocarbon found in the peels of lemons and contributes significantly to the smell of lemons. Limonene has a molecular ion peak at m/z = 136 in its mass spectrum, and it has two double bonds and one ring in its structure. What is the molec
> Propose two possible structures for a compound with the molecular formula C5H8 that produces an IR signal at 3300 cm−1.
> Calculate the HDI for each molecular formula. a. C4H6 b. C5H8 c. C40H78 d. C72H74 e. C6H6O2 f. C7H9NO2 g. C8H10N2O h. C5H7Cl3 i. C6H5Br j. C6H12O6
> Draw a mechanism and predict the major product of the following reaction: ? 1) Excess LIAIH, 2) H,0
> The following is a mass spectrum of octane. a. Which peak represents the molecular ion? b. Which peak is the base peak? c. Draw the structure of the fragment that produces the base peak. 100 80 60 40 20 - 0+ 10 20 30 40 50 60 70 B0 90 100 110 miz
> Propose a molecular formula that fits the following data: a. A hydrocarbon (CxHy) with a molecular ion peak at m/z = 66. b. A compound that absorbs IR radiation at 1720 cm−1 and exhibits a molecular ion peak at m/z = 70.
> When treated with a strong base, 2-bromo-2,3-dimethylbutane will undergo an elimination reaction to produce two products. The choice of base (ethoxide vs. tert-butoxide) will determine which of the two products predominates. Draw both products and determ
> The mass spectrum of 2-bromopentane shows many fragments. a. A fragment appears at M−15. Would you expect a signal at M−13 that is equal in height to the M−15 peak? Explain. b. One fragment appears at M−29. Would you expect a signal at M−27 that is equ
> How many signals are expected in the 1H NMR spectrum of each of the following compounds? (a) (Ь) (c) (d) (e) NO2 CI (g) (h)
> The mass spectrum of 1-ethyl-1-methylcyclohexane shows many fragments, with two in very large abundance. One appears at m/z = 111 and the other appears at m/z = 97. Identify the structure of each of these fragments.
> Compare the structures of cyclohexane and 2-methyl-2-pentene. a. What is the molecular formula of each compound? b. What is the HDI of each compound? c. Can high-resolution mass spectrometry be used to distinguish between these compounds? Explain. d
> The sex attractant of the codling moth gives an IR spectrum with a broad signal between 3200 and 3600 cm−1 and two signals between 1600 and 1700 cm−1. In the mass spectrum of this compound, the molecular ion peak appears at m/z = 196, and the relative ab
> Match each compound with the appropriate spectrum. Br „NH2 OH 100 80 60 40 20- المسلسلېسلب.ل 10 20 30 40 50 60 70 B0 90 (a) m/z Relative Intensity 100- 80 60 40 20- 10 20 30 40 50 60 70 B0 90 100 110 (b) m/z Relative Intensity 100 80 60 40 10 20
> The mass spectrum of an unknown hydrocarbon exhibits an (M+1)+• peak that is 10% as tall as the molecular ion peak. Identify the number of carbon atoms in the unknown compound.
> For each pair of compounds, identify how you would distinguish them using either 1H NMR spectroscopy or 13C NMR spectroscopy: (a) 人人 F (b) C CI он (c) (d)
> Propose a molecular formula for a compound that has one degree of unsaturation and a mass spectrum that displays a molecular ion signal at m/z = 86.