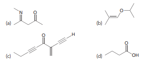
Identify the signals you would expect in the diagnostic region of the IR spectrum for each of the following compounds:

(a) (b) (c) (d) он
> Pinolenic acid (C17H29CO2H) is an unbranched carboxylic acid with three cis alkene groups. It is found in pine nuts and is sometimes used in weight loss regimens as a hunger suppressant. Not every mass spectrometry technique requires ionization through e
> Consider the structures of 2-nitrophenol and 3-nitrophenol. These compounds have very different pKa values. Predict which one has the lower pKa and explain why. (Hint: In order to solve this problem, you must draw the structure of each nitro group.)
> The following electrophile-induced, ether transfer reaction was utilized in the synthesis of several structurally related natural products. Provide a plausible mechanism for this transformation. OMe SPh 1)L OMe 2) PHSH, Et,N Ph. Ph.
> A compound with the molecular formula C13H28 exhibits a 1H NMR spectrum with two signals: a septet with an integration of 1 and a doublet with an integration of 6. Deduce the structure of this compound.
> Oxymercuration-demercuration of compound 1 affords the expected hydration product 2 in 96% yield. In contrast, oxymercuration-demercuration of compound 3 results in only a minor amount of the normal hydration product. Instead, compounds 7 and 8 are forme
> Compound 1 contains a tetrazole ring (a ring containing four nitrogen atoms), while its constitutional isomer, compound 2, exhibits an azido group (—N3). Compounds 1 and 2 rapidly interconvert, and IR spectroscopy provides evidence that
> Myosmine can be isolated from tobacco, along with several other structurally similar compounds, including nicotine. The originally accepted structure for myosmine was disproven with IR spectroscopy: a. Explain why the IR spectrum is not consistent with
> The following two isomers were each subjected to mass spectrometric analysis. Some of the significant peaks from each of the two spectra are presented below. Match each isomer (A, B) to its corresponding mass spectrometry data (X, Y) and provide structur
> Compound A exists in equilibrium with its tautomeric form, compound B. An IR spectrum4 of a mixture of A and B exhibits four signals in the region 1600–1850 cm−1. These signals appear at 1620, 1660, 1720, and 1740 cm&a
> The following is the proposed structure of a blue fabric dye, based on high-resolution mass spectrometry data. The reported method employed a pulsed laser to desorb dye molecules directly from a sample of dyed fabric. These molecules then entered a high-
> Draw the expected isotope pattern that would be observed in the mass spectrum of CH2BrCl. In other words, predict the relative heights of the peaks at M, M+2, and M+4.
> Treating 1,2-cyclohexanediol with concentrated sulfuric acid yields a product with the molecular formula C6H10O. An IR spectrum of the product exhibits a strong signal at 1720 cm−1. Identify the structure of the product and show a mechanism for its forma
> Consider the following sequence of reactions and identify suitable reagents for a–h: он TH. b OH d но, Br он H. h
> Esters contain two C−O bonds and therefore will produce two separate stretching signals in the fingerprint region of an IR spectrum. One of these signals typically appears at approximately 1000 cm−1, while the other appears at approximately 1300 cm−1. Pr
> Predict the expected isotope pattern in the mass spectrum of a compound with the molecular formula C90H180Br2.
> Assuming a 300-MHz instrument is used, calculate the difference between the frequency of absorption (in hertz) of TMS and the frequency of absorption of a proton with a δ value of 1.2 ppm.
> Ephedrine is a bronchodilator and decongestant obtained from the Chinese plant Ephedra sinica. A concentrated solution of ephedrine gives an IR spectrum with a broad signal between 3200 and 3600 cm−1. An IR spectrum of a dil
> Chloramphenicol is an antibiotic agent isolated from the Streptomyces venezuelae bacterium. Predict the expected isotope pattern in the mass spectrum of this compound (the relative heights of the molecular ion peak and surrounding peaks). он OH O,N C
> There are four isomers with the molecular formula C4H9Cl. Only one of these isomers (compound A) has a chiral center. When compound A is treated with sodium ethoxide, three products are formed: compounds B, C, and D. Compounds B and C are diastereomers,
> There are five constitutional isomers with the molecular formula C4H8. One of the isomers exhibits a particularly strong signal at M−15 in its mass spectrum. Identify this isomer and explain why the signal at M−15 is so strong.
> Consider the following sequence of reactions: a. Explain how you could use IR spectroscopy to differentiate between compounds F and G. b. Explain how you could use IR spectroscopy to differentiate between compounds D and E. c. If you wanted to disting
> The following are IR and mass spectra of an unknown compound. Propose at least two possible structures for the unknown compound. 100 4000 3500 3000 2500 2000 1500 1000 500 Wavenumber (cm) % Transmittance 100 80 60 40 20 10 20 30 40 50 60 70 80 m/z R
> The following are IR and mass spectra of an unknown compound. Propose at least two possible structures for the unknown compound. 100 80- 40- 20- of 4000 3500 3000 2500 2000 1500 1000 Wavenumber (cm) % Transmittance 100 80 10 20 30 40 50 60 70 80 90
> Draw a mechanism and predict the product for the following reaction. In this case, H3O+ must be used as a proton source instead of water. Explain why. 1) xs MeMgBr 2) H,0
> Draw the structure of a compound with the molecular formula C4H6 that exhibits a signal at 2200 cm−1 in its IR spectrum.
> Propose all possible structures for a compound with the molecular formula C4H8O that exhibits a broad signal between 3200 and 3600 cm−1 in its IR spectrum and does not contain any signals between 1600 and 1850 cm−1.
> Propose all possible structures for a compound with the molecular formula C4H8O that exhibits a signal at 1720 cm−1 in its IR spectrum.
> Compare the structures of ethylene, acetylene, and benzene. Each of these compounds produces only one signal in its 1H NMR spectrum. Arrange these signals in order of increasing chemical shift. н н H H H-=-H H H
> While13C is the main contributor to the (M+1)+• peak, there are many other elements that can also contribute to the (M+1)+• peak. For example, there are two naturally occurring isotopes of nitrogen. The most abundant isotope, 14N, represents 99.63% of al
> A dilute solution of 1,3-pentanediol does not produce the characteristic IR signal for a dilute alcohol. Rather, it produces a signal that is characteristic of a concentrated alcohol. Explain.
> Explain how you would use IR spectroscopy to distinguish between 1-bromo-3-methyl-2-butene and 2-bromo-3-methyl-2-butene.
> Limonene is a hydrocarbon found in the peels of lemons and contributes significantly to the smell of lemons. Limonene has a molecular ion peak at m/z = 136 in its mass spectrum, and it has two double bonds and one ring in its structure. What is the molec
> Propose two possible structures for a compound with the molecular formula C5H8 that produces an IR signal at 3300 cm−1.
> Calculate the HDI for each molecular formula. a. C4H6 b. C5H8 c. C40H78 d. C72H74 e. C6H6O2 f. C7H9NO2 g. C8H10N2O h. C5H7Cl3 i. C6H5Br j. C6H12O6
> Draw a mechanism and predict the major product of the following reaction: ? 1) Excess LIAIH, 2) H,0
> The following is a mass spectrum of octane. a. Which peak represents the molecular ion? b. Which peak is the base peak? c. Draw the structure of the fragment that produces the base peak. 100 80 60 40 20 - 0+ 10 20 30 40 50 60 70 B0 90 100 110 miz
> Propose a molecular formula that fits the following data: a. A hydrocarbon (CxHy) with a molecular ion peak at m/z = 66. b. A compound that absorbs IR radiation at 1720 cm−1 and exhibits a molecular ion peak at m/z = 70.
> When treated with a strong base, 2-bromo-2,3-dimethylbutane will undergo an elimination reaction to produce two products. The choice of base (ethoxide vs. tert-butoxide) will determine which of the two products predominates. Draw both products and determ
> The mass spectrum of 2-bromopentane shows many fragments. a. A fragment appears at M−15. Would you expect a signal at M−13 that is equal in height to the M−15 peak? Explain. b. One fragment appears at M−29. Would you expect a signal at M−27 that is equ
> How many signals are expected in the 1H NMR spectrum of each of the following compounds? (a) (Ь) (c) (d) (e) NO2 CI (g) (h)
> The mass spectrum of 1-ethyl-1-methylcyclohexane shows many fragments, with two in very large abundance. One appears at m/z = 111 and the other appears at m/z = 97. Identify the structure of each of these fragments.
> Compare the structures of cyclohexane and 2-methyl-2-pentene. a. What is the molecular formula of each compound? b. What is the HDI of each compound? c. Can high-resolution mass spectrometry be used to distinguish between these compounds? Explain. d
> The sex attractant of the codling moth gives an IR spectrum with a broad signal between 3200 and 3600 cm−1 and two signals between 1600 and 1700 cm−1. In the mass spectrum of this compound, the molecular ion peak appears at m/z = 196, and the relative ab
> Match each compound with the appropriate spectrum. Br „NH2 OH 100 80 60 40 20- المسلسلېسلب.ل 10 20 30 40 50 60 70 B0 90 (a) m/z Relative Intensity 100- 80 60 40 20- 10 20 30 40 50 60 70 B0 90 100 110 (b) m/z Relative Intensity 100 80 60 40 10 20
> The mass spectrum of an unknown hydrocarbon exhibits an (M+1)+• peak that is 10% as tall as the molecular ion peak. Identify the number of carbon atoms in the unknown compound.
> For each pair of compounds, identify how you would distinguish them using either 1H NMR spectroscopy or 13C NMR spectroscopy: (a) 人人 F (b) C CI он (c) (d)
> Propose a molecular formula for a compound that has one degree of unsaturation and a mass spectrum that displays a molecular ion signal at m/z = 86.
> Identify the characteristic signals that you would expect in the diagnostic region of an IR spectrum of each of the following compounds: (a) (b) он (c) (d) (e) OH (f)
> Identify how IR spectroscopy might be used to monitor the progress of each of the following reactions: OH (a) (b) RCO,H (c) 1) O3 2) DMS H H. (d) Br -BUOK (e)
> Identify the reagents necessary to accomplish each of the following transformations: a
> When 1-methylcyclohexene is treated with HCl, a Markovnikov addition is observed. How would you use 1H NMR spectroscopy to determine that the major product is indeed the Markovnikov product?
> Identify the number of signals expected in the 1 H NMR spectrum of each of the following compounds: OMe MeO (a) (b) (c) (d) .CI Br (e) Me (f) (g) (h) (i) Br Br (G) (k) (1)
> Methylmagnesium bromide reacts rapidly with ethylene oxide, it reacts slowly with oxetane, and it does not react at all with tetrahydrofuran. Explain this difference in reactivity. Ethylene oxide Oxetane Tetrahydrofuran (THF)
> When ethylene glycol is treated with sulfuric acid, 1,4-dioxane is obtained. Propose a mechanism for this transformation: он H,SO, но Ethylene glycol 1,4-Dioxane
> Tetrahydrofuran (THF) can be formed by treating 1,4-butanediol with sulfuric acid. Propose a mechanism for this transformation: OH HSO, HO 1,4-Butanedíol Tetrahydrofuran (THF)
> In an effort to circumvent existing drug laws, novel psychoactive substances are continuously being developed. The stimulant benzylpiperazine (BZP) is one such “designer” recreational drug. The synthesis of these compo
> When 1,4-dioxane is heated in the presence of HI, compound A is obtained: a. Draw the structure of compound A. b. If one mole of dioxane is used, how many moles of compound A are formed? c. Show a plausible mechanism for the conversion of dioxane into
> Starting with cyclohexene and using any other reagents of your choice, show how you would prepare each of the following compounds: (a) (b) OMe (c)
> Draw all constitutionally isomeric ethers with the molecular formula C4H10O. Provide a common name and a systematic name for each isomer.
> Predict the products that are expected when each of the following compounds is heated with concentrated HBr: (a) (b) (c) (d)
> Assign an IUPAC name for each of the following compounds: SH (a) (b) (c) OMe (d) (e) OMe (g) S.
> Decytospolides A and B are fungal natural products that are toxic to some cancer cells. In a synthesis of these natural products, compound 3 was prepared via the reaction between an epoxide (compound 2) and a Grignard reagent. Draw the structure of 2, an
> Propose an efficient synthesis for each of the following transformations: он Br он Br (а) (b) Br Он Br (c) (d) (e) (f) он LOH (g) (h) он (i)
> Predict the expected number of signals in the 13C NMR spectrum of each of the following compounds. For each signal, identify where you expect it to appear in the 13C NMR spectrum: (a) (b) (c)
> Bongkrekic acid is an extremely potent toxin produced by the microorganism Pseudomonas cocovenenans. Synthetic routes for preparing this compound have been sought in order to confirm its chemical structure and elucidate its biological mechanism. During a
> Propose an efficient synthesis for each of the following transformations: он CN OH но En | (b) OH SH SMe он (c) (d)
> In the following reaction, determine whether the alkyne has been oxidized, reduced, or neither. Using the answer from the previous problem, try to determine the answer without calculating oxidation states and then use the calculations to see if your intu
> Predict the products for each of the following reactions: SH Br 1) NaOH SNa 2) Br (a) ? ? Nalo, 2 H,O2
> Identify reagents that you could use to prepare each of the following thiols. SH SH SH (a) (b) (c)
> The sequence below shows an enantioselective synthesis of a diol that is achieved via two sequential reactions: 1. asymmetric biooxidation (in the presence of enzymes, nature’s catalysts) to give a chiral epoxide, followed by 2. a rin
> For each reaction, predict the product and draw a mechanism for its formation: „A -. ? A→ ? HBr HCI (a) (b) "Me [H,SO. EIOH ? [H,SO,) ? "Me Me "Me (c) Et (d) Et [H,SOJ MEOH ? ? HBr "Me Me Et (e) (f)
> Spirocyclic compounds, such as compound 3, are made and used by insects for the purposes of communication. The first step of a synthesis of compound 3 involved treatment of (S)-1,2-epoxypropane (compound 1) with lithium acetylide, followed by water, to g
> For each of the following reactions, predict the product and draw a mechanism for its formation: ? ? 1) PhMgBr 1) NaCN 2) H,0 Me 2) H,0 "Me (a) (b) 1) NaSMe 2) H,0 ? 1) LIAIH, 2) H,0 ? "Me Me (c) (d) 1) NaOE! 2) H,0 ? ? 1) LIAIH, Me 2) H,0 Et Et (e)
> Predict the products for each of the following reactions: 0-0-H -0-0-H ? он T[OCH(CH,la (+-DET Ti[OCH(CH,)ala (--DET OH (a) (b) -0-0-H -0-0-H ? ? T(OCH(CH,);l4 (+)-DET Ti(OCH(CH,)l4 (-DET он OH (с) (d)
> Pheromones are chemicals that are used by members of the same species to communicate. During a study that involved preparing stereoisomers of the sex pheromone of the moth Lymantria bantaizana, alkyne 1 was converted into alkene 2, which was then subsequ
> Rank the signals of the following compound in terms of increasing chemical shift. Identify the proton(s) giving rise to each signal: Cl. Н. OH
> Identify reactants that you would use to form a racemic mixture of each of the following epoxides: Me H Me (a) (Ь) (c) Me (d)
> In Chapter 8, we learned about addition of water across a π bond. Identify whether the alkene has been oxidized, reduced, or neither. (Hint: First look at each carbon atom separately and then look at the net change for the alkene as a whole.)
> Predict the multiplicity of each signal in the 1H NMR spectrum of the following compound:
> Propose a mechanism for the following reaction: NaH Br HO.
> What reagents would you use to perform each of the following transformations? (a) H. OH он (b)
> Each of the following alcohols can be prepared via reduction of a ketone or aldehyde. In each case, identify the aldehyde or ketone that would be required. он он OH (a) (b) (c)
> Using a Grignard reaction, show how you could prepare each of the following alcohols: OH он но. (а) (b) (c)
> Starting with 1-butanol, show the reagents you would use to prepare each of the following compounds: OH (a) H. (b) OH (c) он (d) (e)
> Acid-catalyzed hydration of 3,3-dimethyl-1-butene produces 2,3-dimethyl-2-butanol. Show a mechanism for this reaction.
> Predict the major product of the reaction between 1-butanol and: a. PBr3 b. SOCl2, py c. HCl, ZnCl2 d. DMP, CH2Cl2 e. Na2Cr2O7, H2SO4, H2O f. Li g. NaH h. TMSCl, Et3N i. TsCl, pyridine j. Na k. Potassium tert-butoxide
> Draw resonance structures for each of the following anions: (a) (b) (c)
> Rank each set of alcohols below in order of increasing acidity. ÇI CI CI (a) он Он он (b) OH ÓH он OH он OH (c) NO2
> Draw and name all constitutionally isomeric alcohols with the molecular formula C4H10O.
> How would you distinguish between the following compounds using 13C NMR spectroscopy? он HO.
> Draw the structure of each compound: a. cis-1,2-Cyclohexanediol b. Isobutanol c. 2,4,6-Trinitrophenol d. (R)-2,2-Dimethyl-3-heptanol e. Ethylene glycol f. (S)-2-Methyl-1-butanol
> Assign an IUPAC name for each of the following compounds: HO. он (a) (b) OH он (c) Br (d)
> In a study of the chemical components of salted and pickled prunes, hexyl butanoate was identified as one of 181 detected compounds. Propose a synthesis of this compound using acetylene as your only source of carbon atoms. Hexyl butanoate
> Propose an efficient synthesis for each of the following transformations: (а) (b) он H. (с) (d) OH он (е) (f)
> Identify reagents that you could use to accomplish each of the following transformations: H.
> Lithium borohydride (LiBH4) is a useful reducing agent, as it is more selective than LiAlH4 but less selective than NaBH4. Specifically, LiBH4 will reduce esters, but it will not reduce amides. This selectivity is frequently employed by synthetic organic
> Propose an efficient synthesis for each of the following transformations: OH (a) OH (Ь) (c) H. H. (d) OH (e) (f)
> Galanthamine, a natural product produced by the amaryllis family of flowering plants, has been used in the early treatment of Alzheimer’s disease. In a synthesis of galanthamine and related compounds, compound 1 was converted into compo
> Predict the major organic product for each of the following reactions: -OH ? H. xs Cro, ? OH Na,Cr,O, H,SO,, H,0 Na,Cr,0; H,SO,, H,0 он (a) (b) (c) acetone он но ? 1) DMSO, (COCI), DMP PCC CH,C, -OH CH,CI, 2) ElN (d) (e) (f)
> Predict the products for each of the following transformations: OH ? conc. H,SO, 1) TSCL PY 2) NaOEt ? heat он (a) (b)