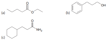
Starting with diethyl malonate and using any other reagents of your choice, propose an efficient synthesis for each of the following compounds:

(a) (b) NH2 (c)
> During studies directed toward the synthesis of atropurpuran, a diterpene with interesting molecular architecture, the investigators used high temperature to convert an acyclic tetraene into a tricyclic compound, shown below. This transformation is belie
> During the first total synthesis of chelidonine, a cytotoxic natural product isolated from the root of Chelidonium majus, the investigators used only heat to achieve the following transformation.7 This transformation is believed to occur via two successi
> Predict the major product of the following Diels–Alder reaction, making sure to consider the regiochemical outcome as well as the stereochemical outcome. ?
> Propose a plausible mechanism for the following transformation. (Hint: Only two sequential pericyclic reactions are required.) Heat
> Would you expect nitroethylene to be more or less reactive than ethylene in a Diels–Alder reaction? (Hint: Draw the resonance structures of nitroethylene.) Ethylene Nitroethylene
> Starting with 1,3-butadiene as your only source of carbon atoms and using any other reagents of your choice, design a synthesis of the following compound: H. En CH3
> Draw all possible conjugated dienes with the molecular formula C6H10, taking special care not to draw the same compound twice.
> Compound A (C7H10) exhibits a λmax of 230 nm in its UV absorption spectrum. Upon hydrogenation with a metal catalyst, compound A will react with two equivalents of hydrogen gas. Ozonolysis of compound A yields the following two compounds. Id
> When conducted in a chiral environment (for example, by using a chiral catalyst or adding a chiral auxiliary), an asymmetric aldol reaction can occur that favors the production of a single stereoisomer over others. The aldehyde shown below was used to di
> α-Terpinene is a pleasant-smelling compound present in the essential oil of marjoram, a perennial herb. Upon hydrogenation with a metal catalyst, α-terpinene reacts with two equivalents of hydrogen gas to produce 1-isopropyl-4
> Cholesta-4,6,8(14)-triene, shown below, was isolated from the thigh gland secretion of the male Great Basin Collared Lizard Crotaphytus bicinctores and is believed to be used for communication.6 Using Woodward–Fieser rules, estimate the
> Propose a mechanism for the following transformation:
> Predict the product(s) obtained when benzoquinone is treated with excess butadiene: O: (Excess) +
> Predict the major product for each of the following reactions: ? Heat (a) ? (c) Heat Heat (b)
> When trans-3,4-dimethylcyclobutene is heated, conrotatory ring opening can produce two different products, yet only one is formed. Draw both products, identify which product is formed, and then explain why the other product is not formed.
> Predict which side of the following equilibrium is favored and explain your choice. Heat
> Identify whether the product obtained from each of the following reactions is a meso compound or a pair of enantiomers: a. Irradiation of (2E,4Z,6Z )-4,5-dimethyl-2,4,6-octatriene with UV light. b. Subjecting (2E,4Z,6Z )-4,5-dimethyl-2,4,6-octatriene t
> Predict the product for each of the following electrocyclic reactions: ? Heat hv (a) (b) ? ? Heat hv (c) (d)
> Propose a plausible mechanism for the following transformation: D Heat
> When each of the following ketones is treated with aqueous sodium hydroxide, the aldol product is obtained in poor yields. In these cases, special distillation techniques are used to increase the yield of aldol product. In each case, predict the aldol ad
> When 5-deutero-5-methyl-1,3-cyclopentadiene is warmed to room temperature, it rapidly rearranges, giving an equilibrium mixture containing the original compound as well as two others. Propose a plausible mechanism for the formation of these other two com
> Predict the expected λmax of the following compound:
> Which of the following compounds do you expect to have a longer λmax?
> Rank the following compounds in order of increasing λmax:
> Cyclopentadiene reacts very rapidly in Diels–Alder reactions. In contrast, 1,3-cyclohexadiene reacts more slowly and 1,3-cycloheptadiene is practically unreactive. Can you offer an explanation for this trend?
> Chlordane is a powerful insecticide that was used in the United States during the second half of the twentieth century. Its use was discontinued in 1988 in recognition of its persistence and accumulation in the environment. Identify the reagents you woul
> The following triene reacts with excess maleic anhydride to produce a compound with the molecular formula C14H12O6. Draw the structure of this product (ignoring stereochemistry). Maleic anhydride (excess)
> Identify the reagents you would use to prepare each of the following compounds via a Diels–Alder reaction: CN .COOH CN ČN CHO (a) 'COOH (ь) ČN (с) CHO (d) (e) .COOH + En (g) ČOOH (h)
> Predict the products for each of the following Diels–Alder reactions: HOOC COOH HOOC CN (a) (Ь) (c) (d) CN (е) NC Meo OMe (f)
> The absorbance spectrum of 1,3-butadiene displays an absorption in the UV region (λmax=217 nm), while the absorption spectrum of 1,2-butadiene does not display a similar absorption. Explain.
> Predict the major product obtained when each of the following aldehydes is treated with aqueous sodium hydroxide: (a) (Ь) (c) (d)
> Rank the following dienophiles (from least reactive to most reactive) in terms of reactivity in a Diels–Alder reaction:
> The compound fusarisetin A (isolated from a soil fungus) displays significant anticancer activity without detectable cytotoxicity (toxicity to cells). A key step in a reported synthesis of the enantiomer of fusarisetin A involves a Dieckmann cyclization
> The following sequence, beginning with a cyclic hemiacetal (compound A), was part of a recently reported enantiospecific synthesis of a powerful sex pheromone (currently used in pest management) of the mealybug Pseudococcus viburni: a. Draw the structur
> The natural product (–)-N-methylwelwitindolinone C isothiocyanate is isolated from a blue-green algae and has been identified as a promising compound to treat drug-resistant tumors. Compound X (R = protecting group) was utilized as a ke
> Draw the major product expected when 1,3-butadiene is treated with one equivalent of HBr at 40ºC, and show a mechanism of its formation.
> Draw the major product expected when 1,3-butadiene is treated with one equivalent of HBr at 0ºC, and show a mechanism of its formation.
> Identify the structure of the conjugated diene that will react with one equivalent of HBr to yield a racemic mixture of 3-bromocyclohexene.
> 113. What enolate is formed in this reaction? 114. Which compounds will react with each other in the presence of NaOH to give the following product? 115. Which set of reagents can be used to achieve this transformation? ? (a) OH OH (다) (d) (a)
> In a recent effort to devise a new synthetic pathway for the preparation of useful building blocks for the synthesis of natural products, compound 2 was prepared by treating compound 1 with diethylmalonate in the presence of potassium carbonate. Propose
> The following synthetic step was utilized as part of a recent synthesis of the polycyclic natural product haouamine B. In this reaction, the function of the first reagent (triflic anhydride) is to activate the Michael acceptor that is present in the star
> Identify reagents that can be used to accomplish each of the following transformations (you will need to use reactions from previous chapters): он OEt (a) CI (b) COOH (c) NH2 (d)
> Predict the product of the following reaction sequence, which was recently used in a synthetic route toward a series of 1,3,6-substituted fulvenes: 1) NaOH/H,O, heat C„H14 2) PhMgCI, THE 3) conc. H2SO4
> Consider the reaction between cyclohexanone and the optically pure amine shown (next page). a. Draw the structure of the resulting enamine and discuss how many isomer(s), if any, form in this reaction. b. When the enamine(s) formed in part
> We have seen that the alpha carbon atom of an enamine can function as a nucleophile in a Michael reaction, and in fact, enamines can function as nucleophiles in a wide variety of reactions. For example, an enamine will undergo alkylation when treated wit
> Using ethanol as your only source of carbon atoms, propose a synthesis for each of the following compounds: OEt (a) (Б) но HO.
> The product of a Dieckmann cyclization can undergo alkylation, hydrolysis, and decarboxylation. This sequence represents an efficient method for preparing 2-substituted cyclopentanones (below) and cyclohexanones. Using this information, propose an effici
> Starting with ethyl acetoacetate and using any other reagents of your choice, propose an efficient synthesis for each of the following compounds: OH NH (a) (b) (c)
> When a malonic ester synthesis is performed using excess base and 1,4-dibromobutane as the alkyl halide, an intramolecular reaction occurs, and the product contains a ring. Draw the product of this process.
> The product of an aldol condensation is an α,β-unsaturated ketone, which is capable of undergoing hydrogenation to yield a saturated ketone. Using this technique, identify the reagents that you would need in order to prepare rhe
> The following transformation cannot be accomplished by direct alkylation of an enolate. Explain why not and then devise an alternate synthesis for this transformation.
> Predict the major product obtained when each of the following compounds is treated with bromine (Br2) together with sodium hydroxide (NaOH) followed by aqueous acid (H3O+): (a) (b) (c)
> This chapter covered many C−C bond-forming reactions, including aldol reactions, Claisen condensations, and Michael addition reactions. Two or more of these reactions are often performed sequentially, providing a great deal of versatili
> Propose a plausible mechanism for the following transformation: NaOH, H,O Heat
> Propose a plausible mechanism for the following transformation: OH OH Ph H,0 Ph
> Using acetaldehyde as your only source of carbon, show how you would prepare 1,3-butanediol.
> An alcohol with the molecular formula C4H10O was treated with PCC to produce an aldehyde that exhibits exactly three signals in its 1 H NMR spectrum. Predict the aldol addition product that is obtained when this aldehyde is treated with aqueous sodium hy
> Consider the structures of the constitutional isomers, compound A and compound B. When treated with aqueous acid, compound A undergoes isomerization to give a cis stereoisomer. In contrast, compound B does not undergo isomerization when treated with the
> Using formaldehyde and acetaldehyde as your only sources of carbon atoms, show how you could make each of the following compounds. You may find it helpful to review acetal formation (Section 19.5). (a) (b)
> Predict the major product of the following transformation: CO̟Et H30 Heat
> 93. Which of the following is the strongest base? // 94. What is the expected major product of this reaction? 95. Which reagents can be used to achieve this transformation? ーH HーN (a) H-N (b) エーZ H-N N. (c) H-N (d ? Catalytic H,SO, NARH CN H,N H
> Draw a mechanism for the acid-catalyzed conversion of cyclohexanone into its tautomeric enol.
> Consider a process that attempts to prepare tyrosine using a Hell–Volhard–Zelinsky reaction: a. Identify the necessary starting carboxylic acid. b. When treated with Br2, the starting carboxylic acid can react with two equivalents to produce a compound
> Lactones can be prepared from diethyl malonate and epoxides. Diethyl malonate is treated with a base, followed by an epoxide, followed by heating in aqueous acid: Using this process, identify what reagents you would need to prepare the following compoun
> Identify reagents that can be used to accomplish each of the following transformations (you will also need to use reactions from previous chapters). Br Br CN COOH > OH Br (a) (b) Br
> Draw a mechanism for the reverse process of the previous problem. In other words, draw the acid-catalyzed conversion of 1-cyclohexenol to cyclohexanone.
> (a). A lamina has constant density ρ and takes the shape of a disk with center the origin and radius R. Use Newton’s Law of Gravitation (see Section 13.4) to show that the magnitude of the force of attraction that the lamina
> Use a double integral to find the area of the region. One loop of the rose r = cos 3θ
> Sketch the region whose area is given by the integral and evaluate the integral. ∫_(π/2) ^ ∫_0^ (2 sinθ)r dr dθ
> Consider a square fan blade with sides of length 2 and the lower left corner placed at the origin. If the density of the blade is ρ (x, y) = 1 + 0.1x, is it more difficult to rotate the blade about the x-axis or the y-axis?
> Use a double integral to find the area of the region. The region enclosed by both of the cardioids r = 1 + cosθ and r = 1 - cosθ
> The latitude and longitude of a point P in the Northern Hemisphere are related to spherical coordinates ρ, θ, φ as follows. We take the origin to be the center of the earth and the positive z-axis to pass through the North Pole. The positive x-axis pass
> Consider the problem of maximizing the function f (x, y) = 2x + 3y subject to the constraint √x + √y = 5. (a). Try using Lagrange multipliers to solve the problem. (b). Does f (25, 0) give a larger value than the one in part (a)? (c). Solve the problem b
> Use spherical coordinates. (a). Find the volume of the solid that lies above the cone φ = π/3 and below the sphere ρ = 4 cos φ. (b). Find the centroid of the solid in part (a).
> Use a computer algebra system to find the mass, center of mass, and moments of inertia of the lamina that occupies the region D and has the given density function. D = {(x, y) | 0 < y < xe-x, 0 < x < 2j; θ (x, y) = x2y2
> A lamina with constant density ρ (x, y) = ρ occupies the given region. Find the moments of inertia Ix and Iy and the radii of gyration x and y. The region under the curve y = sin x from x = 0 to x = π.
> A lamina with constant density ρ (x, y) = ρ occupies the given region. Find the moments of inertia Ix and Iy and the radii of gyration x and y. The part of the disk x2 + y2 < a2 in the first quadrant
> A lamina with constant density ρ (x, y) = ρ occupies the given region. Find the moments of inertia Ix and Iy and the radii of gyration x and y. The triangle with vertices (0, 0), (b, 0), and (0, h)
> A lamina with constant density ρ (x, y) = ρ occupies the given region. Find the moments of inertia Ix and Iy and the radii of gyration x and y. The rectangle 0 < x < b, 0 < y < h
> Electric charge is distributed over the rectangle 0 < x < 5, 2 < y < 5 so that the charge density at (x, y) is σ (x, y) = 2x + 4y (measured in coulombs per square meter). Find the total charge on the rectangle.
> Sketch the region whose area is given by the integral and evaluate the integral. ∫_(π/4)^(3π/4) ∫_1^2r dr dθ
> Evaluate the double integral. ∬D y/(x^2+1) dA, D = {(x, y) | 0 < x < 4, 0 < y < √x}
> Evaluate the double integral. ∬D (2x – y) dA, D is bounded by the circle with center the origin and radius 2
> Use a double integral to find the area of the region. The region inside the cardioid r = 1 + cosθ and outside the circle r = 3 cosθ
> A model for the density δ of the earth’s atmosphere near its surface is δ = 619.09 2 0.000097ρ where δ (the distance from the center of the earth) is measured in meters and is measured in kilograms per cubic meter. If we take the surface of the earth to
> Find the mass and center of mass of the solid E with the given density function ρ. E is the cube given by 0 < x < a, 0 < y < a, 0 < z < a; ρ(x, y, z) = x2 + y2 1 z2
> Leonhard Euler was able to find the exact sum of the series in Problem 5. In 1736 he proved that In this problem we ask you to prove this fact by evaluating the double integral in Problem 5. Start by making the change of variables This gives a rotati
> Use spherical coordinates. Evaluate ∭E y2z2 dV, where E lies above the cone φ = π/3 and below the sphere ρ = 1.
> Sketch the solid whose volume is given by the integral and evaluate the integral. ∫_0^2 ∫_0^2π ∫_0^r r dz dθ dr
> Sketch the solid described by the given inequalities. 0 < θ < π/2, r < z < 2
> Identify the surface whose equation is given. r = 2 sin θ
> Sketch the solid whose volume is given by the integral and evaluate the integral. ∫_(-π/2)^(-π/2) ∫_0^2 ∫_0^(r^2)r dz dr dθ
> Describe in words the surface whose equation is given. θ= π/6
> (a). A lamp has two bulbs, each of a type with average lifetime 1000 hours. Assuming that we can model the probability of failure of a bulb by an exponential density function with mean μ = 1000, find the probability that both of the lamp’s bulbs fail wit
> Describe the region whose area is given by the integral ∫_0^(π/2) ∫_0^sin2θr dr dθ
> If D is the region bounded by the curves y = 1/2 x2 and y = ex, find the approximate value of the integral ∬D y2 dA. (Use a graphing device to estimate the points of intersection of the curves.)
> Find the directional derivative of f at the given point in the indicated direction. f (x, y) = x2e-y, (-2, 0), in the direction toward the point (2, -3)
> Find the area of the part of the cone z2 = a2(x2 + y2) between the planes z = 1 and z = 2.
> Find the gradient of the function f (x, y, z) = x2eyz2.
> Calculate the value of the multiple integral. ∭H z3√(x^2+y^2+ z^2 ) dV, where H is the solid hemisphere that lies above the xy-plane and has center the origin and radius 1