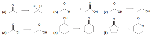
In each of the following transformations, identify whether the starting material has been oxidized, reduced, or neither. Try to determine the answer without calculating oxidation states and then use the calculations to see if your intuition was correct.

CI CI (a) (b) H. OH (c) OH он OH (d) CI OH (e) (f)
> Decytospolides A and B are fungal natural products that are toxic to some cancer cells. In a synthesis of these natural products, compound 3 was prepared via the reaction between an epoxide (compound 2) and a Grignard reagent. Draw the structure of 2, an
> Propose an efficient synthesis for each of the following transformations: он Br он Br (а) (b) Br Он Br (c) (d) (e) (f) он LOH (g) (h) он (i)
> Predict the expected number of signals in the 13C NMR spectrum of each of the following compounds. For each signal, identify where you expect it to appear in the 13C NMR spectrum: (a) (b) (c)
> Bongkrekic acid is an extremely potent toxin produced by the microorganism Pseudomonas cocovenenans. Synthetic routes for preparing this compound have been sought in order to confirm its chemical structure and elucidate its biological mechanism. During a
> Propose an efficient synthesis for each of the following transformations: он CN OH но En | (b) OH SH SMe он (c) (d)
> In the following reaction, determine whether the alkyne has been oxidized, reduced, or neither. Using the answer from the previous problem, try to determine the answer without calculating oxidation states and then use the calculations to see if your intu
> Predict the products for each of the following reactions: SH Br 1) NaOH SNa 2) Br (a) ? ? Nalo, 2 H,O2
> Identify reagents that you could use to prepare each of the following thiols. SH SH SH (a) (b) (c)
> The sequence below shows an enantioselective synthesis of a diol that is achieved via two sequential reactions: 1. asymmetric biooxidation (in the presence of enzymes, nature’s catalysts) to give a chiral epoxide, followed by 2. a rin
> For each reaction, predict the product and draw a mechanism for its formation: „A -. ? A→ ? HBr HCI (a) (b) "Me [H,SO. EIOH ? [H,SO,) ? "Me Me "Me (c) Et (d) Et [H,SOJ MEOH ? ? HBr "Me Me Et (e) (f)
> Spirocyclic compounds, such as compound 3, are made and used by insects for the purposes of communication. The first step of a synthesis of compound 3 involved treatment of (S)-1,2-epoxypropane (compound 1) with lithium acetylide, followed by water, to g
> For each of the following reactions, predict the product and draw a mechanism for its formation: ? ? 1) PhMgBr 1) NaCN 2) H,0 Me 2) H,0 "Me (a) (b) 1) NaSMe 2) H,0 ? 1) LIAIH, 2) H,0 ? "Me Me (c) (d) 1) NaOE! 2) H,0 ? ? 1) LIAIH, Me 2) H,0 Et Et (e)
> Predict the products for each of the following reactions: 0-0-H -0-0-H ? он T[OCH(CH,la (+-DET Ti[OCH(CH,)ala (--DET OH (a) (b) -0-0-H -0-0-H ? ? T(OCH(CH,);l4 (+)-DET Ti(OCH(CH,)l4 (-DET он OH (с) (d)
> Pheromones are chemicals that are used by members of the same species to communicate. During a study that involved preparing stereoisomers of the sex pheromone of the moth Lymantria bantaizana, alkyne 1 was converted into alkene 2, which was then subsequ
> Rank the signals of the following compound in terms of increasing chemical shift. Identify the proton(s) giving rise to each signal: Cl. Н. OH
> Identify reactants that you would use to form a racemic mixture of each of the following epoxides: Me H Me (a) (Ь) (c) Me (d)
> In Chapter 8, we learned about addition of water across a π bond. Identify whether the alkene has been oxidized, reduced, or neither. (Hint: First look at each carbon atom separately and then look at the net change for the alkene as a whole.)
> Predict the multiplicity of each signal in the 1H NMR spectrum of the following compound:
> Propose a mechanism for the following reaction: NaH Br HO.
> What reagents would you use to perform each of the following transformations? (a) H. OH он (b)
> Each of the following alcohols can be prepared via reduction of a ketone or aldehyde. In each case, identify the aldehyde or ketone that would be required. он он OH (a) (b) (c)
> Using a Grignard reaction, show how you could prepare each of the following alcohols: OH он но. (а) (b) (c)
> Starting with 1-butanol, show the reagents you would use to prepare each of the following compounds: OH (a) H. (b) OH (c) он (d) (e)
> Acid-catalyzed hydration of 3,3-dimethyl-1-butene produces 2,3-dimethyl-2-butanol. Show a mechanism for this reaction.
> Predict the major product of the reaction between 1-butanol and: a. PBr3 b. SOCl2, py c. HCl, ZnCl2 d. DMP, CH2Cl2 e. Na2Cr2O7, H2SO4, H2O f. Li g. NaH h. TMSCl, Et3N i. TsCl, pyridine j. Na k. Potassium tert-butoxide
> Draw resonance structures for each of the following anions: (a) (b) (c)
> Rank each set of alcohols below in order of increasing acidity. ÇI CI CI (a) он Он он (b) OH ÓH он OH он OH (c) NO2
> Draw and name all constitutionally isomeric alcohols with the molecular formula C4H10O.
> How would you distinguish between the following compounds using 13C NMR spectroscopy? он HO.
> Draw the structure of each compound: a. cis-1,2-Cyclohexanediol b. Isobutanol c. 2,4,6-Trinitrophenol d. (R)-2,2-Dimethyl-3-heptanol e. Ethylene glycol f. (S)-2-Methyl-1-butanol
> Assign an IUPAC name for each of the following compounds: HO. он (a) (b) OH он (c) Br (d)
> In a study of the chemical components of salted and pickled prunes, hexyl butanoate was identified as one of 181 detected compounds. Propose a synthesis of this compound using acetylene as your only source of carbon atoms. Hexyl butanoate
> Propose an efficient synthesis for each of the following transformations: (а) (b) он H. (с) (d) OH он (е) (f)
> Identify reagents that you could use to accomplish each of the following transformations: H.
> Lithium borohydride (LiBH4) is a useful reducing agent, as it is more selective than LiAlH4 but less selective than NaBH4. Specifically, LiBH4 will reduce esters, but it will not reduce amides. This selectivity is frequently employed by synthetic organic
> Propose an efficient synthesis for each of the following transformations: OH (a) OH (Ь) (c) H. H. (d) OH (e) (f)
> Galanthamine, a natural product produced by the amaryllis family of flowering plants, has been used in the early treatment of Alzheimer’s disease. In a synthesis of galanthamine and related compounds, compound 1 was converted into compo
> Predict the major organic product for each of the following reactions: -OH ? H. xs Cro, ? OH Na,Cr,O, H,SO,, H,0 Na,Cr,0; H,SO,, H,0 он (a) (b) (c) acetone он но ? 1) DMSO, (COCI), DMP PCC CH,C, -OH CH,CI, 2) ElN (d) (e) (f)
> Predict the products for each of the following transformations: OH ? conc. H,SO, 1) TSCL PY 2) NaOEt ? heat он (a) (b)
> How many signals would you expect in the 13C NMR spectrum of each of the compounds in Problem 15.35?
> Lepadiformine is a cytotoxic agent (toxic to cells) isolated from a marine tunicate. During a recent synthesis of lepadiformine, the investigators observed the formation of an interesting by-product (3) while treating diol 1 with a reagent similar in fun
> Identify reagents that you could use to accomplish each of the following transformations: он Br он Br (а) (b) OH CI он "Br (c) (d) (е) (f) HO. Br
> Identify the reagents you would use to achieve each of the following transformations: он он Br Br но но но но он (a) (b)
> Extracts from the flowering plants of Asteraceae have been used to produce medicine, rubber, and pesticides. (+)-Carissone, a compound isolated from such extracts, has been found to have antibacterial properties. During a synthesis of (+)-carissone, a Gr
> Two of the compounds from Problem 12.13 can be prepared from the reaction between a Grignard reagent and an ester. Identify those two compounds and explain why the other four compounds cannot be prepared from an ester.
> Show how you would use a Grignard reaction to prepare each compound below: он он он (а) (Racemic) (Ь) (с) OH OH он (d) (Racemic) (е) (Racemic) (f)
> Ambuic acid has been isolated from fungi that are frequently found associated with economically important rain forest plant species. Ambuic acid is active against several other fungi that are harmful to these plants, indicating that it may provide chemic
> Draw a mechanism and predict the major product for each reaction: H. 1) LIAIH, 2) H,0 1) LIAIH, 2) HO (a) (b) ? 1) xs LIAIH, 2) Н,О NABH, Меон (c) (d)
> Compound 1 was converted into compound 2 and both compounds were evaluated for their cytotoxicity (ability to kill cells). It was observed that compound 2 was four to ten times less cytotoxic than compound 1. Determine whether the ring has been oxidized,
> How many signals would you expect in the 1H NMR spectrum of each of the following compounds: Br (a) Br CI (d) Br (e) (f)
> Identify reagents that can be used to achieve each of the following transformations: a. To convert 1-hexene into a primary alcohol b. To convert 3,3-dimethyl-1-hexene into a secondary alcohol c. To convert 2-methyl-1-hexene into a tertiary alcohol
> Identify the reagents that you would use to accomplish each of the following transformations: .d- Br OH он Br он (b) OH - Lo он (e) (f) но
> Flavonoids are a class of naturally occurring compounds with promising medicinal uses due to their anti-inflammatory, anti-cancer and anti-HIV properties. Much of this biological activity is due to the radical scavenging ability of flavonoids, which can
> For each of the following pairs of alcohols, identify the one that is more acidic and explain your choice: он OH он OH (а) (Ь) OH OH (с) OH он (d)
> Draw the alkoxide ion that is formed in each of the following cases: он OH OH ? Na он NaH NaH. (a) (b) (c) (d)
> Mandelate esters exhibit spasmolytic activity (they act as muscle relaxants). The nature of the alkyl group (R) greatly affects potency. Research indicates that the optimal potency is achieved when R is a nine-carbon chain (a nonyl group). Explain why no
> Safer alternatives to existing insecticides and mosquito repellants might be found in the essential oils of plants. Phytol is one such isolated compound that has promising pest-fighting potential. Provide the IUPAC name for phytol, which is both an alcoh
> Provide an IUPAC name for each of the following alcohols: OH OH OH (а) Вr Br (Ь) (с) (d)
> Upon treatment with aqueous acid, compound 1 is converted into compound 2. a. In the first step of the accepted mechanism, one of the triple bonds is protonated to give a vinyl carbocation. Generally, vinyl carbocations are too unstable to form, but thi
> The following compounds exhibit tautomerism, with a particularly high enol concentration. Compound 1 exhibits an enol concentration of 9.1%, as compared with the enol concentration of 0.014% for (CH3)2CHCHO. Compound 2 exhibits an enol concentration of 9
> 35. What are the best reagents to accomplish this transformation? a. t-BuOK b. NaC≡CH, followed by H2 and Pt c. NaC≡CH, followed by H2 and Lindlar’s catalyst d. NaOH, followed by t-BuOK 36. Whi
> A small class of natural products, called α,α-disubstituted α-amino acids (Chapter 25), have been the targets of several synthetic techniques, because these compounds are structurally complex (representing a chal
> Propose a plausible mechanism for the following transformation:
> Propose a plausible mechanism for the following transformation: Br2 R- Br R
> Using acetylene and methyl bromide as your only sources of carbon atoms, propose a synthesis for each of the following compounds: + En En (a) Et Me (b) Et Me
> Propose a plausible mechanism for the following tautomerization process: H. CH, CH, N H,0
> Propose a plausible mechanism for the following transformation: OH OH H,0* O:
> The Kharasch reaction is a radical process in which carbon tetrachloride is added across an alkene: a. Draw a mechanism showing initiation and propagation steps for this reaction and explain the observed regiochemical outcome. b. A variation of the Khar
> As seen in this chapter, hydrocarbons typically do not undergo radical iodination in the presence of 2 (compound 2a). Furthermore, radical halogenation (even chlorination) of strained hydrocarbons, like cubane (1), is problematic if the reaction produces
> Compounds with the structure ArN=NCON=NAr (where Ar represents an aromatic group) are used in liquid crystal formulations for LCDs (liquid crystal displays) as well as for optical switches and image storage because of their high resolution and sensitivit
> One strategy for the synthesis of complicated polycyclic ring systems involves radical-mediated cyclization processes. For example, when the following radical is generated, it undergoes a spontaneous cyclization to produce two new radicals. Propose a pla
> A compound with the molecular formula C17H36 exhibits a 1H NMR spectrum with only one signal. How many signals would you expect in the 13C NMR spectrum of this compound?
> Identify the reagents necessary to achieve each transformation below. In each case, you will need to use at least one reaction from this chapter and at least one reaction from the previous chapter. The essence of each problem is to choose reagents that w
> Preparation of 2,2-dimethyl-3-octyne cannot be achieved via alkylation of acetylene. Explain.
> Draw and name four terminal alkynes with the molecular formula C6H10.
> Compound 2 was used as a key intermediate in a synthesis of oseltamivir, an anti-influenza agent. Propose a plausible mechanism for the conversion of 1 to 2, as shown, and explain the stereochemical outcome: 1) t-BUOK 2) NBS, hv Br 1 2
> In Chapter 2, we saw several patterns for drawing resonance structures of ions or uncharged compounds. There are also several patterns for drawing resonance structures of radicals, although we have only encountered one such pattern (allylic or benzylic r
> Resveratrol is a naturally occurring antioxidant found in a broad range of plants including grapes, mulberries, and peanuts. It demonstrates useful activity against heart disease and cancer. In the presence of an alkoxy radical (RO•), a
> The alkyl halide 1-bromopropane is one of a number of compounds being considered as a replacement for chlorofluorocarbons as an industrial cleaning solvent. In a computational study of its atmospheric oxidation products, bromoacetone (structure below) wa
> Consider the following radical process, called a thiol-ene coupling reaction, in which an alkene is treated with a thiol (RSH) in the presence of a radical initiator: a. Draw a plausible mechanism for this process, showing the initiation and propagation
> When an acyl peroxide undergoes homolytic bond cleavage, the radicals produced can liberate carbon dioxide to form alkyl radicals: Using this information, provide a mechanism of formation for each of the following products: R + CO2 or hv
> When butane reacts with Br2 in the presence of Cl2, both brominated and chlorinated products are obtained. Under such conditions, the usual selectivity of bromination is not observed. In other words, the ratio of 2-bromobutane to 1-bromobutane is very si
> A compound with the molecular formula C12H24 exhibits a 1H NMR spectrum with only one signal and a 13C NMR spectrum with two signals. Deduce the structure of this compound.
> Compound A has the molecular formula C5H11Br. When compound A is treated with bromine in the presence of UV light, the major product is 2,2-dibromopentane. Treatment of compound A with NaSH (a strong nucleophile) produces a compound with one chiral cente
> The initiation step for radical addition of HBr is highly endothermic: a. Explain how this step can be thermodynamically favorable at high temperature even though it is endothermic. b. Explain why this step is not thermodynamically favorable at low tem
> Consider the following two compounds. Monochlorination of one of these compounds produces twice as many stereoisomeric products as the other. Draw the products in each case and identify which compound yields more products upon chlorination.
> Propose an efficient synthesis for each of the following transformations. You might find it useful to review Section 10.13 before attempting to solve these problems. (a) (b) Br En (c) (d) Br (e)
> The following sequence of reactions was employed during a synthesis of the sex pheromone of the dermestid beetle. The conversion of compound 5 to compound 6 involves the removal of the THP group (ROTHP → ROH), which is accomplished in a
> Methyl 4-methylpentanoate is one of 120 volatile compounds identified in a study of metabolites from Streptomyces bacteria. Propose a synthesis of this ester starting from 2-methylbutane. Methyl 4-methylpentanoate
> When a consumer purchases a tomato, smell is one of the factors affecting selection. Researchers in Japan have thus analyzed the volatile components of tomatoes using a novel method. Among the complex mixture of 367 compounds detected were 3-methylbutana
> The compound (Z)-hexenyl acetate is one of several volatile organic signaling compounds released from Arabidopsis leaves when they are damaged. Propose a synthesis of this compound using ethylene (H2C=CH2) and acetic acid (CH3CO2H) as your only sources o
> In a study measuring the volatile components of 150 pounds of fried chicken, a total of 130 distinct compounds were identified, including the linear alkane tetradecane. Propose a synthesis of this compound using acetylene as your only source of carbon at
> The aroma, taste, and general quality of wine are tied closely to the stage of development of the grapes from which it is made. In order to develop a molecular-level understanding of this phenomenon, the volatile components of cabernet sauvignon grapes w
> A compound with the molecular formula shown below exhibits a 1H NMR spectrum with only one signal. Deduce the structure in each case. a. C5H10 b. C5H8Cl4 c. C12H18
> Compound A has the molecular formula C5H12, and monobromination of compound A produces only compound B. When compound B is treated with a strong base, a mixture is obtained containing compound C and compound D. Using this information, answer the followin
> Draw the propagation steps that achieve the autooxidation of diethyl ether to form a hydroperoxide: OOH Diethyl ether A hydroperoxide
> Identify all products expected for each of the following reactions. Take stereochemistry into account and draw expected stereoisomer(s), if any: NBS, hv ? NBS hv ? (a) (b)
> Odor is one of the principal criteria used by consumers when purchasing food products such as fish. Researchers thus compared relative amounts of various volatile substances present in samples of European freshwater catfish raised in an indoor concrete p
> Kakkon is the root of an Asian plant that has traditionally been used in Chinese medicine. It smells fruity, winey, and medicinal. A study of the volatile components of kakkon (those responsible for the scent) resulted in the identification of 33 compoun
> In a study of volatile compounds extracted from cinnamon trees native to Sri Lanka, 27 compounds were identified, including3-phenylpropyl acetate. Propose a multiple-step synthesis of this compound using toluene and any two-carbon reactants as your only