Propose an efficient synthesis for each of the following transformations:

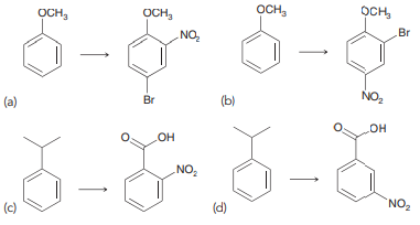
OCH, OCH, OCH, OCH, Br NO, NO2 Br (b) (a) HO NO, `NO2 (c) (d)
> Identify the reactants that you would use to make each of the following compounds: HO. NH2 (a) (b)
> Predict the product of each of the following reactions: [H') [H'] HO-NH, -H,0 ? H,N-NH, ? (а) (b)
> Pinnatoxin A is a marine natural product isolated from the shellfish Pinna muricata and has demonstrated dangerous toxic effects in humans. Pinnatoxin A has a remarkably intricate structure that includes an iminium group (a protonated imine group). a. A
> Predict the major product for each of the following reactions: [H*) NH3 ? -NH2 -H,0 ? [H'), -H,0 (a) (b) : ? [H'] [H'] NH2 NH2 (с) н -H,0 (d) -H,0
> Draw a plausible mechanism for each of the following transformations: Et [TSOH] MENH, (TSOH) EINH, (а) -H,0 (Ь) -H,0
> Compound A has the molecular formula C8H14O2. Upon treatment with catalytic acid, compound A is converted into the cyclic hemiacetal shown below. Identify the structure of compound A. но, [H'] Compound A
> Draw a plausible mechanism for the following transformation: HO OH [H,SO,]
> Predict the product(s) for each reaction below: OMe ? ? H,0 H,0 OMe (a) (b)
> Propose an efficient synthesis for each of the following transformations: (a) он Ph (b) Ph он (c) H
> The natural product frontalin is a pheromone isolated from the pine beetle Dendroctonus frontalis, a species that accounts for much of the diseased timber found in the northern hemisphere. The following reaction was a step in a synthesis of frontalin: a
> Using a Stork enamine synthesis, show how you might accomplish each of the following transformations: (Ь) (c)
> Draw a plausible mechanism for each of the following transformations: Meo, OMe EtO OEt [H;SOJ excess MeOH [H;SO excess EIOH (a) -H,0 (Ь) -H,0 но OH HO Он 'osH) -H,0 [H,SOJ -H,0 (c) (d)
> For most ketones, hydrate formation is unfavorable, because the equilibrium favors the ketone rather than the hydrate. However, the equilibrium for hydration of hexafluoroacetone favors formation of the hydrate: Provide a plausible explanation for this o
> Draw a mechanism for each of the following reactions: HO HO CI 1) EIMgBr HCI 2) H,0 (a) (b)
> Identify reagents that can be used to achieve each of the following transformations: он OH (a) (b) - (d) H. (f)
> Regular sunscreen use is an important part of keeping your skin healthy by protecting it from ultraviolet radiation, but some chemical agents in sunscreens may be harmful if absorbed into the skin. Research is ongoing to find less harmful alternatives an
> Compounds with two ketone groups are named as alkane diones; for example: The compound above is an artificial flavor added to microwave popcorn and movie- theater popcorn to simulate the butter flavor. Interestingly, this very same compound is also know
> Draw the structure of each of the following compounds: a. (S)-3,3-Dibromo-4-ethylcyclohexanone b. 2,4-Dimethyl-3-pentanone c. (R)-3-Bromobutanal
> Assign a systematic (IUPAC) name to each of the following compounds: (а) Br Br (b) (c) H. (d) - (e)
> In the following reaction, iodine monochloride (ICl) effectively serves as a source of an electrophilic iodonium species, I+. a. Propose a mechanism for the formation of each of the two products, A and B. b. The ratio of A:B in the product mixture is f
> During a synthesis of a potential anticancer agent, 7-hydroxynitidine, the investigators treated bromide 1 with two equivalents of a strong base to form compound 2. Propose a plausible mechanism to account for the following ring-forming transformation:
> In the previous section, we learned how to use diethyl malonate as a starting material in the preparation of substituted carboxylic acids (the malonic ester synthesis). That method employed a step in which the enolate of diethyl malonate attacked an alky
> Compare the indicated bonds (a and b) in the following compound. Bond a has a bond length of 1.45 Ã…, while bond b has a bond length of 1.35 Ã…. Suggest a reason for this difference in bond length for seemingly similar bonds.
> Which of the following is the correct sequence of reactions needed to transform ketone 1 into aldehyde 2, or will all three routes produce the desired product? Explain your choice(s). H Compound 1 Compound 2 Sequence A Sequence B Sequence C (1) (1) (
> Consider the following synthetic sequence: a. Identify reagents that can be used to achieve each of the reactions shown. Note: Reagents have been shown for the conversion of 3 to 4, which involves selective tosylation of a primary alcohol in the presenc
> The following transformation was employed during synthetic studies toward the total synthesis of cyclodidemniserinol trisulfate, found to inhibit HIV-1 integrase. Propose a four-step synthesis to accomplish this transformation. OR EIO" HO Four steps
> Under acid-catalyzed conditions, formaldehyde polymerizes to produce a number of compounds, including metaformaldehyde. Draw a plausible mechanism for this transformation: (H,O*) H H. Metaformaldehyde
> Draw a plausible mechanism for each of the following transformations: H H .N. H + H,C CH, H,0 но (a) OCH, H,0 H. (L) NH,NH, N-H + H. [H,SO] OH HO (d) OCH, осн, (H,SO,] HO. OH (e) OCH, [TSOH] но OH
> Using any compounds of your choosing, identify a method for preparing each of the following compounds. Your only limitation is that the compounds you use can have no more than two carbon atoms. For purposes of counting carbon atoms, you may ignore the ph
> A ketone with the molecular formula C9H18O exhibits only one signal in its 1H NMR spectrum. Provide a systematic (IUPAC) name for this compound.
> A compound with the molecular formula C13H10O produces a strong signal at 1660 cm−1 in its IR spectrum. The 13C NMR spectrum for this compound is shown below. Identify the structure of this compound. Carbon 13 NMR T.villosa -130.0 -
> A compound with the molecular formula C9H10O exhibits a strong signal at 1687 cm−1 in its IR spectrum. The 1H and 13C NMR spectra for this compound are shown below. Identify the structure of this compound. Proton NMR 2 6 5 3 1 Chemi
> Predict the major product of the three following steps and show a mechanism for its formation: 1) Кон ? 2) 3) H,0"
> An aldehyde with the molecular formula C4H6O exhibits an IR signal at 1715 cm−1. a. Propose two possible structures that are consistent with this information. b. Describe how you could use 13C NMR spectroscopy to determine which of the two possible str
> Identify the structures of compounds A to E below: 1) H Br2 Mg A B FeBra 2) H,0 РСС но E OH D [H*).-H,0
> Identify the structures of compounds A to D below and then identify reagents that can be used to convert cyclohexene into compound D in just one step. [H*] NH2NH2 (FH20) H,CrO, KOH /H,O D A B heat
> Using the information provided below, deduce the structures of compounds A, B, C, and D: A D 1) O, 2) DMS 1) EtMgBr 2) H,0 (C,H) (C„H,0) (CH100) B AICI, [H*1, (CHa),NH (-H,0)
> Compound A has the molecular formula C7H14O and reacts with sodium borohydride in methanol to form an alcohol. The 1H NMR spectrum of compound A exhibits only two signals: a doublet (I = 12) and a septet (I = 2). Treating compound A with 1,2-ethanedithio
> Historically, the nitroso group has been known as a strong deactivator, yet an ortho/para-director, in electrophilic aromatic substitution reactions. For example, nitration of nitrosobenzene affords mostly the para-substituted product. a. Rationalize th
> When ortho-bromonitrobenzene is treated with NaOH at elevated temperature, only one product is formed. a. Draw the product. b. Identify the intermediate formed en route to the product. c. Would the reaction occur if the starting compound were metabromo
> Predict the major product of the following reaction: HO,S. So,H ? Dilute HSO.
> When the following compound is treated with Br2 in the presence of a Lewis acid, one product predominates. Determine the structure of that product. Br2 FeBra ?
> The following compound is highly activated but nevertheless undergoes bromination very slowly. Explain.
> Identify the major product formed when each of the following compounds is treated with Et2CuLi followed by mild acid: CN OEt (a) (b) (c)
> When benzene is treated with methyl chloride and aluminum trichloride under conditions that favor trialkylation, one major product is obtained. Draw this product and provide an IUPAC name.
> Starting with benzene and using any other reagents of your choice, design a synthesis for each of the following compounds. In some cases, there may be more than one plausible answer. OMe COOH Br- Br NO2 Rr (a) NO2 (b) COOH (c) NO2 OEt COOH NO, .CI NO
> Each of the following compounds can be made with a Friedel– Crafts acylation. Identify the acyl chloride and the aromatic compound you would use to produce each compound. O,N. (a) OCH, LOCH, H,CO (b)
> When 2,4-dibromo-3-methyltoluene is treated with bromine in the presence of iron (Fe), a compound with the molecular formula C8H7Br3 is obtained. Identify the structure of this product.
> Predict the product(s) for each of the following reactions: Br ? AICI, (a) HNO, H,SO, OCH, (b) ? Fuming H,SO, (c) HNO, H2SO4 ? (d) Br NO2 오
> Compound A and compound B are both aromatic esters with the molecular formula C8H8O2. When treated with bromine in the presence of iron tribromide, compound A is converted into only one product, while compound B is converted into two different monobromi
> For each of the following groups of compounds, identify which compound will react most rapidly with ethyl chloride in the presence of aluminum trichloride. Explain your choice in each case and then predict the expected products of that reaction. CN C
> Draw all resonance structures of the sigma complex formed when toluene undergoes chlorination at the para position.
> Benzene was treated with isopropyl chloride in the presence of aluminum trichloride under conditions that favor dialkylation. Draw the major product expected from this reaction.
> Compound 2, a pheromone of the honeybee queen, has been shown to have antibacterial and anti-inflammatory properties. One laboratory synthesis of this pheromone involved the preparation of 1, followed by the conversion of 1 into 2. Using an acetoacetic e
> Propose a plausible mechanism forthe following transformation: он OH
> Picric acid is a military explosive formed via the nitration of phenol under conditions that install three nitro groups. Draw the structure and provide an IUPAC name for picric acid.
> When para-bromotoluene is treated with sodium amide, two products are obtained. Draw both products and propose a plausible mechanism for their formation.
> In each case, identify the most likely position at which monobromination would occur. (a) (b) (c)
> Each of the following syntheses will not produce the desired product. In each case, identify the flaw in the synthesis. NO 1) HNO,/H,SO, 2) EICI, AICI, (a) Et Br (b)|| 1) Brg. FeBra 2) AICI, Br 1) Brg. FeBra (c) 2) AICI, Br 1) AICI, 2) Br2, FeBra (d
> Starting with benzene and using any other reagents of your choice, design a synthesis for each of the following compounds: H,N Br H,N. (a) (b)
> Predict the product(s) of the following reactions: 1) HNO,/H,SO, ? 2) Zn, HCI 3) NaOH (a) Br 1) AICI CI 2) Zn(Hg), HCI, heat ? (b) 1) CH;CI, AICI, 2) KMnO, Hő, heat ? 3) H,0" (c) 1) CH;CI, AICI3 2) Excess NBS ? (d)
> Propose a plausible mechanism for the following transformation: NaOMe + Naci OMe
> Propose a plausible mechanism for each of the following transformations: I-CI AICI (a) CH,Cl, AICI, (b)
> Draw a mechanism for each of the following transformations: NO, HNO, (a) (b) so,H Fuming CH,GI H,SO, AICI, (c) (d) Br Br2 Fe (e)
> Propose an efficient synthesis for each of the following compounds using an acetoacetic ester synthesis: (a) (Ь) (d)
> When benzene is treated with 2-methylpropene and sulfuric acid, the product obtained is tert-butylbenzene. Propose a mechanism for this transformation.
> When the following compound is treated with a mixture of nitric acid and sulfuric acid at 50°C, nitration occurs to afford a compound with two nitro groups. Draw the structure of this product: ? HNO/H2SO4
> Predict the major product obtained when each of the following compounds is treated with bromine in the presence of iron tribromide: a. Bromobenzene b. Nitrobenzene c. ortho-Xylene d. tert-Butylbenzene e. Benzenesulfonic acid f. Benzoic acid g. Ben
> Predict the product(s) obtained when each of the following compounds is treated with chloromethane and aluminum trichloride. Some of the compounds might be unreactive. For those that are reactive, assume that conditions are controlled to favor monoalkyla
> The following compound has four aromatic rings. Rank them in terms of increasing reactivity toward electrophilic aromatic substitution. -N
> For each of the following groups, identify whether it is an activator or a deactivator, and determine its directing effects: (a)FOMo (b) -o (c)-NH, ci (d) -CCI, (F) {-NO, HO. H. (g) (h) (1) -Br -NMe,
> Predict the major product obtained when each of the following compounds is treated with fuming sulfuric acid: a. Chlorobenzene b. Phenol c. Benzaldehyde d. ortho-Nitrophenol e. para-Bromotoluene f. Benzoic acid g. para-Ethyltoluene
> Predict the product(s) obtained when each of the following compounds is treated with a mixture of nitric acid and sulfuric acid: Br NO2 (a) (h) (c) OMe (d) (e)
> Identify which of the following compounds is most activated toward electrophilic aromatic substitution. Which compound is least activated? NO2 .Br но, OMe TON
> Rank the following compounds in order of increasing reactivity toward electrophilic aromatic substitution: Br Br. Br
> In a study to prepare new and more effective anti-inflammatory agents, 2-fluoroloxoprofen was prepared from compound 2, which in turn was the product of a malonic ester synthesis. Starting with diethyl malonate, identify reagents that can be used to prep
> Identify reagents that can be used to accomplish each of the following transformations: Br SO,H ON NH, CBr3 HO.
> The welwitindolinones are a class of natural products that exhibit a host of biological activities including insecticidal, fungicidal, and anti-cancer properties. The following reaction was performed using SnCl4, a Lewis acid, in a model study in route t
> When 2-ethyl-5-chlorotoluene was treated with sodium hydroxide at high temperature, followed by treatment with H3O+, three constitutional isomers with the molecular formula C9H12O were obtained. Draw all three products.
> Draw the most likely mechanism for each of the following transformations: Br он Br 1) NaOH, 350°C 2) H30* Br, FeBrg (a) (Ь) O,N. O2N 1) NaNH, 2) H,0 (c) `NH2
> Starting with benzene and using any other necessary reagents of your choice, design a synthesis for anisole (methoxybenzene).
> Draw both products that are obtained when 4-chloro2-methyltoluene is treated with sodium amide followed by treatment with H3O+.
> The presence of additional nitro groups can have an impact on the temperature at which a nucleophilic aromatic substitution will readily occur. Consider the following example: When both R groups are hydrogen atoms, the reaction readily occurs at 130&Aci
> Starting with benzene and using any other necessary reagents of your choice, design a synthesis for the following compound: но- -NH2
> Predict the product of the following reaction: Br, NaOCH,, heat CI- -NO2
> We will see in Chapter 20 that derivatives of aniline will react with acyl chlorides (RCOCl) in the presence of pyridine (a base) to yield aromatic amides, as shown below for the parent aniline: 'R -N- N' 'R PY Aniline
> Propose an efficient synthesis for each of the following compounds using the malonic ester synthesis:
> Draw both resonance structures of the enolate formed when each of the following ketones is treated with a strong base: H (e) (Ь) (d)
> Starting with benzene and using any other necessary reagents of your choice, design a synthesis for each of the following compounds. In some cases, there may be more than one plausible answer. Br NH2 Br H,N. Br (a) (Ь) (c) (d)
> 2-Nitroaniline has been used as a precursor in the synthesis of the benzimidazole ring system (shown below), a structural feature that is present in many pharmaceuticals. A reliable method for synthesizing 2-nitroaniline relies on a reaction we will lear
> Starting with benzene and using any other necessary reagents of your choice, design a synthesis for each of the following compounds. Note: some of these problems have more than one plausible answer. NH2 Br O2N H2N (a) (Ь) (c) (d) CI Br Br CBr3 (e) (f
> Identify the product obtained when benzene is treated with each of the following reagents: a. Fuming sulfuric acid b. HNO3 /H2SO4 c. Cl2, AlCl3 d. Ethyl chloride, AlCl3 e. Br2, Fe f. HNO3 /H2SO4 followed by Zn, HCl, followed by NaOH
> Identify reagents that can be used to convert benzene into each of the following compounds: a. Chlorobenzene b. Nitrobenzene c. Bromobenzene d. Ethylbenzene e. Propylbenzene f. Isopropylbenzene g. Aniline (aminobenzene) h. Benzoic acid i. Toluen
> The flavor of beer can be tainted by a trace contaminant, called ortho-bromophenol. To reduce the incidents of contamination, beer manufacturers have used certified beer flavor standards to train professional beer tasters to recognize the flavor of ortho
> Determine whether a blocking group is necessary to accomplish each of the following transformations: (a) NO2 (b) Br Br но. но NO2 (c) (d)
> Sildenafil citrate was the first approved drug for treating male erectile dysfunction, a condition affecting more than 30 million men in the U.S. The following reaction is part of a synthesis of sildenafil, better known as Viagra. Here, an electrophilic
> For each of the following compounds, determine the position that is most likely to be the site of an electrophilic aromatic substitution reaction: O2N OMe HO. NO2 (a) (b) Br OH H. TH. но. (c) (d)
> 4-Fluoro-3-nitroaniline is a patented synthetic precursor used in the production of commercial hair dyes. Identify the position(s) on this compound most likely to undergo electrophilic aromatic substitution. NH2 *NO2
> Identify reagents that can be used to achieve the following transformation: он он
> For each compound below, identify which position(s) is/are most likely to undergo an electrophilic aromatic substitution reaction. CH CH O2N NO2 (a) (b) O,N NO2 (c) CN Br OH (d) (e) (f) OMe Br HO (g) (h) Br (i) O