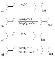
Which of the following represents an efficient method for preparing the alcohol shown?

(a) OH 1) ВНз THF 2) H-Ог. NaOH (b) OH H3O+ (с) OH 1) ВНз THF 2) НаОг, NaOH (d) OH
> Using bromobenzene and ethylene oxide as your only sources of carbon, show how you could prepare trans-2,3-diphenyloxirane (a racemic mixture of enantiomers). + Enantiomer
> A compound with the molecular formula C9H18 exhibits a 1H NMR spectrum with only one signal and a 13C NMR spectrum with two signals. Deduce the structure of this compound.
> Propose an efficient synthesis for the following transformation: он + Enantiomer ÖH
> Consider the following two compounds. When treated with NaOH, one of these compounds forms an epoxide quite rapidly, while the other forms an epoxide very slowly. Identify which compound reacts more rapidly and explain the difference in rate between the
> When methyloxirane is treated with HBr, the bromide ion attacks the less substituted position. However, when phenyloxirane is treated with HBr, the bromide ion attacks the more substituted position Explain the difference in regiochemistry in terms of a
> Epoxides can be formed by treating α-haloketones with sodium borohydride. Propose a mechanism for formation of the following epoxide: NABH,
> Predict the product of the following reaction: Me 1) LIAID. ? Me 2) H,0
> Propose a structure for a compound with the molecular formula C4H10O that exhibits the following 1H NMR spectrum: Proton NMR 3 3.5 3.0 Chemical shift (ppm) 4.0 2.5 2.0 1.5 1.0
> Propose a structure for a compound with the molecular formula C4H8O that exhibits the following 13C NMR and FTIR spectra: Carbon NMR 07.7 25.4- 80 70 10 60 Chemical shift (ppm) 100 90 50 40 30 20 100 80 60 40 20 0- 4000 2500 3500 3000 2000 1500 1000
> Propose a structure for a compound with the molecular formula C8H18O that exhibits the following 1H NMR and 13C NMR spectra: Proton NMR 3 2.0 Chemical shift (ppm) 4.0 3.5 3.0 2.5 1.5 1.0 0.5 Carbon NMR -70.5 31.6- 19.3- -13.7 70 60 50 40 30 20 10 Che
> Draw a mechanism for each of the following reactions: он PEr он Br SOCI2 (a) Py (b) 1) Excess LiAIHe 2) H,0 CH,OH (c) он
> Propose a structure for an ether with the molecular formula C7H8O that exhibits the following 13C NMR spectrum: Carbon NMR 129.5- 120.7 55.1- 159.7- 160 140 120 100 80 60 40 Chemical shift (ppm)
> Propose an efficient synthesis for each transformation. (a) OH (b) (c) CI (d) CI Xor (e) HO. OH OH (f) (h) + En (k) (0) OH (m) OH (n) LOH (о) HO. (p) 'CI он (9) CI H. он (r) OH HO, (s) + En (t) OH + En (u) OMe
> Consider the following compound: a. How many signals do you expect in the 1H NMR spectrum of this compound? b. Rank the protons in terms of increasing chemical shift. c. How many signals do you expect in the 13C NMR spectrum? d. Rank the carbon atoms
> Using compounds that possess no more than two carbon atoms, propose an efficient synthesis for the following compound:
> Dimethoxyethane (DME) is a polar aprotic solvent often used for SN2 reactions. Propose an efficient synthesis for DME using acetylene and methyl iodide as your only sources of carbon atoms. Dimethoxyethane
> Propose an efficient synthesis for 1,4-dioxane using acetylene as your only source of carbon atoms. 1,4-Dioxane
> When meso-2,3-epoxybutane is treated with aqueous sodium hydroxide, two products are obtained. Draw both products and describe their relationship.
> When the following chiral epoxide is treated with aqueous sodium hydroxide, only one product is obtained, and that product is achiral. Draw the product and explain why only one product is formed. NaOH H,0 ? Me 'Me
> Fill in the missing products below 1) Hg(OAc)2, EIOH Excess HỊ ? 2) NABH, Нeat ? RCO,H H-CEC: Na ? ? 1) NaSEt 2) H,0 ? HBr
> Fill in the missing reagents below. OH Me OH ? HO OEt ? |? ? Br OH HO, SMe Me OEt ? ? OMe DEt OH OH CN
> Predict the product and draw a mechanism for each of the following reactions: 1) LIAIH. 2) H,0 ? 1) NABH, 2) MEOH ? (a) (b)
> Using acetylene and ethylene oxide as your only sources of carbon atoms, propose a synthesis for each of the following compounds: HO он (а) (b)
> Predict the product for each of the following reaction sequences: 1) Hg(OAc), MeOH 2) NABH, ? (a) он 1) Hg(OAc)2. :? 2) NABH, (b)
> Propose a stepwise mechanism for the following transformation: Et Me Me 1) Excess EtMgBr Он 2) H,0 Et
> Draw the expected 1H NMR spectrum of the following compound:
> Compound B has the molecular formula C6H10O and does not possess any π bonds. When treated with concentrated HBr, cis-1, 4-dibromocyclohexane is produced. Identify the structure of compound B.
> What product do you expect when tetrahydrofuran is heated in the presence of excess HBr?
> Propose a plausible mechanism for each of the following transformations: OH 1) EtMgBr 2) I1,0 (a) 1) NaH OEt OH 2) EI (b) но 1) H-CEC: Na - 2) H,0 (c) OH MESH Mes (d) NaH (e) NAOH (ехcess) (f)
> Predict the products for each of the following: 1) RCO,H 2 MeMgBr 3) H,0 ? ia) 1) Hg(OAc), Meон 2) NABH, ? (b) ? 1) RCO,H ? OH 1) Na 2) NaSMe 3) Н,о 2) EICI (c) (d) 1) Na ? -HO- 2) (e) 3) H,0 ? CI 1) Mg, diethyl ether 2) A 3) H,0 (f)
> Problem 13.34 outlines a general method for the preparation of cis- or trans-disubstituted epoxides. Using that method, identify reagents that you could use to prepare a racemic mixture of each of the following epoxides from acetylene: Hur 'Et Me (a)
> When 5-bromo-2,2-dimethyl-1-pentanol is treated with sodium hydride, a compound with the molecular formula C7H14O is obtained. Identify the structure of this compound. Br NaH, C,H,o
> Using 2-propanol as your only source of carbon, show how you would prepare 2-methyl-2-pentanol.
> The following two isomeric ketones were among the 68 compounds isolated from the steam-distilled volatile oil of fresh and air-dried marijuana buds. Propose a separate synthesis for each of these two compounds using only disubstituted alkenes containing
> Propose a structure for a compound with the molecular formula C8H10O that exhibits the following 1H NMR spectrum: Proton NMR Chemical shift (ppm)
> Propose two possible structures for a compound with the molecular formula C5H12O that exhibits the following 13C NMR and IR spectra: Carbon 13 NMR 29.1- 9.5- 73.8 100 90 80 70 60 50 40 30 20 10 Chemical shift (ppm) 100 80 60 40 20 0- 4000 2000 3500 3
> Propose a structure for a compound with the molecular formula C3H8O that exhibits the following 1H NMR and 13C NMR spectra: Proton NMR 5.0 4.5 4.0 3.5 3.0 2.4 2.0 1.5 1.0 0.5 Chemical shift (ppm) Carbon 13 NIMR 64.2- 25.7 10.0 70 60 50 40 30 20 10 Ch
> For each of the following compounds, compare the two indicated protons and determine whether they are enantiotopic, homotopic, or diastereotopic: Me (a) Me (b) H TH (c) H. H- -H- (d) H- (е) H (f) нн F он Me H H нн (h) (1) H HO H но, H (k) "OH OH Cl.
> Propose a structure for a compound with the molecular formula C10H14O that exhibits the following 1 H NMR spectrum: Proton NMR 4 2 Chemical shift ippm)
> Estragole is an insect repellant that has been isolated from the leaves of the Clausena anisata tree. Propose a synthesis of estragole starting from 4-methylphenol. Estragole
> The compound duryne was one of several structurally related compounds isolated from a marine sponge. Propose an efficient synthesis of duryne starting with any compounds containing eleven or fewer carbon atoms. OH OH (CH (CH Duryne
> Briarellin E (compound 3) is produced by coral in the Caribbean and Mediterranean seas and belongs to a larger family of marine natural products that are currently being investigated as potential anticancer agents. During a recent synthesis of 3, compoun
> (S)-Gizzerosine is an amino acid that is believed to be responsible for a serious disease called “black vomit” in chickens. However, the same compound is a potential drug for the treatment of osteoporosis and acid buil
> Consider the following sequence of reactions and identify the structures of compounds A, B, and C: Mg Compound A (C,H,„Br) Compound B 2) H,0 Conc. H,SO, Heat Compound C
> Determine whether the pinacol rearrangement, shown in the previous problem, is a reduction, an oxidation, or neither.
> A carbocation is resonance stabilized when it is adjacent to an oxygen atom: Such a carbocation is even more stable than a tertiary carbocation. Using this information, propose a mechanism for the following transformation exhibited by a diol. This react
> Propose a mechanism for the following transformation: 1) Excess LIAIH4 CH,OH 2) H0
> Show reagents that can be used to achieve the following transformation:
> Consider the following acid-catalyzed hydration reaction: Which of the following ions are intermediates in the accepted mechanism for this process? a. I, II, and III b. I and II c. None of the above. The process is concerted. d. Only IV Dilute H
> Which of the following compounds is NOT a product of this ozonolysis reaction? 1) Og ? 2) DMS H. (a) (b) (c) (d) H H.
> Monensin is a potent antibiotic compound isolated from Streptomyces cinnamonensis. The following reaction was employed during W. C. Still’s synthesis of monensin. Sodium bicarbonate (NaHCO3) functions as a mild base to deprotonate the c
> Zaragozic acids are a group of structurally related, natural products that were first isolated from fungal cultures in 1992. These compounds have been shown to reduce cholesterol levels in primates, an observation that has fueled interest in the synthesi
> Diisopinocampheylborane (Ipc2BH) is a chiral organoborane, readily employed for the production of many asymmetric products used in total synthesis. It is a crystalline material that can be prepared as a single enantiomer via the hydroboration of two equi
> When adamantylideneadamantane, shown below, is treated with bromine, the corresponding bromonium ion forms in high yield. This intermediate is stable and does not undergo further nucleophilic attack by bromide ion to give the dibromide. Draw the structur
> Propose a mechanism for the following transformation: 1) Excess MeMgBr HO. 2) H,0 он
> Taxol (compound 3) can be isolated from the bark of the Pacific yew tree, Taxus brevifolia, and is currently used in the treatment of several kinds of cancer, including breast cancer. Each yew tree contains a very small quantity of the precious compound
> Progesterone is a hormone that helps prepare a woman’s body for pregnancy and regulates menstrual cycles. In a synthesis of progesterone, an alkene with the molecular formula C21H32O (compound A) was subjected to an ozonolysis process t
> When 3-bromocyclopentene is treated with HBr, the observed product is a racemic mixture of trans-1,2-dibromocyclopentane. None of the corresponding cis-dibromide is observed. Propose a mechanism that accounts for the observed stereochemical outcome:
> Ethyl 3-ethoxypropanoate is a solvent used in the preparation of polymers, and it has been detected in the gaseous emissions at some industrial sites. One study showed that it can be decomposed by several species of fungi, providing a potential method fo
> Propose a plausible mechanism for the following process, called iodolactonization: b, OH
> Coumarin (1) and its derivatives exhibit a broad array of industrial applications, including, but not limited to, cosmetics, food preservatives, and fluorescent laser dyes. In the 1H NMR spectrum of compound 2 (a coumarin derivative), the two signals far
> Compound 1 can serve as a precursor in the synthesis of flutamide (2), a drug used in the treatment of prostate cancer: a. Compound 1 has three distinct aromatic protons, labeled Ha, Hb, and Hc. Identify which aromatic proton gives rise to the signal mo
> Treatment of 1,3,6-cyclononatriene (compound 1), or its dimethyl derivative (compound 2), with potassium amide (KNH2) in liquid ammonia results in the formation of anion 1a or 2a, respectively: a. Draw all four resonance structures of 1a. b. How many s
> Brevianamide S, a potent antitubercular natural product, was recently isolated from a marine sediment collected off the coast of China. Predict the chemical shift and determine the multiplicity of each signal in the 1H NMR spectrum for brevianamide S (ch
> As part of a study on cyclopropane derivatives of fatty acids, the following amide was subjected to mass spectrometric analysis. The most abundant peak in the spectrum was found at m/z = 113. Suggest a reasonable structure and mechanism of formation for
> A compound with the molecular formula C8H18 exhibits a 1H NMR spectrum with only one signal. How many signals would you expect in the 13C NMR spectrum of this compound?
> The base peak of a low-resolution spectrum of cyclohexanone is at m/z = 55. A high-resolution spectrum reveals that this peak actually consists of two peaks at 55.0183 and 55.0546 with relative intensities of 86.7 and 13.3, respectively. For each of thes
> Artemisinin (also known as Qinghaosu) is a peroxide-containing compound that has been used in traditional Chinese medicine as a treatment for malaria. Today, synthetic derivatives of artemisinin are standard treatments to fight against Plasmodium falcipa
> 75. Which compound gives the following 1H NMR spectrum? 76. A compound with the molecular formula C4H8O2 gives a 1H NMR spectrum with the following three signals. What is the structure of the compound? 1.21 ppm (6H, doublet) 2.59 ppm (1H, septet) 11.
> Consider the two methyl groups shown in the following compound. Explain why the methyl group on the right side appears at lower chemical shift. 1.0 ppm H,C. CH, 0.8 ppm
> Predict the chemical shifts for the signals in the 1H NMR spectrum of each of the following compounds: (a) (b) (c) (e) O.
> 73. Which of the following compounds is converted into carbon dioxide and acetic acid (CH3CO2H) upon ozonolysis? 74. All of the following methods can be used to prepare 2-butanone (CH3COCH2CH3) EXCEPT: 75. Which reagents will achieve the following tran
> Draw the structure of a compound with the molecular formula C8H10 that exhibits five signals in its 13C NMR spectrum, four of which appear between 100 and 150 ppm.
> 73. An unknown alcohol was treated with chromic acid to give a product with the following IR spectrum. Which of the following statements must be true? a. The unknown compound must be a primary alcohol. b. The unknown compound must be a secondary alcoho
> Compare the following two constitutional isomers. The 13C NMR spectrum of the first compound exhibits five signals, while the second compound exhibits six signals. Explain. OH но
> Consider the structure of N,N-dimethylformamide (DMF): We might expect the two methyl groups to be equivalent; however, both the proton and carbon NMR spectra of DMF show two separate signals for the methyl groups. Propose an explanation for the nonequi
> Propose a mechanism for the following transformation: 1) Excess LIAIH, 2) H20 но. OH
> An unknown compound exhibits the following IR, 1H NMR, and 13C NMR spectra. In a mass spectrum of this compound, the (M)+• peak appears at m/z = 104, and the (M+1)+• peak is 4.4% the height of the parent ion. Elemental
> Deduce the structure of a compound with the molecular formula C12H8Br2 that exhibits the following 1H NMR and 13C NMR spectra: Proton NMR Expansion 78 76 7.4 7.2 TMS 10 8 6 5 2 Chemical Shift (ppm) Carbon NMR Solvent- Proton decoupled 200 160 120 80
> 68. What are the best reagents to perform this transformation? a. Na2Cr2O7, H2SO4, H2O b. CrO3, H3O+, acetone c. PCC, CH2Cl2 d. KMnO4, NaOH, cold 69. Which of the following is NOT an efficient synthesis of 2-methyl-2-pentanol? 70. What is the produc
> Deduce the structure of a compound with the molecular formula C8H14O4 that exhibits the following IR, 1H NMR, and 13C NMR spectra: 1736 4000 3500 3000 Wavenumber (cm1) 2500 2000 1500 1000 Proton NMR triplet quartet TMS 10 9 Chemical Shift (ppm) Carbo
> 68. Which of the following methods can be used to prepare this compound? 69. Which is an intermediate in the mechanism for the following reaction? 70. Which is a product of this reaction? Br ON NaOH (a) Hg(OAc)a. NaBH4 -OH (b) NaH (c) OH -Br NaH (d
> Carvone, a natural product isolated from plants, is used widely in the flavor and fragrance industry; the (S) enantiomer smells and tastes like caraway seeds. Utilizing a process called bioremediation, carvone-producing plants have been used to help brea
> Deduce the structure of a compound with the molecular formula C6H10O4 that exhibits the following IR, 1H NMR, and 13C NMR spectra: 1747 2000 Wavenumber (cm1) 4000 3500 3000 2500 1500 1000 Proton NMR Expansion 3 1.5 ppm 4.5ppm 10 8 6 3 2 Chemical Shif
> Deduce the structure of a compound with the molecular formula C8H14O3 that exhibits the following IR, 1H NMR, and 13C NMR spectra: 1755 1820 4000 3500 3000 2500 2000 1500 1000 Wavenumber (cm) Proton NMR Expansion triplet- triplet 2.00 1.50 TMS 10 8
> Deduce the structure of a compound with the molecular formula C5H10O that exhibits the following IR, 1H NMR, and 13C NMR spectra. Data from the mass spectrum are also provided. 100 - Mass Spec. Data relative miz abund. 80 15 23 26 20 27 61 29 92 30
> Deduce the structure of a compound with the molecular formula C8H10O that exhibits the following IR, 1H NMR, and 13C NMR spectra: 100 80 60 40 20 2000 Wavenumber (cm) 4000 3500 3000 2500 1500 1000 Proton NMR 2 2 7 5 2 Chemical Shift (ppm) Carbon NMR
> Using any compounds that have no more than two carbon atoms, identify a method for preparing each of the following compounds: он OH (a) (b) он (c) OH (d)
> Deduce the structure of a compound with the molecular formula C6H14O2 that exhibits the following IR, 1H NMR, and 13C NMR spectra: 100 80 60 40 20 4000 3500 3000 2500 2000 1500 1000 Wavenumber (cm1) Proton NMR 4.5 4.0 3.5 3.0 2.5 2.0 1.5 1.0 0.5 Chem
> Determine the structure of an alcohol with the molecular formula C6H14O that exhibits the following DEPT-135 spectrum: DEPT-135 70 60 50 40 30 20 10 Chemical Shift (ppm)
> Determine the structure of an alcohol with the molecular formula C4H10O that exhibits the following signals in its 13C NMR spectra: a. Broadband decoupled: 69.3 δ, 32.1 δ, 22.8 δ, and 10.0 δ b. DEPT-90: 69.3 δ c. DEPT-135: positive signals at 69.3 δ,
> Propose the structure of a compound consistent with the following data: a. C5H10O, broadband-decoupled 13C NMR: 7.1, 34.6, 210.5 δ b. C6H10O, broadband-decoupled 13C NMR: 70.8, 115.2, 134.8 δ
> Deduce the structure of a compound with the molecular formula C9H10O2 that produces the following 1H NMR spectrum and 13C NMR spectrum: Proton NMR 22 12 11 10 8 7 6 3 Chemical Shift (ppm) Carbon NMR 128.8- 128.4 -126.8 35.8- 30.7 179.9 140.4– 180 160
> Deduce the structure of a compound with the molecular formula C9H12 that produces the following 1H NMR spectrum: Proton NMR 8 7 5 3 Chemical Shift (ppm) 2.
> We saw a general rule that the two protons of a CH2 group will be chemically equivalent if there are no chiral centers in the compound. An example of an exception is 3-bromopentane. This compound does not possess a chiral center. Nevertheless, the two hi
> Propose the structure of a compound that exhibits the following 1H NMR data: a. C5H10O 1.09 δ (6H, doublet) 2.12 δ (3H, singlet) 2.58 δ (1H, septet) b. C5H12O 0.91 δ (3H, triplet) 1.19 δ (6H, singlet) 1.50 δ (2H, quartet) 2.24 δ (1H, singlet) c.
> A compound with the molecular formula C4H6O4 produces a broad signal between 2500 and 3600 cm−1 in its IR spectrum and produces two signals in its 1H NMR spectrum (a singlet at 12.1 ppm with a relative integration of 1 and a singlet at 2.4 ppm with a rel
> Rank each of the bonds identified in order of increasing wavenumber -0-H N-H он R-CEN
> Using any reagents of your choosing, show how you would convert tert-butyl alcohol into 2-methyl-1-propanol.
> All of the following compounds absorb IR radiation in the range between 1600 and 1850 cm−1. In each case, identify the specific bond(s) responsible for the absorption(s) and predict the approximate wavenumber of absorption for each of t