Prove equations (32.15), (32.16), and (32.17).

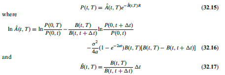
P(t, T') = Â(t, T)e- -t-T)R (32.15) where In Â(t, T) = In- P(0, T) B(t, T) P(0, t + At) -In- P(0, t) B(t, t +At) P(0, t) (1— е 2а) в(t, Т)В(, Т) — В(t, г + д)) (32.16) 4a and B(t, T') = - B(t, T) At (32.17) B(t, t+At)
> Use DerivaGem to calculate the value of: (a) A regular European call option on a non-dividend-paying stock where the stock price is $50, the strike price is $50, the risk-free rate is 5% per annum, the volatility is 30%, and the time to maturity is one y
> Estimate the value of a new 6-month European-style average price call option on a non-dividend- paying stock. The initial stock price is $30, the strike price is $30, the risk-free interest rate is 5%, and the stock price volatility is 30%.
> A new European-style floating lookback call option on a stock index has a maturity of 9 months. The current level of the index is 400, the risk-free rate is 6% per annum, the dividend yield on the index is 4% per annum, and the volatility of the index is
> Describe the payoff from a portfolio consisting of a floating lookback call and a floating lookback put with the same maturity.
> What is the value of a derivative that pays off $100 in 6 months if an index is greater than 1,000 and zero otherwise? Assume that the current level of the index is 960, the risk-free rate is 8% per annum, the dividend yield on the index is 3% per annum,
> Does a floating lookback call become more valuable or less valuable as we increase the frequency with which we observe the asset price in calculating the minimum?
> Is a European down-and-out option on an asset worth the same as a European down and out option on the asset’s futures price for a futures contract maturing at the same time as the option?
> What is the value of the swap in Problem 25.8 per dollar of notional principal to the protection buyer if the credit default swap spread is 150 basis points? 25.8. Suppose that the risk-free zero curve is flat at 7% per annum with continuous compounding
> Explain the term ‘‘single-tranche trading.’’
> Suppose that the spread between the yield on a 3-year zero-coupon riskless bond and a 3-year zero-coupon bond issued by a corporation is 1%. By how much does Black– Scholes–Merton overstate the value of a 3-year European option sold by the corporation.
> Explain carefully the distinction between real-world and risk-neutral default probabilities. Which is higher? A bank enters into a credit derivative where it agrees to pay $100 at the end of 1 year if a certain company’s credit rating f
> Show that under Merton’s model in Section 24.6 the credit spread on a T-year zero coupon bond is, where.
> What is the difference between a total return swap and an asset swap?
> Why does the credit exposure on a matched pair of forward contracts resemble a straddle?
> A company enters into a total return swap where it receives the return on a corporate bond paying a coupon of 5% and pays LIBOR. Explain the difference between this and a regular swap where 5% is exchanged for LIBOR.
> Suppose that a financial institution has entered into a swap dependent on the sterling interest rate with counterparty X and an exactly offsetting swap with counterparty Y. Which of the following statements are true and which are false? Explain your answ
> Explain the difference between a cash CDO and a synthetic CDO.
> What is the formula relating the payoff on a CDS to the notional principal and the recovery rate?
> A company can buy an option for the delivery of 1 million units of a commodity in 3 years at $25 per unit. The 3-year futures price is $24. The risk-free interest rate is 5% per annum with continuous compounding and the volatility of the futures price is
> The correlation between a company’s gross revenue and the market index is 0.2. The excess return of the market over the risk-free rate is 6% and the volatility of the market index is 18%. What is the market price of risk for the company’s revenue?
> Would you expect the volatility of the 1-year forward price of oil to be greater than or less than the volatility of the spot price? Explain your answer.
> A company has 1- and 2-year bonds outstanding, each providing a coupon of 8% per year payable annually. The yields on the bonds (expressed with continuous compounding) are 6.0% and 6.6%, respectively. Risk-free rates are 4.5% for all maturities. The reco
> ‘‘HDD and CDD can be regarded as payoffs from options on temperature.’’ Explain this statement.
> Why is the historical data approach appropriate for pricing a weather derivatives contract and a CAT bond?
> Why is the price of electricity more volatile than that of other energy sources?
> Suppose that each day during July the minimum temperature is Fahrenheit and the maximum temperature is Fahrenheit. What is the payoff from a call option on the cumulative CDD during July with a strike of 250 and a payment rate of $5,000 per degree-day
> How is a typical natural gas forward contract structured?
> Consider a commodity with constant volatility and an expected growth rate that is a function solely of time. Show that, in the traditional risk-neutral world, where is the value of the commodity at time T, is the futures price at time 0 for a contr
> How can an energy producer use derivatives markets to hedge risks?
> What are the characteristics of an energy source where the price has a very high volatility and a very high rate of mean reversion? Give an example of such an energy source.
> What is meant by HDD and CDD?
> Explain why a plain vanilla interest rate swap and the compounding swap in Section 34.2 can be valued using the ‘‘assume forward rates are realized’’ rule, but a LIBOR-in-arrears swap in Section 34.4 cannot.
> Suppose a 3-year corporate bond provides a coupon of 7% per year payable semiannually and has a yield of 5% (expressed with semiannual compounding). The yields for all maturities on risk-free bonds is 4% per annum (expressed with semiannual compounding).
> What is the value of a 5-year swap where LIBOR is paid in the usual way and in return LIBOR compounded at LIBOR is received on the other side? The principal on both sides is $100 million. Payment dates on the pay side and compounding dates on the receive
> What is the value of a 2-year fixed-for-floating compounding swap where the principal is $100 million and payments are made semiannually? Fixed interest is received and floating is paid. The fixed rate is 8% and it is compounded at 8.3% (both semiannuall
> Suppose that a swap specifies that a fixed rate is exchanged for twice the LIBOR rate. Can the swap be valued using the ‘‘assume forward rates are realized’’ rule?
> Explain why IOs and POs have opposite sensitivities to the rate of prepayments.
> Show that equation (33.10) reduces to (33.4) as the tend to zero. dFt) F(t) (33.10) 1+ 8, F;(t)
> What is the advantage of LMM over HJM?
> Prove the relationship between the drift and volatility of the forward rate for the multifactor version of HJM in equation (33.6). m(t, T,2.) = Esa{t, T, 2.) salt, 7, 2,) dr (33.6)
> Show that the swap volatility expression (33.19) in Section 33.2 is correct. To rN-1 M dt (33.19) To Jt-0 1+ TEmGkm (0)
> Prove the formula for the variance of the swap rate in equation (33.17). PrN-1 (33.17) 1+ G¿(t) where +
> Prove equation (33.15). dFt) Σ dt + (33.15) Filt) 1+ 8, F;(t) (t)
> The LIBOR/swap curve is flat at 3% with continuous compounding and a 4-year bond with a coupon of 4% per annum (paid semiannually) sells for 101. How would an asset swap on the bond be structured? What is the asset swap spread?
> Explain the difference between a Markov and a non-Markov model of the short rate.
> In the Hull–White model, a = 0:08 and . Calculate the price of a 1-year European call option on a zero-coupon bond that will mature in 5 years when the term structure is flat at 10%, the principal of the bond is $100, and the strike price is $68.
> Use the answer to Problem 32.5 and put–call parity arguments to calculate the price of a put option that has the same terms as the call option in Problem 32.5.
> Suppose that a =0:1, b =0:08, and in Vasicek’s model, with the initial value of the short rate being 5%. Calculate the price of a 1-year European call option on a zero-coupon bond with a principal of $100 that matures in 3 years when the strike price is
> Can the approach described in Section 32.2 for decomposing an option on a coupon-bearing bond into a portfolio of options on zero-coupon bonds be used in conjunction with a two-factor model? Explain your answer.
> Use the DerivaGem software to value , , , and European swap options to receive fixed and pay floating. Assume that the 1-, 2-, 3-, 4-, and 5-year interest rates are 6%, 5.5%, 6%, 6.5%, and 7%, respectively. The payment frequency on the swap is semian
> What does the calibration of a one-factor term structure model involve?
> Calculate the price of a 2-year zero-coupon bond from the tree in Figure 32.4. Figure 32.4 Example of the use of trinomial interest rate trees. Upper number at each node is rate; lower number is value of instrument. E 14% 3 12% F 12% B 1.11 10% 10%
> Suppose that a =0:1 and b=0:1 and in both the Vasicek and the Cox, Ingersoll, Ross model. In both models, the initial short rate is 10% and the initial standard deviation of the short-rate change in a short time is . Compare the prices given by the mo
> Suppose that the risk-free zero curve is flat at 6% per annum with continuous compounding and that defaults can occur at times 0.25 years, 0.75 years, 1.25 years, and 1.75 years in a 2-year plain vanilla credit default swap with semiannual payments. Supp
> Observations spaced at intervals t are taken on the short rate. The ith observation is ri (1 ≤ i ≤ m). Show that the maximum-likelihood estimates of a, b*, and in Vasicek’s model are given by maximizing
> a) What is the second partial derivative of P(t,T) with respect to r in the Vasicek and CIR models? (b) In Section 31.2, is presented as an alternative to the usual duration measure, D. What is a similar alternative, , to the convexity measure in Secti
> Explain whether any convexity or timing adjustments are necessary when: (a) We wish to value a spread option that pays off every quarter the excess (if any) of the 5-year swap rate over the 3-month LIBOR rate applied to a principal of $100. The payoff oc
> If the yield volatility for a 5-year put option on a bond maturing in 10 years’ time is specified as 22%, how should the option be valued? Assume that, based on today’s interest rates the modified duration of the bond at the maturity of the option will
> Calculate the price of an option that caps the 3-month rate, starting in 15 months’ time, at 13% (quoted with quarterly compounding) on a principal amount of $1,000. The forward interest rate for the period in question is 12% per annum (quoted with quart
> Use the Black’s model to value a 1-year European put option on a 10-year bond. Assume that the current cash price of the bond is $125, the strike price is $110, the 1-year risk-free interest rate is 10% per annum, the bond’s forward price volatility is 8
> Suppose that the yield R on a zero-coupon bond follows the process where and are functions of R and t, and dz is a Wiener process. Use Itoˆ ’s lemma to show that the volatility of the zero-coupon bond price declines to zero as it approaches maturity.
> When a bond’s price is lognormal can the bond’s yield be negative? Explain your answer.
> A company caps 3-month LIBOR at 2% per annum. The principal amount is $20 million. On a reset date, 3-month LIBOR is 4% per annum. What payment would this lead to under the cap? When would the payment be made?
> Suppose that an interest rate x follows the process where a, x0, and c are positive constants. Suppose further that the market price of risk for x is . What is the process for x in the traditional risk-neutral world?
> A new European-style floating lookback call option on a stock index has a maturity of 9 months. The current level of the index is 400, the risk-free rate is 6% per annum, the dividend yield on the index is 4% per annum, and the volatility of the index is
> Consider two securities both of which are dependent on the same market variable. The expected returns from the securities are 8% and 12%. The volatility of the first security is 15%. The instantaneous risk-free rate is 4%. What is the volatility of the s
> Show that when w = h/g and h and g are each dependent on n Wiener processes, the ith component of the volatility of w is the ith component of the volatility of h minus the ith component of the volatility of g. Use this to prove the result that if is t
> Prove the result in Section 28.5 that when and with the dzi uncorrelated, f/g is a martingale for (Hint: Start by using equation (14A.11) to get the processes for ln f and ln g.)
> How is the market price of risk defined for a variable that is not the price of an investment asset?
> ‘‘The IVF model does not necessarily get the evolution of the volatility surface correct.’’ Explain this statement.
> Write down the equations for simulating the path followed by the asset price in the stochastic volatility model in equations (27.2) and (27.3). ds/s = (r - q) dt + Vī dzs dV = a(V1 – V)dt +§Vª dzv (27.2) (27.3) %3D
> Suppose that the volatility of an asset will be 20% from month 0 to month 6, 22% from month 6 to month 12, and 24% from month 12 to month 24. What volatility should be used in Black–Scholes–Merton to value a 2-year option?
> Confirm that the CEV model formulas satisfy put–call parity.
> Explain why a down-and-out put is worth zero when the barrier is greater than the strike price.
> Section 26.9 gives two formulas for a down-and-out call. The first applies to the situation where the barrier, H, is less than or equal to the strike price, K. The second applies to the situation where . Show that the two formulas are the same when H= K
> Estimate parameters for EWMA and GARCH(1, 1) from data on the euro–USD exchange rate between July 27, 2005, and July 27, 2010. This data can be found on the author’s website: www-2.rotman.utoronto.ca/hull/data.
> The text derives a decomposition of a particular type of chooser option into a call maturing at time T2 and a put maturing at time T1. Derive an alternative decomposition into a call maturing at time T1 and a put maturing at time T2
> Suppose that c1 and p1 are the prices of a European average price call and a European average price put with strike price K and maturity T, c2 and p2 are the prices of a European average strike call and European average strike put with maturity T, and c3
> Verify that the results in Section 26.2 for the value of a derivative that pays Q when S = H are consistent with those in Section 15.6.
> Value the variance swap in Example 26.4 of Section 26.16 assuming that the implied volatilities for options with strike prices 800, 850, 900, 950, 1,000, 1,050, 1,100, 1,150, 1,200 are 20%, 20.5%, 21%, 21.5%, 22%, 22.5%, 23%, 23.5%, 24%, respectively. /
> Explain adjustments that have to be made when r = q for (a) the valuation formulas for floating lookback call options in Section 26.11 and (b) the formulas for M1 and M2 in Section 26.13.
> What is the relationship between a regular call option, a binary call option, and a gap call option?
> Carry out the analysis in Example 26.4 of Section 26.16 to value the variance swap on the assumption that the life of the swap is 1 month rather than 3 months. //
> The 1-, 2-, 3-, 4-, and 5-year CDS spreads are 100, 120, 135, 145, and 152 basis points, respectively. The risk-free rate is 3% for all maturities, the recovery rate is 35%, and payments are quarterly. Use DerivaGem to calculate the hazard rate each year
> Calculate DVA in Example 24.6. Assume that default can happen in the middle of each month. The default probability of the bank is 0.001 per month for the two years and the recovery rate in the event of a bank default is 40%. Example 24.6 A bank has
> Extend Example 24.6 to calculate CVA when default can happen in the middle of each month. Assume that the default probability per month during the first year is 0.001667 and the default probability per month during the second year is 0.0025. //
> The calculations for the four-index example at the end of Section 23.8 assume that the investments in the DJIA, FTSE 100, CAC 40, and Nikkei 225 are $4 million, $3 million, $1 million, and $2 million, respectively. How do the VaR and ES estimates change
> Suppose that a bank has a total of $10 million of exposures of a certain type. The 1-year probability of default averages 1% and the recovery rate averages 40%. The copula correlation parameter is 0.2. Estimate the 99.5% 1-year credit VaR.
> In Example 25.2, what is the tranche spread for the 6% to 9% tranche assuming a tranche correlation of 0.15? Example 25.2 Consider the mezzanine tranche of iTraxx Europe (5-year maturity) when the copula correlation is 0.15 and the recovery rate is
> Calculate the price of a 1-year European option to give up 100 ounces of silver in exchange for 1 ounce of gold. The current prices of gold and silver are $1,520 and $16, respectively; the risk-free interest rate is 10% per annum; the volatility of each
> Explain why delta hedging is easier for Asian options than for regular options.
> Show that, if there is no recovery from the bond in the event of default, a convertible bond can be valued by assuming that (a) both the expected return and discount rate are r+and (b) there is no chance of default.
> Explain the difference between risk-neutral and real-world default probabilities. Which should be used for valuing CDSs?
> The credit spreads for 1-, 2-, 3-, 4-, and 5-year zero-coupon bonds are 50, 60, 70, 80, and 87 basis points, respectively. The recovery rate is 35%. Estimate the average hazard rate each year.
> In Example 25.2, what is the tranche spread for the 9% to 12% tranche assuming a tranche correlation of 0.15? //
> Calculate the price of a cap on the 90-day LIBOR rate in 9 months’ time when the principal amount is $1,000. Use Black’s model with LIBOR discounting and the following information: (a) The quoted 9-month Eurodollar futures price =92. (Ignore differences
> Modify Sample Application G in the DerivaGem Application Builder software to test the convergence of the price of the trinomial tree when it is used to price a 2-year call option on a 5-year bond with a face value of 100. Suppose that the strike price (q
> Suppose that the parameters in a GARCH (1,1) model are , , and . (a) What is the long-run average volatility? (b) If the current volatility is 1.5% per day, what is your estimate of the volatility in 20, 40, and 60 days? (c) What volatility should be
> What is the difference between the exponentially weighted moving average model and the GARCH(1,1) model for updating volatilities?
> Technical Note 13 at www-2.rotman.utoronto.ca/hull/Technical Notes provides a different approach to valuing lookbacks. Value the lookback in Problem 27.19 using this approach. Show that it gives the same answer as the approach in Section 27.5.