> Propose a plausible mechanism for the following tautomerization process: H. CH, CH, N H,0
> Propose a plausible mechanism for the following transformation: OH OH H,0* O:
> The Kharasch reaction is a radical process in which carbon tetrachloride is added across an alkene: a. Draw a mechanism showing initiation and propagation steps for this reaction and explain the observed regiochemical outcome. b. A variation of the Khar
> As seen in this chapter, hydrocarbons typically do not undergo radical iodination in the presence of 2 (compound 2a). Furthermore, radical halogenation (even chlorination) of strained hydrocarbons, like cubane (1), is problematic if the reaction produces
> Compounds with the structure ArN=NCON=NAr (where Ar represents an aromatic group) are used in liquid crystal formulations for LCDs (liquid crystal displays) as well as for optical switches and image storage because of their high resolution and sensitivit
> One strategy for the synthesis of complicated polycyclic ring systems involves radical-mediated cyclization processes. For example, when the following radical is generated, it undergoes a spontaneous cyclization to produce two new radicals. Propose a pla
> A compound with the molecular formula C17H36 exhibits a 1H NMR spectrum with only one signal. How many signals would you expect in the 13C NMR spectrum of this compound?
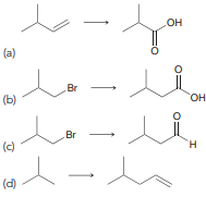
> Identify the reagents necessary to achieve each transformation below. In each case, you will need to use at least one reaction from this chapter and at least one reaction from the previous chapter. The essence of each problem is to choose reagents that w
> Preparation of 2,2-dimethyl-3-octyne cannot be achieved via alkylation of acetylene. Explain.
> Draw and name four terminal alkynes with the molecular formula C6H10.
> Compound 2 was used as a key intermediate in a synthesis of oseltamivir, an anti-influenza agent. Propose a plausible mechanism for the conversion of 1 to 2, as shown, and explain the stereochemical outcome: 1) t-BUOK 2) NBS, hv Br 1 2
> In Chapter 2, we saw several patterns for drawing resonance structures of ions or uncharged compounds. There are also several patterns for drawing resonance structures of radicals, although we have only encountered one such pattern (allylic or benzylic r
> Resveratrol is a naturally occurring antioxidant found in a broad range of plants including grapes, mulberries, and peanuts. It demonstrates useful activity against heart disease and cancer. In the presence of an alkoxy radical (RO•), a
> The alkyl halide 1-bromopropane is one of a number of compounds being considered as a replacement for chlorofluorocarbons as an industrial cleaning solvent. In a computational study of its atmospheric oxidation products, bromoacetone (structure below) wa
> Consider the following radical process, called a thiol-ene coupling reaction, in which an alkene is treated with a thiol (RSH) in the presence of a radical initiator: a. Draw a plausible mechanism for this process, showing the initiation and propagation
> When an acyl peroxide undergoes homolytic bond cleavage, the radicals produced can liberate carbon dioxide to form alkyl radicals: Using this information, provide a mechanism of formation for each of the following products: R + CO2 or hv
> When butane reacts with Br2 in the presence of Cl2, both brominated and chlorinated products are obtained. Under such conditions, the usual selectivity of bromination is not observed. In other words, the ratio of 2-bromobutane to 1-bromobutane is very si
> A compound with the molecular formula C12H24 exhibits a 1H NMR spectrum with only one signal and a 13C NMR spectrum with two signals. Deduce the structure of this compound.
> Compound A has the molecular formula C5H11Br. When compound A is treated with bromine in the presence of UV light, the major product is 2,2-dibromopentane. Treatment of compound A with NaSH (a strong nucleophile) produces a compound with one chiral cente
> The initiation step for radical addition of HBr is highly endothermic: a. Explain how this step can be thermodynamically favorable at high temperature even though it is endothermic. b. Explain why this step is not thermodynamically favorable at low tem
> Consider the following two compounds. Monochlorination of one of these compounds produces twice as many stereoisomeric products as the other. Draw the products in each case and identify which compound yields more products upon chlorination.
> Propose an efficient synthesis for each of the following transformations. You might find it useful to review Section 10.13 before attempting to solve these problems. (a) (b) Br En (c) (d) Br (e)
> The following sequence of reactions was employed during a synthesis of the sex pheromone of the dermestid beetle. The conversion of compound 5 to compound 6 involves the removal of the THP group (ROTHP → ROH), which is accomplished in a
> Methyl 4-methylpentanoate is one of 120 volatile compounds identified in a study of metabolites from Streptomyces bacteria. Propose a synthesis of this ester starting from 2-methylbutane. Methyl 4-methylpentanoate
> When a consumer purchases a tomato, smell is one of the factors affecting selection. Researchers in Japan have thus analyzed the volatile components of tomatoes using a novel method. Among the complex mixture of 367 compounds detected were 3-methylbutana
> The compound (Z)-hexenyl acetate is one of several volatile organic signaling compounds released from Arabidopsis leaves when they are damaged. Propose a synthesis of this compound using ethylene (H2C=CH2) and acetic acid (CH3CO2H) as your only sources o
> In a study measuring the volatile components of 150 pounds of fried chicken, a total of 130 distinct compounds were identified, including the linear alkane tetradecane. Propose a synthesis of this compound using acetylene as your only source of carbon at
> The aroma, taste, and general quality of wine are tied closely to the stage of development of the grapes from which it is made. In order to develop a molecular-level understanding of this phenomenon, the volatile components of cabernet sauvignon grapes w
> A compound with the molecular formula shown below exhibits a 1H NMR spectrum with only one signal. Deduce the structure in each case. a. C5H10 b. C5H8Cl4 c. C12H18
> Compound A has the molecular formula C5H12, and monobromination of compound A produces only compound B. When compound B is treated with a strong base, a mixture is obtained containing compound C and compound D. Using this information, answer the followin
> Draw the propagation steps that achieve the autooxidation of diethyl ether to form a hydroperoxide: OOH Diethyl ether A hydroperoxide
> Identify all products expected for each of the following reactions. Take stereochemistry into account and draw expected stereoisomer(s), if any: NBS, hv ? NBS hv ? (a) (b)
> Odor is one of the principal criteria used by consumers when purchasing food products such as fish. Researchers thus compared relative amounts of various volatile substances present in samples of European freshwater catfish raised in an indoor concrete p
> Kakkon is the root of an Asian plant that has traditionally been used in Chinese medicine. It smells fruity, winey, and medicinal. A study of the volatile components of kakkon (those responsible for the scent) resulted in the identification of 33 compoun
> In a study of volatile compounds extracted from cinnamon trees native to Sri Lanka, 27 compounds were identified, including3-phenylpropyl acetate. Propose a multiple-step synthesis of this compound using toluene and any two-carbon reactants as your only
> Starting with acetylene as your only source of carbon atoms, propose a plausible synthesis for 1,4-dioxane: 1,4-Dioxane
> Starting with acetylene as your only source of carbon atoms, identify how you would prepare each member of the following homologous series of aldehydes: a. CH3CHO b. CH3CH2CHO c. CH3CH2CH2CHO d. CH3CH2CH2CH2CHO
> Identify reagents that you could use to achieve the following transformation: Br HO En
> In the previous problem, we saw that an acetylide ion can attack a variety of electrophiles. In Chapter 19, we will see that a C=O bond can also function as an electrophile. Consider the following reaction between an acetylide ion (the nucleophile) and a
> Small organic molecules known as plasticizers are added to polymers to make them soft and flexible. Many phthalates commonly used as plasticizers have been banned from use in children’s toys due to their potential for adverse health eff
> In this chapter, we have seen that an acetylide ion can function as a nucleophile and attack an alkyl halide in an SN2 process. More generally speaking, the acetylide ion can attack other electrophiles as well. For example, we will see in Chapter 13 that
> Propose an efficient synthesis for the following transformation (many steps are required): OH но
> Propose an efficient synthesis for each of the following transformations: X-X, Br. Br (а) Br H (b) Br
> Using acetylene as your only source of carbon atoms, design a synthesis of pentanal (Note: pentanal has an odd number of carbon atoms, while acetylene has an even number of carbon atoms): H. エ
> Using acetylene as your only source of carbon atoms, design a synthesis of cis-3-decene:
> Using acetylene as your only source of carbon atoms, design a synthesis of trans-5-decene:
> Propose an efficient synthesis for each of the following transformations: (a) (b) (c) HO. (d) H. (е)
> Using any compounds that contain two carbon atoms or fewer, show a way to prepare a racemic mixture of (2R,3S)- and (2S,3R)-2,3- dihydroxypentane.
> Using any compounds that contain two carbon atoms or fewer, show a way to prepare a racemic mixture of (2R,3R)-2,3- dihydroxypentane and (2S,3S)-2,3-dihydroxypentane.
> A compound with the molecular formula C7H14O exhibits the following 13C NMR spectra: Several structures are consistent with these spectra. To determine which structure is correct, a 1H NMR spectrum was acquired which exhibits five signals. One of those
> Identify the structure of a compound with the molecular formula C5H12 that exhibits only one kind of proton. That is, all 12 protons are chemically equivalent.
> Identify reagents that you could use to convert 2-bromo2-methylbutane into 3-methyl-1-butyne.
> Using any reagents you like, show a way to convert 1-methylcyclopentene into 3-methylcyclopentene.
> Propose an efficient synthesis for each of the following transformations: OH (a) он (b)
> Using acetylene as your only source of carbon atoms, identify a synthetic route for the production of 1-bromobutane.
> Using acetylene as your only source of carbon atoms, identify a synthetic route for the production of 2-bromobutane.
> Identify reagents that can be used to achieve each of the following transformations: Br CH, H Br Br Br Br- Br, Br Br Br Br Br O=0=0
> Identify reagents that can be used to achieve each of the following transformations: Br OH Br OH HO. OH -Br Br Br
> A study of compounds contained in the gas phase above a range of bacterial strains revealed the presence of 254 unique volatile organic compounds representing a broad range of structural classes. The two isomers below were among the compounds identified.
> Propose an efficient synthesis for each of the following transformations: Br (a) он (Ь) Br Br | (c) (d) он Br. Br (f) он Br En OH (h)
> Latrunculin B is a marine natural product that was first isolated from the Red Sea sponge Latrunculia magnifica. Latrunculins are toxic to eukaryotic cells (cells that have a welldefined nucleus) by disrupting normal cellular structure. In a reported syn
> Determine the structure of an alcohol with the molecular formula C5H12O that exhibits the following signals in its 13C NMR spectra: a. Broadband decoupled: 73.8 δ, 29.1 δ, and 9.5 δ b. DEPT-90: 73.8 δ c. DEPT-135: positive signals at 73.8 δ and 9.5 δ;
> Identify reagents that can be used to achieve each of the following transformations: (a) (b) Br Br (c) (d) Он H. (e) (f)
> As we will see in Chapter 26, steroids are a class of organic compounds containing a specific tetracyclic skeleton (four rings), as seen in the compounds shown below. During efforts2 to synthesize a steroid that was isolated from the Atlantic starfish, t
> Identify reagents that can be used to achieve each of the following transformations: Br (b) (c)
> The isocoumarins are a class of natural products that are structurally related to isocoumarin, shown below. They have been isolated from many sources, including bacteria, fungi, and plants. Artemidin is an isocoumarin isolated from the tarragon plant (Ar
> Propose an efficient synthesis for each of the following transformations: Br Br (a) (b) (c) (d) Br OH (e) (f) OH OH он он Br LOH (g) (h)
> Identify reagents that can be used to accomplish each of the following transformations. If you are having trouble, the reagents for these transformations appear in the review of reactions at the end of Chapter 9, but you should first try to identify the
> Identify reagents that can be used to accomplish each of the transformations shown below. If you are having trouble, the reagents for these transformations appear in the review of reactions at the end of Chapter 8, but you should first try to identify th
> Natural products that contain the N-1,1-dimethyl-2-propenyl group (called an N-reverse prenyl group) often exhibit antitumor or antifungal activity. The synthesis of a particular N-reverse prenylated indole antifungal compound begins with the two steps s
> Roquefortine C belongs to a class of natural products, called roquefortines, first isolated from cultures of the fungus Penicillium roqueforti. Roquefortine C, which is also present in blue cheese, exhibits bacteriostatic activity (it prevents bacteria f
> Compound X has the molecular formula C7H14. Hydrogenation of compound X produces 2,4-dimethylpentane. Hydroborationoxidation of compound X produces a racemic mixture of 2,4-dimethyl1-pentanol (shown below). Predict the major product(s) obtained when comp
> Determine the structure of a compound with the molecular formula C5H10O that exhibits the following broadband-decoupled and DEPT-135 spectra. The DEPT-90 spectrum has no signals. Broadband-decoupled 220 200 180 160 140 120 100 80 60 40 20 DEPT-135 22
> Suggest an efficient synthesis for the following transformation: OH + En Br
> Compound X has the molecular formula C5H10. In the presence of a metal catalyst, compound X reacts with one equivalent of molecular hydrogen to yield 2-methylbutane. a. Suggest three possible structures for compound X. b. Hydroboration-oxidation of com
> Using acetylene and 2-methylpropane as your only sources of carbon atoms, propose a plausible synthesis for CH3COCH2CH(CH3)2. You will need to utilize many reactions from previous chapters.
> How many constitutional isomers are obtained when each of the following compounds undergoes monochlorination? (a) (b) (c) (d) (e) (f) (g) (h)
> The rate at which two methyl radicals couple to form ethane is significantly faster than the rate at which two tert-butyl radicals couple. Offer two explanations for this observation.
> Consider the structure of the following compound: a. When this compound is treated with bromine under conditions that favor monobromination, two stereoisomeric products are obtained. Draw them and identify whether they are enantiomers or diastereomers.
> When 2-methylpropane is treated with bromine in the presence of UV light, one product predominates. a. Identify the structure of the product. b. Draw the structure of the expected minor product. c. Draw a mechanism for formation of the major product.
> Draw the products obtained when 3,3,6-trimethylcyclohexene is treated with NBS and irradiated with UV light.
> Predict the major product(s) obtained upon bromination of (S)-3-methylhexane.
> Identify the major product(s) for each of the following reactions. If any of the reactions do not yield a product, indicate “no reaction.” ? ? Br2 hv (a) (b) ? Cl, NBS, hv hv (c) (d) ? ? hv NBS, hv (e) (f)
> The hydronaphthacene ring system consists of five fused six-membered rings, as shown below in compounds 3 and 4. One method for construction of this ring system involves treatment of compound 1 with a Fischer carbene such as 2. Two diastereomeric product
> For each of the products shown in the following reaction, propose a mechanism that explains its formation: Br NBS hv Br-
> Triphenylmethane readily undergoes autooxidation to produce a hydroperoxide: a. Draw the expected hydroperoxide. b. Explain why triphenylmethane is so susceptible to autooxidation. c. In the presence of phenol (C6H5OH), triphenylmethane undergoes auto
> AIBN is an azo compound (a compound with a N=N double bond) that is often used as a radical initiator. Upon heating, AIBN liberates nitrogen gas to produce two identical radicals: a. Give two reasons why these radicals are so stable. b. Explain why the
> When ethylbenzene is treated with one equivalent of NBS and irradiated with UV light, two stereoisomeric compounds are obtained in equal amounts. Draw the products and explain why they are obtained in equal amounts. NBS hv two products
> There are three constitutional isomers with the molecular formula C5H12. Chlorination of one of these isomers yields only one product. Identify the isomer and draw the product of chlorination.
> When isopropylbenzene (cumene) is treated with NBS and irradiated with UV light, only one product is obtained. Propose a mechanism and explain why only one product is formed. Br NBS hv
> Draw all resonance structures of the radical produced when a hydrogen atom is abstracted from the OH group in BHT: он Butylated hydroxytoluene (BHT)
> Compound A has the molecular formula C5H12 and undergoes monochlorination to produce four different constitutional isomers. a. Draw the structure of compound A. b. Draw all four monochlorination products. c. If compound A undergoes monobromination (in
> Consider all of the different types of C−H bonds in cyclopentene and rank them in order of increasing bond strength: H H H
> Draw all resonance structures for each of the following radicals: (a) (b) „CO (d) (e)
> For each of the following compounds, predict the number of signals and location of each signal in a 13C NMR spectrum: (a) H (b) (c) (d) (e) (f) (g) (h) (i) (j)
> There are 20 commonly occurring amino acids from which all proteins are derived (as will be discussed in Chapter 25), although many other less common amino acids have been isolated from natural sources. Valine is one of the 20 common amino acids, and it
> Predict the products for each reaction. In each case, be sure to consider whether a chiral center is being generated, and then draw all expected stereoisomers. HBr ROOR ? HBr ROOR ? (a) (b) HBr ROOR ? HBr ROOR ? (c) (d) HBr ROOR ? HBr ROOR ? (e) (f)
> Compare the structure of vitamin E with the structures of BHT and BHA, and then determine which hydrogen atom is most easily abstracted from vitamin E.
> Most supersonic planes produce exhaust of hot gases containing many compounds, including nitric oxide (NO). Nitric oxide is a radical that is believed to play a role in ozone depletion. Propose propagation steps that show how nitric oxide can destroy ozo
> GABA, or gamma (γ)-amino butyric acid, is a neurotransmitter (a chemical that is used to send signals from one neuron to another) of the mammalian central nervous system. In order to understand how GABA works, conformationally restricted anal