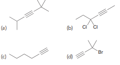
Provide a systematic name for each of the following compounds:


(a) (b) Br (c) (d) (e) (f)
> Most supersonic planes produce exhaust of hot gases containing many compounds, including nitric oxide (NO). Nitric oxide is a radical that is believed to play a role in ozone depletion. Propose propagation steps that show how nitric oxide can destroy ozo
> GABA, or gamma (γ)-amino butyric acid, is a neurotransmitter (a chemical that is used to send signals from one neuron to another) of the mammalian central nervous system. In order to understand how GABA works, conformationally restricted anal
> When 2-methyl-2-butene is treated with NBS and irradiated with UV light, five different monobromination products are obtained, one of which is a racemic mixture of enantiomers. Draw all five monobromination products and identify the product that is obtai
> Predict the products when each of the following compounds is treated with NBS and irradiated with UV light: (a) (b) (c) (d)
> Carbohydrates such as the glucose derivative shown below can serve as useful chiral starting materials for biopolymers and natural product synthesis. Radical bromination of this compound occurs at C1 to give two products. Draw both products, and predict
> Predict the stereochemical outcome of radical bromination of the following alkanes: (a) (b) (c) (d)
> A synthesis of the antibiotic natural product γ-indomycinone involved the halogenation reaction shown below. The major product of the reaction is a monobrominated compound, and a significant amount of a minor, dibrominated compound is also fo
> Neurotransmitters are small molecules that are produced by the body to send messages from one neuron to another. Noradrenaline (also called norepinephrine) and serotonin are neurotransmitters that act in the central nervous system. A synthetic compound c
> Predict the major product obtained upon radical bromination of each of the following compounds: (a) (b) (c)
> Methyl bromide is widely used as a fumigant to prevent the spread of diseases and pests in agricultural products, and it can be prepared from methane via radical bromination. Recently, a new method for preparing methyl bromide was developed, involving ge
> Draw a mechanism for each of the following reactions: a. Chlorination of methylene chloride to produce chloroform b. Chlorination of chloroform to produce carbon tetrachloride c. Chlorination of ethane to produce ethyl chloride d. Chlorination of 1,1
> The genus Aspergillus includes several hundred species of mold, which collectively produce a large number of natural products. Many of these natural products have been found to possess interesting biological properties. Two of these natural products were
> Draw the appropriate fishhook arrows for each of the following radical processes. - + HBr (a) (Ь) Br *CH3 HBr (c) (d) R -R (e) (f)
> The naturally occurring compound (S)-limonene (compound 1 on the right) can be synthetically transformed with radical chemistry into compound 2, which has potent antimalarial activity. 2 Identify the weakest C−H bond in (S)-limonene.
> The C−H bonds shown in red exhibit very similar BDEs, because homolytic cleavage of either bond results in a resonance-stabilized radical. Nevertheless, one of these C−H bonds is weaker than the other. Identify the wea
> Identify the weakest C−H bond in each of the following compounds: (a) (b) (c) (d)
> Stable radicals have been used as biosensors to monitor cellular oxygen levels. One of the first stable radicals to be reported was the triphenylmethyl radical, shown at right. More recently, similar radicals have been prepared in which the hydrogen atom
> 5-Methylcyclopentadiene undergoes homolytic bond cleavage of a C−H bond to form a radical that exhibits five resonance structures. Determine which hydrogen atom is abstracted and draw all five resonance structures of the resulting radic
> A compound with the molecular formula C10H10O4 produces a 1H NMR spectrum that exhibits only two signals, both singlets. One signal appears at 3.9 ppm with a relative integration value of 79. The other signal appears at 8.1 ppm with a relative integratio
> Draw resonance structures for each of the following radicals: (a) (b) (c) (d)
> Rank the following radicals in order of stability: (a) (b)
> The following reaction does not produce the desired product but does produce a product that is a constitutional isomer of the desired product. Draw the product that is obtained and propose a mechanism for its formation: OH OH 1) NaNH, 2) Mel
> A terminal alkyne was treated with NaNH2 followed by propyl iodide. The resulting internal alkyne was treated with ozone followed by water, giving only one type of carboxylic acid. Provide a systematic, IUPAC name for the internal alkyne.
> In the upcoming chapters, we will learn a two-step method for achieving the following transformation. In the meantime, we have already learned reactions that can be used to accomplish this transformation, although more than two steps are required. Identi
> Identify reagents that you would use to achieve the following transformation:
> Draw the structures of compounds A to D: Bra A 1) Excess NaNH2 B 2) H,0 NANH, 2, D (C,H,2)
> Draw the structure of each possible dichloride that can be used to prepare the following alkyne via elimination:
> Propose an efficient synthesis for each of the following transformations: (a) (b) (c)
> Compound A is an alkyne with the molecular formula C5H8. When treated with aqueous sulfuric acid and mercuric sulfate, two different products with the molecular formula C5H10O are obtained in equal amounts. Draw the structure of compound A, and draw the
> Propose a structure that is consistent with each of the following 1H NMR spectra. In each case, the molecular formula is provided. Proton NMR Proton NMR C,H,0 1 ppm 3.5 3.0 2.0 1.5 1.0 ppm (a) 45.1 Integration Values 18.6 19.1 9.1 (b) Integration Val
> An unknown alkyne is treated with ozone (followed by hydrolysis) to yield acetic acid and carbon dioxide. What is the structure of the alkyne?
> 1,2-Dichloropentane reacts with excess sodium amide in liquid ammonia (followed by water workup) to produce compound X. Compound X undergoes acid-catalyzed hydration to produce a ketone. Draw the structure of the ketone produced upon hydration of compoun
> Propose a plausible synthesis for each of the following transformations: (a) (b) Br Br (c) Br Br (d) Ci CI Br (ej Br Br Br (F) CI OH
> Compound A has the molecular formula C7H12. Hydrogenation of compound A produces 2-methylhexane. Hydroboration-oxidation of compound A produces an aldehyde. Draw the structure of compound A and draw the structure of the aldehyde produced upon hydroborati
> Compound A is an alkyne that reacts with two equivalents of H2 in the presence of Pd to give 2,4,6-trimethyloctane. a. Draw the structure of compound A. b. How many chiral centers are present in compound A? c. Identify the locants for the methyl group
> Draw the expected product of each of the following reactions, showing stereochemistry where appropriate: H D NaNH, NH3 ?
> Propose a mechanism for each of the following transformations: Na NH3 () (а) OH H30 (b)
> Draw the structure of an alkyne that can be converted into 3-ethylpentane upon hydrogenation. Provide a systematic name for the alkyne.
> When (R)-4-bromohept-2-yne is treated with H2 in the presence of Pt, the product is optically inactive. Yet, when (R)-4-bromohex-2-yne is treated with the same conditions, the product is optically active. Explain.
> Predict the final product(s) for each sequence of reactions: Br. Br ? 1) Excess NaNH 2) EICI 3) H2. Lindiar's catalyst (a) 1) NaNH, 2) Mel 3) R,BH 4) H.O, NaOH ? H-CEC-H (b) 1) NANH, 2) EtI 3) HgSO. H-CEC-H (c) 1) NaNH2 2) Mel ? H-CEC-H 3) NaNH, (d)
> The familiar odor produced when rain falls on dry soil is called petrichor. One principal component of petrichor is a compound called geosmin (derived from the Greek words for “earth” and “smellâ
> Oleic acid and elaidic acid are isomeric alkenes: Oleic acid, a major component of butter fat, is a colorless liquid at room temperature. Elaidic acid, a major component of partially hydrogenated vegetable oils, is a white solid at room temperature. Ol
> Determine whether or not the following compounds represent a pair of keto-enol tautomers: но OH OH (a) (b)
> Identify which of the following bases can be used to deprotonate a terminal alkyne: a. NaOCH3 b. NaH c. BuLi d. NaOH e. NaNH2
> Identify the reagents you would use to achieve each of the following transformations: Br -Br OH CH,
> Predict the products obtained when 1-pentyne reacts with each of the following reagents: a. H2SO4, H2O, HgSO4 b. R2BH followed by H2O2, NaOH c. Two equivalents of HBr d. One equivalent of HCl e. Two equivalents of Br2 in CCl4 f . NaNH2 in NH3 follo
> Draw the products of each of the following acid-base reactions and then predict the position of equilibrium in each case: NaH + (a) H (b)
> Predict the product for each of the following reactions: H2 Lindlar's ? catalyst ? H2 Pt
> Draw a bond-line structure for each of the following compounds: a. 2-Heptyne b. 2,2-Dimethyl-4-octyne c. 3,3-Diethylcyclodecyne
> Metabolism refers to all of the chemical reactions that occur in living organisms. During studies to understand metabolic pathways in yeast cells, various compounds were made and fed to the cells. In one example, compound 2 was made from compound 1. [Deu
> How would you use 1H NMR spectroscopy to distinguish between the following compounds? (а) (b) но .CI но, (c) (d) CI (е) (f)
> Using ethylene (H2C=CH2) as your only source of carbon atoms, outline a synthesis for 3-hexanone (CH3CH2COCH2CH2CH3).
> Propose an efficient synthesis for each of the following transformations: H (a) L- (Ь) OH но. (c) (d) Br. Br En (e) Br (f)
> (−)-Lepadiformine A, isolated from the marine organism Clavelina lepadiformis, is observed to be toxic to several tumor cell lines. During a recent synthesis of (−)-lepadiformine A, compound 3 was made from compounds 1
> Starting with acetylene, show reagents that you would use to prepare each of the following compounds: a. 1-Butyne b. 2-Butyne c. 3-Hexyne d. 2-Hexyne e. 1-Hexyne f. 2-Heptyne g. 3-Heptyne h. 2-Octyne i. 2-Pentyne - (k) (i)
> An alkyne with the molecular formula C4H6 was treated with ozone followed by water to produce a carboxylic acid and carbon dioxide. Draw the expected product when the alkyne is treated with aqueous acid in the presence of mercuric sulfate.
> An alkyne with the molecular formula C6H10 was treated with ozone followed by water to produce only one type of carboxylic acid. Draw the structure of the starting alkyne and the product of ozonolysis.
> Draw the major products that are expected when each of the following alkynes is treated with O3 followed by H2O: (a) (b) (c) (d)
> Proteases are enzymes that can break covalent bonds in proteins. Proteases play major roles in the regulation of biological processes, so compounds that inhibit their function, called protease inhibitors, have potential as therapeutic agents. While prepa
> Identify reagents that you could use to achieve each of the following transformations: (а) (b)
> Identify the alkyne you would use to prepare each of the following compounds via hydroboration-oxidation: (a) H. (b) (c)
> Gamma-hydroxybutyric acid (GHB) is used in the treatment of excessive daytime sleepiness (narcolepsy), but when mixed with alcohol, it can cause loss of consciousness, which explains why it is sometimes referred to as a “date rape drug.
> Butane (C4H10) exhibits only two different kinds of protons, shown here in red and blue. a. Explain why all four protons shown in red are chemically equivalent. b. Explain why all six protons shown in blue are chemically equivalent. c. How many differ
> Draw the major product for each of the following reactions: ? 1) 9-BBN 2) H,O,, NaOH (a) 1) Disiamylborane 2) H,O, NaOH (b) 1) R,BH 2) Н,О. NaOH (c)
> Identify the alkyne you would use to prepare each of the following ketones via acid-catalyzed hydration: (a) (b) (с)
> Draw the major product(s) expected when each of the following alkynes is treated with aqueous acid in the presence of mercuric sulfate (HgSO4): (a) (b) (c) (d)
> Warfarin is a blood-thinning drug (anticoagulant) that is used to prevent heart attacks and strokes. Including stereoisomers, there are at least 40 distinct tautomer forms of warfarin. Shown below are two enol forms of warfarin. Draw a tautomer form of w
> The following enols cannot be isolated. They rapidly tautomerize to produce ketones. In each case, draw the expected ketone and show a mechanism for its formation under acid-catalyzed conditions (H3O+). он он но OH (а) (Ь) (с) (d)
> An alkyne with the molecular formula C5H8 is treated with excess HBr, and two different products are obtained, each of which has the molecular formula C5H10Br2. a. Identify the starting alkyne. b. Identify the two products.
> Suggest reagents that would achieve the following transformation: .CI CI
> Predict the major product(s) expected for each of the following reactions: 1) xs NANH,NH, ? 2) H,0 CI , ? HC HBr (a) (b) (c) Br Br CI 1) xs NANH, NH, ? 1) xs NANH, NH, ? ? 1) xs NaNH NH, 2) H,0 3) HBr, ROOR O'HE 3) xs HBr 2) H,0 (e)
> An alkyne with the molecular formula C5H8 was treated with sodium in liquid ammonia to give a disubstituted alkene. Draw the structure of the alkene.
> Identify reagents that you could use to achieve each of the following transformations: (a) (b)
> Draw the expected 1H NMR spectrum for each of the following compounds: (а) H (b) H.
> Draw the major product expected when each of the following alkynes is treated with sodium in liquid ammonia: (al (b) (c) (d)
> Draw the major product expected from each of the following reactions: H2 Lindlar's catalyst ? H2 Pt (a) ? H2 NigB ? H2 (b) Ni
> When 3,3-dichloropentane is treated with excess sodium amide in liquid ammonia, the initial product is 2-pentyne: H H CI H H I ! ! !! н-с-с-с—с-с-н нн H xs NaNH, H-Ç-Ç-CEC-Ç-H H H ČI H H H 2-Pentyne
> For each of the following transformations, predict the major product and draw a mechanism for its formation: CI ? 1) xs NaNH, NH, 2) H,0 ? 1) xs NANHNH, -Br 2) HO (a) Br (b)
> Treatment of acetylene with a suitable base affords lithium acetylide, which was used as a reagent in a partial synthesis of the antitumor natural product (+)-acutiphycin. a. Draw the structure of lithium acetylide, and show a mechanism for its formatio
> In each of the following cases, determine if the base is sufficiently strong to deprotonate the terminal alkyne: + NaNH2 (a) H (Ь) NaH t-BUOK (c) H
> (+)-Citronellal is the main compound responsible for the lemon scent of citronella oil. In addition to its well-known insect repellant properties, it also has some antifungal properties. (+)-Citronellal also has been used as a starting material to make c
> When naming cycloalkynes that lack any other functional groups, the triple bond does not require a locant, because it is assumed to be between C1 and C2. Draw the structure of (R)-3-methylcyclononyne.
> Draw a bond-line structure for each of the following compounds: a. 4,4-Dimethyl-2-pentyne b. 5-Ethyl-2,5-dimethyl-3-heptyne
> Provide a systematic name for each of the following compounds: (a) (b) (0) (f) (g) CCla
> Each of the three vinylic protons of styrene is split by the other two, and the J values are found to be Jab=11 Hz, Jac=17 Hz, and Jbc=1 Hz. Using this information, draw the expected splitting pattern for each of the three signals (Ha, Hb, and Hc). H
> Propose a plausible mechanism for each of the following reactions: [H,SO (a) но Conc. H,S04 HO (b) о
> Muscalure is the sex pheromone of the common housefly and has the molecular formula C23H46. When treated with O3 followed by DMS, the following two compounds are produced. Draw two possible structures for muscalure. H. H.
> Compound Y has the molecular formula C7H12. Hydrogenation of compound Y produces methylcyclohexane. Treatment of compound Y with HBr in the presence of peroxides produces the following compound: Predict the products when compound Y undergoes ozonolysis
> When (R)-2-chloro-3-methylbutane is treated with potassium tert-butoxide, a monosubstituted alkene is obtained. When this alkene is treated with HBr, a mixture of products is obtained. Draw all of the expected products.
> The accepted mechanism for the following transformation involves a carbocation rearrangement. Rather than occurring via a methyl shift or a hydride shift, a carbon atom of the ring migrates, thereby converting a secondary carbocation into a more stable,
> When 1-methoxy-2-methylpropene is treated with HCl, the major product is 1-chloro-1-methoxy-2-methylpropane. Although this reaction proceeds via an ionic mechanism, the Cl is ultimately positioned at the less substituted carbon. Draw a mechanism that is
> Identify the reagents you would use to accomplish each of the following transformations: a. Convert 2-methyl-2-butene into a monosubstituted alkene b. Convert 2,3-dimethyl-1-hexene into a tetrasubstituted alkene
> Identify the reagents you would use to achieve each of the following transformations: a. Convert tert-butyl bromide into a primary alkyl halide b. Convert 2-bromopropane into 1-bromopropane
> Identify what reagents you would use to achieve each transformation: a. Conversion of 2-methyl-2-butene into a secondary alkyl halide b. Conversion of 2-methyl-2-butene into a tertiary alkyl halide c. Conversion of cis-2-butene into a meso diol d. Co
> In much the same way that they react with H2, alkenes also react with D2 (deuterium is an isotope of hydrogen). Use this information to predict the product(s) of the following reaction: Pt
> Below are NMR spectra of several compounds. Identify whether these compounds are likely to contain ethyl, isopropyl, and/or tert-butyl groups: Proton NMR CgH12 6 2 5.0 4.5 4.0 3.5 3.0 2.5 2.0 1.5 1.0 0.5 Chemical Shift (ppm) Chemical Shift (ppm) Prot
> Compound A has the molecular formula C5H10. Hydroborationoxidation of compound A produces an alcohol with no chiral centers. Draw two possible structures for compound A.
> Predict the major product(s) of the following reaction: Br2 H2S ?
> Identify which of the following two reactions you would expect to occur more rapidly: 1. addition of HBr to 2-methyl-2-pentene or 2. addition of HBr to 4-methyl-1-pentene. Explain your choice.
> Identify the reagents you would use to accomplish each of the following transformations: Br но. но OH Br OH Br OH OH En OH OH + En