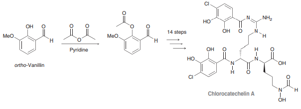
Chlorocatechelin A was isolated from a bacterial culture, but it had to be synthesized in the laboratory in order to obtain enough pure material for the study of its antimicrobial activity. Shown below is the first step of a 15-step synthesis of chlorocatechelin A, starting with ortho-vanillin. Propose a plausible mechanism for this reaction (pyridine is a base that can deprotonate the acidic phenol proton in ortho-vanillin to some extent).

CI NH2 HO OH 14 steps OH Meo Meo. H. Pyridine OH но. HO. ortho-Vanillin N. H. Chlorocatechelin A OH
> Benzyl acetate is a pleasant-smelling ester found in the essential oil of jasmine flowers and is used in many perfume formulations. Starting with benzene and using any other reagents of your choice, design an efficient synthesis for benzyl acetate. B
> Fluphenazine is an antipsychotic drug that is administered as an ester prodrug via intramuscular injection: The hydrophobic tail of the ester is deliberately designed to enable a slow release of the prodrug into the bloodstream, where the prodrug is rap
> Phosgene is highly toxic and was used as a chemical weapon in World War I. It is also a synthetic precursor used in the production of many plastics. a. When vapors of phosgene are inhaled, the compound rapidly reacts with any nucleophilic sites present
> When acetic acid is treated with isotopically labeled water (18O, shown in red) in the presence of a catalytic amount of acid, it is observed that the isotopic label becomes incorporated at both possible positions of acetic acid. Draw a mechanism that ac
> Predict the products that are formed when diphenyl carbonate is treated with excess methyl magnesium bromide. 1) Excess MeMgBr 2) H0"
> DEET is the active ingredient in many insect repellants, such as OFFTM. Starting with meta-bromotoluene and using any other reagents of your choice, devise an efficient synthesis for DEET. Br ?. N,N-Diethyl-m-toluamide (DEET) m-Bromotoluene
> Draw the enolate that is formed when each of the following compounds is treated with LDA: (a) H. (b) OEt (c)
> Identify reagents that can be used to accomplish each of the following transformations: H. OR *NH, | -
> When methyl benzoate bears a substituent at the para position, the rate of hydrolysis of the ester group depends on the nature of the substituent at the para position. Apparently, a methoxy substituent renders the ester less reactive, while a nitro subst
> Propose an efficient synthesis for each of the following transformations: Br (a) OH (b) Br (c) Br (d)
> Starting with benzene and using any other reagents of your choice, show how you would prepare each of the following compounds: OH of 'N. (а) (b) он (c) (d) エーZ
> Identify the reagents you would use to convert 1-bromopentane into each of the following compounds: a. Pentanoic acid b. Hexanoic acid c. Pentanoyl chloride d. Hexanamide e. Pentanamide f. Ethyl hexanoate
> Determine the structures of compounds A through F: но. Na,Cr,0, OH *osH xs NH, B A 1) LIAI(OR);H 2) H20 [H*] EIOH 오
> Identify the carboxylic acid and the alcohol that are necessary in order to make each of the following compounds via a Fischer esterification: (a) (Б)
> Predict the major product(s) for each of the following reactions: 1) xs LIAIH OH 2) H,0 ? 1) SOCI, 2) xs (CH),NH ? Он (b) ? NH, (c) 1) H,0 OMe 2) CH,COCI, pyridine ? (d) OMe 1) DIBAH 2) H,0 LOH ? (f) Pyridine (h)
> Predict the major product(s) formed when cyclopentanecarboxylic acid is treated with each of the following reagents: a. SOCl2 b. LiAlH4 (excess), followed by H2O c. NaOH d. [H+], EtOH
> Predict the major product(s) formed when hexanoyl chloride is treated with each of the following reagents: a. CH3CH2NH2 (excess) b. LiAlH4 (excess), followed by H2O c. CH3CH2OH, pyridine d. H2O, pyridine e. C6H5CO2Na f. NH3 (excess) g. Et2CuLi h.
> Ethyl acetoacetate has three enol isomers. Draw all three.
> Careful measurements reveal that para-methoxybenzoic acid is less acidic than benzoic acid, while meta-methoxybenzoic acid is more acidic than benzoic acid. Explain these observations.
> Identify the reagents you would use to convert each of the following compounds into pentanoic acid: a. 1-Pentene b. 1-Bromobutane
> Identify the reagents you would use to convert pentanoic acid into each of the following compounds: a. 1-Pentanol b. 1-Pentene c. Hexanoic acid
> Draw and name all constitutionally isomeric acid chlorides with the molecular formula C4H7ClO. Then provide a systematic name for each isomer.
> Draw the structures of eight different carboxylic acids with the molecular formula C6H12O2. Then, provide a systematic name for each compound and identify which three isomers exhibit chiral centers.
> Identify the common name for each of the following compounds: (а) (Б) OH (c) H OH (d) HO он
> Identify a systematic (IUPAC) name for each of the following compounds: он NH2 (а) (b) (c) (d) (e) CH3(CH2)CO2H (f) CH;(CH,);COCI (g) CH,(CH,),CONH2
> Malonic acid has two acidic protons: The pKa of the first proton (pK1) is measured to be 2.8, while the pKa of the second proton (pK2) is measured to be 5.7. a. Explain why the first proton is more acidic than acetic acid (pKa=4.76). b. Explain why th
> Rank each set of compounds in order of increasing acidity: .COOH COOH COOH .COOH .COOH Вг O,N HC (a) Br Br HO. он OH Br (b)
> Compound A has the molecular formula C9H8O2 and exhibits a strong signal at 1740 cm−1 in its IR spectrum. Treatment with two equivalents of LiAlH4 followed by water gives the following diol. Identify the structure of compound A. OH
> Draw the enol of each of the following compounds and identify whether the enol exhibits a significant presence at equilibrium. Explain. (a) (b) (c)
> α-Bisabolol is the primary constituent of the essential oil of the chamomile plant. It has a long history of use in cosmetics due to its anti-inflammatory and skin-soothing properties. One laboratory synthesis involved the conversion of com
> Propose an efficient synthesis for each of the following transformations: OH Br он (a) (b) CN
> Juvabione is produced by fir trees of the genus Abies and is known to inhibit insect reproduction and growth, thereby offering the trees some protection from insect infestations. One laboratory synthesis of juvabione involved the conversion of compound 1
> Identify reagents that will accomplish each of the following transformations: HO. NH2 > (a) OMe (b) OEt NH2 > (c) (d) CN OH (e) (f) он OEt NH2 H. (h) CN .CN HO. HO, (i)
> Propose a mechanism for the following transformation: NH2 CN H,O Heat
> Identify reagents that can be used to achieve each of the following transformations: CN CI (a) OH Br (b)
> Predict the major product(s) for each of the following reactions: CN 1) xs LIAIH, 2 H0 ? (a) 1) NaCN 2) MeMgBr 3) H,0 ? Br (6) CN 1) EIMgBr ? 2) H,O 3) LIAIH, 4) H,0 (c) CN H,0 ? heat (d)
> Propose a mechanism for each of the following transformations: H,0 H OH Нeat (a) NaOH H. O Na Heat (b) Z-I
> Identify reagents that can be used to achieve the following transformation: NH2
> Predict the major product(s) for each of the following reactions: 1) Excess LIAIH, NH, 2) H0 ? (a) ? CI Excess NH, (b) `NH2 H,0 ? Heat (c)
> Rank the following compounds in terms of increasing acidity: он
> Draw the enolate ion that is formed when each of the following compounds is treated with sodium ethoxide. In each case, draw all resonance structures of the enolate ion and predict whether a substantial amount of starting ketone will be present together
> Propose a mechanism for the following transformation: H,0 но OH
> Predict the major product(s) for each of the following reactions: 1) xs LIAIH, 2) H0 1) xs EtMgBr 2) H,0 ? 1) xs LIAIH, 2) H0 ? OMe OMe (a) (b) (c) OE! H,0 ? HO, 1) NaOH 2) Etl ? 1) xs EtMger 2) H,0 ? (d) (e) (f)
> Identify reagents that can be used to accomplish each of the following transformations: он OEt (a) OEt (b)
> In this section, we have seen three ways to achieve the following transformation. Identify the reagents necessary for all three methods. OH OEt
> Predict the major product(s) for each of the following reactions: -OH .O. (xs) (a) (b) OH ? ? (c) (d) (xs) エーズ エーZ
> Propose a mechanism for the following transformation: .CI 1) xs EIMgBr 2) conc. H,SO, heat
> Identify reagents that can be used to achieve the following transformation: OH
> Predict the major product(s) for each of the following reactions: 1) xs LIAIH, 2) H,0 ? 1) xs PhMgBr 2) H,0 1) LIAI(OR),H ? CI 2) EIMgBr 3) Н,О (b) (c) OH N-H "CI 1) El,CuLi ? CI 2) LIAIH, 3) H,0 Pyridine (two equivalents) (e) (f)
> Propose a plausible mechanism for each of the following transformations. These reactions will all appear later in this chapter, so practicing their mechanisms now will serve as preparation for the rest of this chapter: NH, O Na NH2 (a) (Ь) MEOH (c) H
> Draw resonance structures for the conjugate base that is produced when each of the following compounds is treated with sodium ethoxide: CN OEt (a) OEt (b) (c)
> Draw a structure for each of the following compounds: a. Dimethyl oxalate b. Phenyl cyclopentanecarboxylate c. N-Methylpropionamide d. Propionyl chloride
> Provide a name for each of the following compounds: (b) (c) (d) (f) (h) (1)
> Identify the reagents you would use to achieve each of the following transformations: Br HO. HO. (b)
> Identify the reagents you would use to perform the following transformations: a. Ethanol → Acetic acid b. Toluene → Benzoic acid c. Benzene → Benzoic acid d. 1-Bromobutane → Pentanoic acid e. Ethylbenzene → Benzoic acid f. Bromocyclohexane → Cycloh
> Rank each set of compounds in order of increasing acidity: a. 2,4-Dichlorobutyric acid 2,3-Dichlorobutyric acid 3,4-Dimethylbutyric acid b. 3-Bromopropionic acid 2,2-Dibromopropionic acid 3,3-Dibromopropionic acid
> Acetic acid was dissolved in a solution buffered to a pH of 5.76. Determine the ratio of the concentrations of acetate ion and acetic acid in this solution. Which species predominates under these conditions?
> When formic acid is treated with potassium hydroxide (KOH), an acid-base reaction occurs, forming a carboxylate ion. Draw a mechanism for this reaction and identify the name of the carboxylate salt.
> Based on your answer to the previous question, would you expect meta-hydroxyacetophenone to be more or less acidic than para-hydroxyacetophenone? Explain your answer. но. но meta-Hydroxyacetophenone para-Hydroxyacetophenone
> Consider the structure of para-hydroxyacetophenone, which has a pKa value in the same range as a carboxylic acid, despite the fact that it lacks a COOH group. Offer an explanation for the acidity of para-hydroxyacetophenone. но para-Hydroxyacetopheno
> The following two compounds are constitutional isomers. Identify which of these is expected to be more acidic and explain your choice. OH H3C OH
> One of the compounds from the previous problem has a pKa < 10. Identify that compound and explain why it is so much more acidic than all of the other compounds.
> Provide an IUPAC name for each of the following compounds: он (а) (b)
> Draw the structure of each of the following compounds: a. Cyclobutanecarboxylic acid b. 3,3-Dichlorobutyric acid c. 3,3-Dimethylglutaric acid
> Provide both an IUPAC name and a common name for each of the following compounds: a. HO2C(CH2)3CO2H b. CH3(CH2)2CO2H c. C6H5CO2H d. HO2C(CH2)2CO2H e. CH3COOH f. HCO2H
> Each of the following compounds does not participate as a diene in a Diels–Alder reaction. Explain why in each case. (a) (b) (c) (d)
> After performing the reaction from Problem 16.37, the reaction flask is heated to 40ºC and two of the products become the major products. When the flask is then cooled to 0ºC, no change occurs in the product distribution. Explain why an increase in tempe
> Draw all products that are expected when 2-ethyl-3-methyl 1,3-cyclohexadiene is treated with HBr at room temperature, and show a mechanism of their formation.
> In each of the following pairs of compounds identify the compound that liberates the most heat upon hydrogenation: (a) (b)
> Treatment of 1,2-dibromocycloheptane with excess potassium tert-butoxide yields a product that absorbs UV light. Identify the product.
> Circle each compound that has a conjugated π system:
> Draw the structure of each of the following compounds: a. 1,4-Cyclohexadiene b. 1,3-Cyclohexadiene c. (Z)-1,3-Pentadiene d. (2Z,4E)-Hepta-2,4-diene e. 2,3-Dimethyl-1,3-butadiene
> Identify which of the following compounds are expected to have a pKa он H.
> For each of the following tasks, use the color wheel in Figure 16.37. a. Identify the color of a compound that absorbs orange light. b. Identify the color of a compound that absorbs blue-green light. c. Identify the color of a compound that absorbs or
> As seen at the end of Section 16.10, a deficiency in vitamin D can cause a bonesoftening disease called rickets, so many foods, including milk and cereals, are fortified with vitamin D. Our bodies synthesize vitamin D when our skin is exposed to sunlight
> Use Woodward–Fieser rules to estimate the expected λmax for each of the following compounds: (b) (c) (d)
> Draw a plausible mechanism for the following transformation: Нeat
> Predict the product for each of the following reactions: ? Heat (a) ? Heat (b) ? Heat (c) ? Heat (d)
> Consider the structure of cis-1,2-divinylcyclopropane: This compound is stable at low temperature but rearranges at room temperature to produce 1,4-cycloheptadiene. a. Draw a mechanism for this transformation. b. Using brackets and numbers, identify
> For each of the following reactions, use brackets and two numbers to identify the type of sigmatropic rearrangement taking place: Нeat (а) H H. Нeat, (b)
> Inthomycin C, a natural product produced by Streptomyces bacteria, is known to inhibit the production of cellulose, an important component of the cell wall of plants. A recent synthesis of inthomycin C involved a thermal electrocyclic ring-opening reacti
> Predict the product(s) for each of the following reactions: ? ? hv hv Heat (b) (c)
> Predict the major product(s) for each of the following thermal electrocyclic reactions: . ? . ? ? Heat Heat Heat (a)
> Diastereoselective transformations, including the one shown below, have been developed during efforts toward the syntheses of antifungal and antibacterial natural products. Disregarding stereochemistry, propose an efficient synthesis for this transformat
> Consider the following [4+4] cycloaddition process. Would you expect this process to occur through a thermal or photochemical pathway? Justify your answer with MO theory.
> Predict the regiochemical outcome (major product) for each of the following Diels–Alder reactions: OMe .CN сно ? ? + (a) (Б) Мео CO,.Et EtO Meo сно ? -? CHO (c) (d) -?
> Treatment of the following ketone with LiAlH4 affords two products, A and B. Compound B has the molecular formula C8H14O and exhibits strong signals at 3305 cm−1 (broad) and 2117 cm−1 in its IR spectrum: a. Using the
> During a recent synthesis of hispidospermidin, a fungal isolate and an inhibitor of phospholipase C, the investigators employed a novel, aliphatic Friedel–Crafts acylation. The following acid chloride was treated with a Lewis acid, affo
> A convenient method for achieving the transformation below involves treatment of the ketone with Wittig reagent 1 followed by acid-catalyzed hydration: a. Predict the product of the Wittig reaction. b. Propose a plausible mechanism for the acid-catalyz
> During a recent total synthesis of englerin A, a potent cytotoxic natural product isolated from the stem bark of a Tanzanian plant, the investigators observed the following (unusual) basecatalyzed ring contraction. Propose a plausible mechanism for this
> During recent studies to determine the absolute stereochemistry of a bromohydrin, the investigators observed an unexpected skeletal rearrangement. Provide a plausible mechanism for the formation of epoxide 2 from bromohydrin 1. Br HO. NaH H. H 2
> The following two-step rearrangement was the cornerstone of the first stereoselective total synthesis of quadrone, a biologically active natural product isolated from an Aspergillus fungus. Propose a plausible mechanism for this transformation. OMs 1
> Prostaglandins (Section 26.7) are a group of structurally related compounds that function as biochemical regulators and exhibit a wide array of activity, including the regulation of blood pressure, blood clotting, gastric secretions, inflammation, kidney
> (−)-Spongidepsin is a marine natural product that is toxic to some cancer cells. During a synthesis of (−)-spongidepsin, compound 1 was converted into compound 2. Propose a synthesis for the conversion of 1 into 2.
> 46. Which monomer can be used to prepare the following polymer under acidic conditions? 47. Which monomers are formed when the following polymer undergoes acid-catalyzed hydrolysis? 48. Which polymer is formed by the condensation of these two monomers
> Scorzocreticin (S)-1 was isolated from a plant that is used for cooking traditional meat dishes on the Greek island of Crete. As part of a recent synthesis of scorzocreticin (S)-1, compound 1 was converted into compound 2. Identify a synthetic route for
> The plant Thapsia villosa is so poisonous that it is known as the deadly carrot! Despite the toxicity of this herb, its historical use in traditional medicine makes its extracted compounds attractive synthetic targets. A variety of compounds, called thap
> The m- and p-substituted methyl benzoates listed in the table below were treated with NaOH in dioxane and water. The rate constants of saponification, k, are also listed in the table. Provide structural explanations for the trend observed in the rate con
> Compound 3 (below) was used as an intermediate in a recently reported synthesis of the γ-secretase inhibitor BMS-708163. Compound 3 was made from compound 1 via the two-step process shown. a. Compound 1 cannot be directly converted into comp
> Allylic bromide 2 was recently used as a key fragment in progress toward the total synthesis of an analogue of amphidinolide N, a potent cytotoxic agent isolated from the marine organism Amphidinium sp. Propose an efficient synthesis of bromide 2 from ca