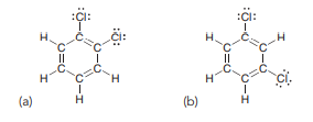
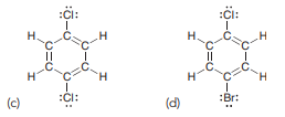
Identify which compounds below possess a molecular dipole moment and indicate the direction of that dipole moment:


H. H. H. (a) (b) エ ーエ エ :ö: 0-エ エ H. °C H. H H. :Ci: :Br: (c) (d)
> Nicotine is a toxic substance present in tobacco leaves. There are two lone pairs in the structure of nicotine. In general, localized lone pairs are much more reactive than delocalized lone pairs. With this information in mind, do you expect both lone pa
> For each compound below, identify all lone pairs and indicate whether each lone pair is localized or delocalized. Then, use that information to predict the geometry for each atom that exhibits a lone pair. H2N. NH2 N. (a) (b) 'N' (c) H
> The dragmacidin class of natural products has been isolated from various marine sponges. They have been shown to have many interesting biological properties, including anti-viral, anti-fungal, and anti-bacterial activity. (+)-Dragmacidin D, shown below,
> Draw a resonance hybrid for each of the following. (a) (b) (d) (e) la (g) (h)
> Valderramenol A, a natural product that was isolated from the leaves of a plant native to the Philippines, was found to be antitubercular (can be used to treat tuberculosis). The structure of valderramenol A contains two benzene rings. Using resonance, d
> In the compounds shown below, the six-membered rings are called benzene rings. Such rings are commonly found in natural products, and we will learn more about the remarkable stability of these ring systems in Chapter 17. Because of resonance effects with
> For each of the following, draw all significant resonance forms and rank them from most significant to least significant. Briefly explain the rankings. NH (a) (b) (c) 'N (d) CH3-C-CEN (e) (f)
> For each of the following reactions, identify whether you would use hydroxide or tertbutoxide to accomplish the desired transformation: (Ь) Br (а)
> Draw resonance structures for each of the following compounds: o (a) (b) (f) (h)
> Fingolimod is a novel drug that has been developed for the treatment of multiple sclerosis. In 2008, researchers reported the results of phase III clinical trials of fingolimod, in which 70% of patients who took the drug daily for three years were relaps
> Draw a resonance structure of the compound shown below, called 2-heptanone, which is found in some kinds of cheese.
> Draw a resonance structure of the following compound, which was isolated from the fruits of Ocotea corymbosa, a native plant of the Brazilian Cerrado. он
> Draw a resonance structure for each of the compounds below. (a) (b) (c)
> For each of the compounds below, locate the lone pair adjacent to a positive charge and draw the resonance structure: (a) (b) (c)
> Draw the resonance structure(s) for each of the compounds below: (a) (b) (c) (d)
> For each of the compounds below, locate the pattern we just learned (lone pair next to a π bond) and draw the appropriate resonance structure: NH2 (a) (b) (c) (d) (e) Acetylcholine (g) (a neurotransmitter) 5-Amino-4-oxopentanoic acid (used
> The cation 1 has been shown to lose a proton (H+) to produce a compound represented by resonance structures 2a, 2b, and 2c. a. Draw the curved arrows needed to convert resonance structure 2a into resonance structure 2b. Begin by drawing all lone pairs a
> In each case below, draw the curved arrow(s) required in order to convert the first resonance structure into the second resonance structure. In each case, begin by drawing all lone pairs and then use the formal charges to guide you. (a) (Б) --- (c) (
> Predict the major and minor products for each of the following E2 reactions: -BUOK ? NaOE (a) (b) ? ? NaOH I-BUOK (c) (d) Br Br ? NaOH -BUOK (e) (f)
> For each of the structures below, draw the resonance structure that is indicated by the curved arrows. Be sure to include formal charges. (a) (b) (c) (d) (e) (f) (g) (h)
> Polyhydroxybutyric acid (PHB) is a component of biodegradable plastics that can be used in dissolving sutures or as a scaffold for skin regeneration. PHB is synthesized by linking together hydroxybutyric acid molecules. Inspect the arrows drawn for possi
> Drawing the resonance structure of the following compound requires one curved arrow. The head of this curved arrow is placed on the oxygen atom, and the tail of the curved arrow can only be placed in one location without violating the rules for drawing c
> In each of the following cases, determine whether the curved arrow violates either of the two rules and describe the violation, if any. (Don’t forget to count all hydrogen atoms and all lone pairs.) :ÖH (a) H (ь) (c) (d) (e) (f) (g)
> Glue adhesion usually requires a dry surface, so studying the chemistry behind the attachment of mussels to wet rocks can lead to the development of new adhesive materials. Chemists used the compound shown to model the mussel foot proteins involved in th
> Draw all lone pairs on each of the nitrogen atoms in the following structures. First, review Table 2.3 and then come back to these problems. Try to identify all lone pairs without having to count. Then, count to see if you were correct. From Table 2.3:
> The rich and varied flavors of toasted bread, roasted coffee, and seared meat are a result of a process known as the Maillard reaction. This reaction creates hundreds of new flavorful compounds, including hydroxymethylfurfural (HMF). By measuring levels
> Draw all lone pairs on each of the oxygen atoms in the following structures. Before doing this, review Table 2.2 and then come back to these problems. Try to identify all lone pairs without having to count. Then, count to see if you were correct. From T
> Atenolol and enalapril are drugs used in the treatment of heart disease. Both of these drugs lower blood pressure (albeit in different ways) and reduce the risk of heart attack. Using Table 2.1, identify and label all functional groups in these two compo
> Certain compounds that are alternatives to fossil fuels can be produced by engineered microbes. Bisabolane, an example of a renewable biofuel, is a synthetic alternative to diesel fuel. Draw a bond-line structure for bisabolane: H H H'V H H-C H-C CH(
> Consider the following two isomeric alkenes. The first isomer is a monosubstituted alkene, while the second isomer is a disubstituted alkene. We might expect the second isomer to be more stable, yet heats of combustion for these two compounds indicate th
> Draw a bond-line structure for each of the following compounds: d. (CH3)3C−C(CH3)3 e. CH3CH2CH(CH3)2 f. (CH3CH2)3COH g. (CH3)2CHCH2OH h. CH3CH2CH2OCH3 i. (CH3CH2)2C=CH2 j. CH2=CHOCH2CH(CH3)2 k. (CH3CH2)2CHCH2CH2NH2 l. CH2=CHCH2
> Initially approved to treat psoriasis (a skin disorder) and rheumatoid arthritis, the drug tofacitinib has recently been found to also promote hair growth and restore hair loss. Identify the number of carbon atoms in tofacitinib, and then fill in all of
> For each of the following molecules, determine the number of carbon atoms present and then determine the number of hydrogen atoms connected to each carbon atom: (а) (Ь) (с) (d) (е) (f)
> Oxygenated hydrocarbons (compounds containing carbon, hydrogen, and oxygen) are common components of biofuels. The combustion of three isomers of C3H6O (shown below) were studied to investigate the effects of structure on combustion speed and efficiency.
> Draw a Lewis structure for each of the compounds below: a. CH2=CHOCH2CH(CH3)2 b. (CH3CH2)2CHCH2CH2OH c. (CH3CH2)3COH d. (CH3)2C=CHCH2CH3 e. CH2=CHCH2OCH2CH(CH3)2 f. (CH3CH2)2C=CH2 g. (CH3)3CCH2CH2OH h. CH3CH2CH2CH2CH2CH3 i. CH3CH2CH2OCH3 j. (CH3
> The following structure shows promise for studying how enzymes (nature's catalysts) coil up into very discrete shapes that endow them with catalytic function: a. This compound has two N−C−N units, with differing bond
> Positron emission tomography (PET) is a medical imaging technique that produces a threedimensional picture of functional processes in the body, such as the brain uptake of glucose. PET imaging requires the introduction of [18F]-fluorine (a radioactive is
> Consider the following table that provides bond lengths for a variety of C−X bonds (measured in Å). Two trends emerge when we compare these data. First, notice that the bond length increases as the size of the halogen inc
> Isonitriles (A) are an important class of compounds because of the versatile reactivity of the functional group, enabling the preparation of numerous new compounds and natural products. Isonitriles can be converted to isonitrile dihalides (B), which repr
> A compound with the molecular formula C5H11N has no π bonds. Every carbon atom is connected to exactly two hydrogen atoms. Determine the structure of the compound.
> Arrange each set of isomeric alkenes in order of stability: (a) (b)
> With current spectroscopic techniques, chemists are generally able to determine the structure of an unknown organic compound in just one day. These techniques have only been available for the last several decades. In the first half of the twentieth centu
> Draw all constitutional isomers with the molecular formula C5H10 that possess one π bond.
> Propose at least two different structures for a compound with six carbon atoms that exhibits the following features: a. All six carbon atoms are sp2 hybridized. b. Only one carbon atom is sp hybridized, and the remaining five carbon atoms are all sp3 h
> Consider the three compounds shown below and then answer the questions that follow: a. Which two compounds are constitutional isomers? b. Which compound contains a nitrogen atom with trigonal pyramidal geometry? c. Identify the compound with the grea
> Arrange the following compounds in order of increasing boiling point: H H H H H H H H H H H H H H-C, I I I I I H-C-C-c-ċ-ċ-H C-H | ||| | H H H H H-C-C-C-ċ-0-H i iii H H H H H-C C-H H H H H нн H H H HH HH H ||| | H-C-C-Ç-C-c-C-o-H H-C H-C-C-C-H H-C H
> Bonds between carbon and oxygen (C−O) are more polar than bonds between sulfur and oxygen (S−O). Nevertheless, sulfur dioxide (SO2) exhibits a dipole moment while carbon dioxide (CO2) does not. Explain this apparent anomaly.
> Which of the following compounds has the larger dipole moment? Explain your choice: CHCl3 or CBrCl
> Methylene chloride (CH2Cl2) has fewer chlorine atoms than chloroform (CHCl3). Nevertheless, methylene chloride has a larger molecular dipole moment than chloroform. Explain.
> There are two different compounds with the molecular formula C2H6O. One of these isomers has a much higher boiling point than the other. Explain why.
> Classify each of the following alkenes as monosubstituted, disubstituted, trisubstituted, or tetrasubstituted: (b) (c) (e)
> Below is the structure of caffeine, but its lone pairs are not shown. Identify the location of all lone pairs in this compound: H H c-H H, I !! C-H HIH Caffelne z-0-I エーO I I
> Nicotine is an addictive substance found in tobacco. Identify the hybridization state and geometry of each of the nitrogen atoms in nicotine: H C-H H. .C. C N H H C. H. H Nicotine I I-U-0-I
> Identify the most electronegative element in each of the following compounds: a. CH3OCH2CH2NH2 b. CH2ClCH2F c. CH3Li
> Ambienâ„¢ is a sedative used in the treatment of insomnia. It was discovered in 1982 and brought to market in 1992 (it takes a long time for new drugs to undergo the extensive testing required to receive approval from the Food and Drug Ad
> Identify the hybridization state and geometry of each carbon atom in the following compounds: (a) (b) エ エ エー エ エ O-エ エ エ をー0三 マー三
> For each case below, identify the most likely value for x: a. BHx b. CHx c. NHx d. CH2Clx
> Which of the following pure compounds will exhibit hydrogen bonding? a. CH3CH2OH b. CH2O c. C2H4 d. C2H2 e. CH3OCH3 f. CH3NH2 g. C3H8 h. NH3
> For each pair of compounds below, predict which compound will have the higher boiling point and explain your choice: a. CH3CH2CH2OCH3 or CH3CH2CH2CH2OH b. CH3CH2CH2CH3 or CH3CH2CH2CH2CH3 H H H H O H | ||| H-C-C-C-H or H-C-C-C-H (c) н HH H
> Count the total number of σ bonds and Ï€ bonds in the compound below: H H H-Ö-C-C=c-C=C-ċ-Ñ-H H HH нн
> Identify the expected hybridization state and geometry for the central atom in each of the following compounds: H (a) н H. (b) н- H (c) HeH . (d) H H. H. エーC:
> In Section 4.2, we learned how to name bicyclic compounds. Using those rules, together with the rules discussed in this section, provide a systematic name for the following bicyclic compound. In a case like this, the lowest number is assigned to a bridge
> Predict the bond angles for all bonds in the following compounds: a. CH3CH2OH b. CH2O c. C2H4 d. C2H2 e. CH3OCH3 f. CH3NH2 g. C3H8 h. CH3CN
> For each type of bond below, determine the direction of the expected dipole moment: a. C−O b. C−Mg c. C−N d. C−Li e. C−Cl f. C−H g. O−H h. N−H
> Draw structures for any five constitutional isomers with the molecular formula C2H6O3.
> Draw structures for all constitutional isomers with the following molecular formulas: a. C2H6O b. C2H6O2 c. C2H4Br2
> In the compounds below, classify each bond as covalent, polar covalent, or ionic: a. NaBr b. NaOH c. NaOCH3 d. CH3OH e. CH2O
> Identify the neutral element that corresponds with each of the following electron configurations: a. 1s2 2s2 2p4 b. 1s2 2s2 2p5 c. 1s2 2s2 2p2 d. 1s2 2s2 2p3 e. 1s2 2s2 2p6 3s2 3p5
> Determine whether each compound below exhibits a molecular dipole moment: a. CH4 b. NH3 c. H2O d. CO2 e. CCl4 f. CH2Br2
> Draw the structure for the only constitutional isomer of cyclopropane: H H H-C-C-H Cyclopropane
> Draw a Lewis structure of the anion AlBr4− and determine its geometry.
> Draw a Lewis structure for a compound with the molecular formula C4H11N in which three of the carbon atoms are bonded to the nitrogen atom. What is the geometry of the nitrogen atom in this com pound? Does this compound exhibit a molecular dipole moment
> Draw a bond-line structure for each of the following compounds: a. 3-Isopropyl-2,4-dimethyl-2-pentene b. 4-Ethyl-2-methyl-2-hexene c. 1,2-Dimethylcyclobutene (The name of a cycloalkene will often not include a locant to specify the position of the π b
> Draw a Lewis dot structure for each of the following compounds: a. CH3CH2OH b. CH3CN
> For each pair of compounds below, identify the one that would be expected to have more ionic character. Explain your choice. a. NaBr or HBr b. BrCl or FCl
> For each compound below, identify any polar covalent bonds and indicate the direction of the dipole moment using the symbols δ+ and δ−: a. HBr b. HCl c. H2O d. CH4O
> Draw structures for all constitutional isomers with the molecular formula C4H8 that have: a. Only single bonds b. One double bond
> Draw structures for all constitutional isomers with the following molecular formulas: a. C6H14 b. C2H5Cl c. C2H4Cl2 d. C2H3Cl3
> Epichlorohydrin (1) is an epoxide used in the production of plastic, epoxy glues, and resins (reactions of epoxides will be discussed in Chapter 13). When epichlorohydrin is treated with phenol (2), two products are formed (3 and 4). These two products c
> For each of the following pairs of compounds, identify the higher boiling compound and justify your choice: нн нн H-c-0-c-H Ç-H H-C ハ нн (a) нн H H H VH H-c H .C H H-C C- ーH (b) H H нн C-H Ö-H (c) H-C :ö-H 一H H-C c-H (d) H H H H エ エーOーエ エーOーエ :O: エーO
> Volatile organic compounds (VOCs) contribute to the aroma of plants and can also be used for communication between plants. Diphenyl ether was identified as a minor VOC found in tomato plants. Identify whether diphenyl ether exhibits a molecular dipole mo
> Identify whether each of the following compounds exhibits a molecular dipole moment. For compounds that do, indicate the direction of the net molecular dipole moment: (a) CHCI3 (b) CH3OCH3 (c) NHз (d) CCl,Br2 нн H || H H H H H H-C °C C-H H-C C-H H-C
> When sand is coated with a layer of trimethylhydroxysilane, (CH3)3SiOH, it repels water and can no longer get wet. Hydrophobic sand (aka, magic sand) is fun to play with, but it can also have useful applications in agriculture to reduce water consumption
> Provide a systematic name for each of the following compounds: (a) (b) (c) (d) (e) (g) (h)
> Ammonia (NH3) will react with a strong acid, such as hydronium (H3O+), to give an ammonium ion, as shown below. This type of process is an acid-base reaction, which will be the topic of Chapter 3. Using VSEPR theory, determine whether you expect a change
> Compare the structures of a carbocation and a carbanion: In one of these ions, the central carbon atom is trigonal planar, while the other is trigonal pyramidal. Using VSEPR theory, assign the correct geometry to each ion. Carbocation Carbanion
> Use VSEPR theory to predict the geometry for each of the following structures: H CI le H-B-H CI-C-H H-N-H .B (a) (Ь) F (c) (d) ČI エーZーエ エーローエ
> Rank the indicated bonds in terms of increasing bond length: H H.I c-CEc-H H H c=C H-C-C H H it
> Nemotin is a compound that was first isolated from the fungi Poria tenuis and Poria corticola in the 1940s and was shown to possess potent antibacterial activity. However, its structure was not verified until it was made in the laboratory much more recen
> Determine the hybridization state of each carbon atom in the following compounds. H H H нн ! ! H-C-CEC-C-C-H H H-C-C H-C-C-c. C-H H H H (a) (Ь) H H H (с) H H C=c=c=C (d) н H (е) н"
> When 2-iodobutane is treated with a variety of bases in DMSO at 50°C, the percentage of 1-butene formed among total butenes is found to be dependent on the choice of base, as seen in the chart below. a. Identify the trend observed by comparin
> Steroids and their derivatives are among the most widely used therapeutic agents. They are used in birth control, hormone replacement therapy, and in the treatment of inflammatory conditions and cancer. New steroid derivatives are discovered regularly by
> Biotin (compound 4) is an essential vitamin that plays a vital role in several important physiological processes. A total synthesis of biotin, developed by scientists at Hoffmann-La Roche, involved the preparation of compound 1. Conversion of 1 to 4 requ
> Halogenated derivatives of toluene will undergo hydrolysis via an SN1 process: The rate of hydrolysis is dependent on two main factors: 1. the stability of the leaving group, and 2. the stability of the intermediate carbocation. The following are rat
> The following reaction exhibits a second-order rate equation: a. What happens to the rate if the concentration of chlorocyclopentane is tripled and the concentration of sodium hydroxide remains the same? b. What happens to the rate if the concentration
> Compound 1 was prepared during a recent synthesis of 1-deoxynojirimycin, a compound with application to HIV chemotherapy. Upon formation, compound 1 rapidly undergoes ring contraction in the presence of chloride ion to form compound 2. Propose a plausibl
> Identify the electron configuration for each of the following atoms: a. Carbon b. Oxygen c. Boron d. Fluorine e. Sodium f. Aluminum
> Plastics and synthetic fibers are examples of the many materials made from repeating subunits of carbon-containing molecules called polymers. Although most synthetic polymers are prepared from fossil fuel sources, many researchers are exploring ways to m
> The regions of δ+ in a compound are the regions most likely to be attacked by an anion, such as hydroxide (HO−). In the compound shown, identify the two carbon atoms that are most likely to be attacked by a hydroxide ion.
> 99. For the following substitution reaction, which statement is FALSE? a. The process is bimolecular. b. Increasing the concentration of hydroxide will cause an increase in the rate of reaction. c. The use of a polar aprotic solvent will enhance the r