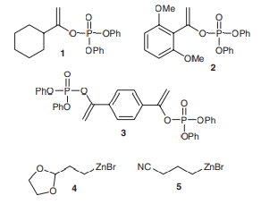
Compounds 1â3, called alkenyl phosphates, were investigated as electrophiles in Negishi coupling reactions with organozinc compounds 4 and 5. The phosphate group, âOP(=O)(OPh)2, serves as the leaving group in the reaction. Draw the structures of the products from each of the following combinations of reactants in the presence of a Pd catalyst:
a. 1 (1 equivalent) + 4 (1 equivalent)
b. 1 (1 equivalent) + 5 (1 equivalent)
c. 2 (1 equivalent) + 4 (1 equivalent)
d. 3 (1 equivalent) + 5 (2 equivalents)

OMe O-P-OPh o-P-OPh OPh OPh 1 OMe 2 Pho-P-Q PhÓ O-P-OPh 3 OPh ZnBr NC. ZnBr 4 5
> Draw and name the structure of the aldohexose that is epimeric with D-glucose at each of the following positions: a. C2 b. C3 c. C4
> Methyl α-D-glucopyranoside is a stable compound that does not undergo mutarotation under neutral or basic conditions. However, when subjected to acidic conditions, an equilibrium is established consisting of both methyl α-D-glucopyranoside and methyl β-D
> Identify reagents that can be used to achieve each of the following transformations: OE! DEt
> When α-D-galactopyranose is treated with ethanol in the presence of an acid catalyst, such as HCl, two products are formed. Draw both products and account for their formation with a mechanism
> Draw the product obtained when each of the compounds from the previous problem is treated with methyl iodide in the presence of silver oxide (Ag2O).
> Draw the product obtained when each of the following compounds is treated with acetic anhydride in the presence of pyridine: a. α-D-Galactopyranose b. α-D-Glucopyranose c. β-D-Galactopyranose
> Draw the open-chain form of the carbohydrate that can undergo acid-catalyzed cyclization to produce α-D-fructopyranose.
> Draw a mechanism for the acid-catalyzed cyclization of d-fructose to give β-D-fructofuranose.
> Draw a mechanism for the acid-catalyzed cyclization of l-threose to give β-L-threofuranose. (Hint: You may want to first review the mechanism for acid-catalyzed hemiacetal formation, Mechanism 19.5.)
> Consider the structures of the following two D-aldotetroses: Each of these compounds exists as a furanose ring, which is formed when the OH at C4 attacks the aldehyde group. Draw each of the following furanose rings: a. α-D-Erythrofuranos
> There are two chair conformations for β-D-glucopyranose. Draw the less stable chair conformation.
> Draw the open-chain form of the following cyclic monosaccharide: CH,OH но OH OH OH он
> Draw the more stable chair conformation for each of the following compounds: a. β-D-Galactopyranose b. α-D-Glucopyranose c. β-D-Glucopyranose
> Identify the reagents you would use to convert 3-pentanone into 3-hexanone.
> When D-talose is dissolved in water, an equilibrium is established in which two pyranose forms are present. Draw both pyranose forms and name them.
> Mutarotation causes the conversion of β-D-mannopyranose to α-D-mannopyranose. Using Haworth projections, draw the equilibrium between the two pyranose forms and the open-chain form of d-mannose.
> Provide a complete name for the following compound: CH,OH OH OH OH H H H. OH
> Draw a Haworth projection for each of the following compounds: a. β-D-Galactopyranose b. α- D -Mannopyranose c. α- D -Allopyranose d. β- D -Mannopyranose e. β- D -Glucopyranose f. α- D -Glucopyranose
> The following compound has one aldehyde group and two OH groups. Under acidic conditions, either one of the OH groups can function as a nucleophile and attack the carbonyl group, giving rise to two possible ring sizes. a. Ignoring stereochemistry (for n
> Identify the hydroxyaldehyde that will cyclize under acidic conditions to give the following hemiacetal: OH
> Draw the cyclic hemiacetal that is formed when each of the following bifunctional compounds is treated with aqueous acid: H. но но. (a) OH (b) но H (с) н (d)
> Which of the following terms best describes the relationship between d-fructose and d-glucose? Explain your choice. a. Enantiomers b. Diastereomers c. Constitutional isomers
> Draw and name the enantiomer of D-fructose.
> There are four stereoisomeric aldotetroses. a. Draw all four and arrange them in pairs of enantiomers. b. Identify which stereoisomers are D sugars and which are L sugars
> Draw the condensation product obtained when the following compound is heated in the presence of aqueous sodium hydroxide: NaOH, H,O H,O Heat
> There are only two stereoisomeric ketotetroses. a. Draw both of them. b. Identify their stereoisomeric relationship. c. Identify which is a D sugar and which is an L sugar
> D-allose is an aldohexose in which all four chiral centers have the R configuration. Draw a Fischer projection of each of the following compounds: a. D-Allose b. L-Allose
> Determine whether each of the following carbohydrates is a D sugar or an L sugar and assign a configuration for each chiral center. After assigning the configuration for all of the chiral centers, do you notice any trend that would enable you to assign t
> Would you expect an aldohexose and a ketohexose to be constitutionally isomeric? Explain why or why not.
> Classify each of the following carbohydrates as an aldose or ketose and then insert the appropriate term to indicate the number of carbon atoms present (e.g., an aldopentose): H. но ÇH,OH но H- OH C=0 H OH H- -OH H- OH OH H OH ČH,OH CH,OH CH,OH (a) (
> The formal synthesis of quinine in 1944 by Woodward and Doering was a landmark achievement.7 During their synthesis, the following compound was treated with excess methyl iodide, followed by a strong alkali solution of NaOH. Under these conditions, the i
> Nicotine is well known for its addictive characteristic in cigarettes. Interestingly, it has also been suggested to have potential therapeutic potential in central nervous system disorders such as Alzheimer’s disease, Parkinsonâ&#
> In the first asymmetric synthesis5 of (−)-(S,S)-homaline, an alkaloid isolated in the early 1970s, a key intermediate was compound 2. Provide reagents for converting compound 1 into compound 2. CI Ng Me. HN Two steps cO.
> When D-glucose is treated with aqueous sodium hydroxide, a complex mixture of carbohydrates is formed, including D-mannose and d-fructose. Over time, almost all aldohexoses will be present in the mixture. Even L-glucose can be detected, albeit in very sm
> Compound A is an amine that does not possess a chiral center. Compound A was treated with excess methyl iodide and then heated in the presence of aqueous silver oxide to produce an alkene. The alkene was further subjected to ozonolysis to produce butanal
> Propose a plausible mechanism for the following transformation: OH
> Propose a synthesis for the following transformation (be sure to count the carbon atoms): Br
> Compound 1 undergoes an intramolecular Simmons–Smith type reaction to afford a fused bicyclic meso product (compound 3), which can be used as a synthetic intermediate for subsequent ringopening reactions. The cyclopropanation process is
> Compound 1, called 5-epi-hydroxycornexistin, is a diastereoisomer of the herbicidal natural product hydroxycornexistin. The ninemembered carbocyclic core of compound 1 was recently synthesized using two sequential organometallic operations. Provide a rea
> The bicyclic compound cis-sabinene hydrate is a natural product that is one of the main molecules responsible for the flavor of the herb marjoram. It can be prepared as a racemic mixture via the one-pot synthesis shown below. Step 2 is diastereoselective
> (−)-Rapamycin, a powerful immunosuppressive and antibiotic agent, is produced by the bacterium Streptomyces hygroscopicus, found in the soil native to Easter Island (in the South Pacific). K. C. Nicolaou was the first of several investi
> During a recent total synthesis of asteriscanolide, a sesquiterpene lactone with unprecedented molecular architecture, compound A was heated with the Grubbs 2nd generation catalyst under an atmosphere of ethylene gas to form compound B. Compound B is not
> Disorazoles are a family of structurally related natural products first isolated in 1994 from the fermentation broth of the bacterium Sorangium cellulosum. These natural products exhibit anticancer properties, thereby fueling the search for more potent a
> The compound below was exposed to a palladium catalyst to produce a macrocycle (large ring). The macrocycle subsequently underwent a rearrangement to produce a fused hexacyclic (six-ring) structure. The ring system of the final product is one that is fou
> Saudin is a naturally occurring compound that has been found to induce hypoglycemia (low blood sugar) in mice and may thus serve as a potential lead structure for the development of new drugs to help control diabetes. A section of the fused polycyclic s
> The reaction sequence below allows for the preparation of novel liquid crystalline materials using a series of organometallic reactions. The aryllithium shown is converted to organozinc A. This compound then undergoes Negishi coupling with an organic ele
> Starting with ethyl acetoacetate and using any other reagents of your choice, show how you would prepare each of the following compounds: сосн Ph (а) Ph (b) (c)
> K-13 is a naturally occurring molecule with a cyclic structure that constrains its tripeptide backbone. A key step in a synthesis of K-13 involves an intramolecular Pd-catalyzed Negishi coupling to produce compound 1, which is subsequently converted to t
> Bipyridine compounds are used as ligands in a broad range of metal complexes. Asymmetric bipyridines, in which the two pyridine units are not identical, can be produced by Negishi coupling between an arylzinc and an aryl triflate as shown. Provide the s
> A calix[4]arene is a cone-shaped macrocycle (large ring) composed of four arenes connected by intervening CH2 groups. The calix[4]arene below was subjected to the following reaction sequence: 1. excess t-BuLi; 2. excess ZnCl2; 3. excess 4-iodotoluene,
> The following synthesis was developed as a method to prepare 4-aryl piperidine derivatives, a group of compounds containing a common structural unit found in a variety of active pharmaceutical agents.11 Draw the structures of compounds A and B. Pd ca
> When treated with a Grubbs catalyst, 1-pentene is converted into two products, A and B, each of which has the molecular formula C8H16. Compound A undergoes a Simmons–Smith reaction to give 1, while B undergoes a Simmonsâ€
> When a Stille coupling reaction is performed in the presence of carbon monoxide (CO), a ketone is obtained, as shown here: Using this procedure, show how you would make each of the following compounds from bromobenzene: CO R R-X Bu, Sn Pd(PPhy)4 (a
> When treated with a Grubbs catalyst, compound A (under conditions of high dilution) is converted into one product (compound 1) with the molecular formula C6H8O2. Under similar conditions, compound B is converted into two products, compounds 2 and 3, each
> Starting with cyclopentene and using any other reagents of your choice, show how you would make each of the following compounds: do (a) (b) (с) но HO,
> The following compound will undergo an intramolecular Heck reaction to give a single product with two chiral centers. This process is observed to occur diastereoselectively (a new chiral center is formed, but only one stereoisomer is obtained). Draw the
> Starting with diethyl malonate and using any other reagents of your choice, show how you would prepare each of the following compounds: ÇOOH он (a) Ph HO. (b) (c) Ph. Ph
> Predict the major product for each of the following transformations and propose a mechanism for its formation: 1) [H,O*1, Br, 2) Pyridine ? 1) [H,O"), Br2 1) [H3O"), Br2 2) Pyridine ? 2) Pyridine (a) (b) (c)
> Starting with benzene and any other reagents of your choice, propose a synthesis for each of the following compounds: OCH, (a) (b) En Ph (c) (racemic) (d) H OEt +
> Using 1-pentene as your only source of carbon atoms, show how you would use a Corey–Posner/Whitesides–House reaction to prepare decane.
> Propose a two-step synthesis that will achieve the following transformation: H エ エ
> Starting with 4-nitrostyrene and using any other reagents of your choice, show how you would make each of the following: O,N- (a) (b) O,N (c) O,N
> Starting with 1-butyne and using any other reagents of your choice, show how you would use a Suzuki coupling reaction to make each of the following compounds: (b) (c)
> Using lithium diphenylcuprate (Ph2CuLi) and any other reagents of your choice, show how you would prepare each of the following compounds: (a) (b) OCH, (c) (d)
> Compounds A and B will each undergo an intramolecular Heck reaction, although each compound generates a different product. Draw the product of each reaction and explain why different products are obtained. A в
> When 5-tert-butylcycloheptene undergoes a Simmons–Smith reaction, two products are formed, A and B, each of which has the molecular formula C12H22. a. Draw structures for A and B. b. Identify the relationship between A and B. c. Taki
> Draw the expected product for each of the following coupling reactions: (Ph),CuLi, ? (a) ? 1) Catechol borane (b) 2) CgHgBr, Pd(PPhg)a, NaOH Pd(PPh)4 NAOH (c) Ph Oon . ? OTf Pd(OAc)2 PPh, EtN (d)
> Draw the product that is expected when each of the following undergoes a ring-closing metathesis (RCM): .? Grubbs cat H-N (a) он ? Grbbs cat. (b) OH ? Grubbs ca. OMe (c) ? Grubbs cat. (d)
> 68. What is the expected major product of the following Heck cross-coupling reaction? 69. In the presence of Pd(PPh3)4 and a suitable base, which coupling partners will react in a Suzuki coupling reaction to give the following diene? 70. Which set of r
> Draw the product that is expected when each of the following undergoes a ring-opening metathesis (ROM) in the presence of ethylene gas: H (a) (d) (e) (f)
> Draw the expected product for each of the following coupling reactions: ? Pd(OAc)2 + 2 (a) PPh, Et,Ň ? Pd(OAc)2 ElgN (b) Pd(OAc)2 -OTf (c) EtgN ? Pd(OAc)2 (d) Et,N
> Exaltolide is a lactone (cyclic ester) used in perfume formulations, and it can be prepared as shown below. Draw the structure of exaltolide: 1) Grubbs cat. Exaltolide 2) H. PI
> Draw the structures of compounds A, B, and C in the following reaction sequence: Br 1) LI (2 eq.) A 2) B(OMe)a Pd(PPh) Grubbs cat.
> Draw the structures of compounds A, B, and C in the following reaction sequence: Grubbs cat. A Pd(PPh). Grubbs cat. B H H
> Stille coupling has been extended to include the coupling between sp- and sp2 -hybridized carbon atoms, when an alkynyl stannane (R−≡−SnBu3) is used. Draw the coupling product that is expected when p
> In a study exploring the utility of olefin metathesis reactions, each of the following trienes was prepared and subjected to a Grubbs catalyst. Each molecule underwent a tandem ring-opening/ring-closing reaction resulting in the cleavage of the C=C unit
> Draw the product that is expected when each of the following compounds is treated with a Grubbs catalyst: (a) (b) (c) (d)
> Draw the diene that you would use to prepare each of the following compounds via a ring-closing metathesis reaction: (a) (b) (c) (d)
> Draw the alkene that you would use to prepare the following compound via an alkene metathesis reaction:
> Draw the condensation product that is expected when each of the following esters is treated with sodium ethoxide followed by acid workup: (a) OEt (b) OEt
> Draw all of the products that are expected when trans-2- pentene is treated with a Grubbs catalyst.
> Draw the products that are expected when each of the following compounds is treated with a Grubbs catalyst: (a) (b) (c) (d) (e)
> Strychnine is a highly toxic, heptacyclic alkaloid isolated from seeds of the Strychnos genus of plant, which are distributed throughout Asia, Africa, and the Americas. In addition to being a human toxin, it has also been used for centuries as a vertebra
> Predict the product of the following intramolecular Heck reaction: ? Pd(OAc), PPh, ElN
> Identify the coupling partners that can be used to prepare each of the following compounds via a Heck reaction: NH2 -OCH (a) (b) (c) CN (f)
> Savinin and gadain are two naturally occurring compounds with structures that differ only in the configuration of a C=C unit. Organozinc compound 1 was treated with vinyl bromide 2 in the presence of Pd(PPh3)4 to produce compound 3, which was subsequentl
> The antitumor agent FR901464 is a natural product isolated from a bacterium found in a Japanese soil sample. In a reported total synthesis of this molecule, compound 1 was treated with compound 2, in the presence of ZnCl2 and Pd(PPh3)4, to produce compou
> Keeping in mind the relative reactivity of vinyl iodides and vinyl bromides, draw the structures of coupling products A and B in the following reaction sequence: Br BrZn-= BrZn-=-Si(fBu)a A B Pd(PPhl4 Pd(PPh).
> For each of the following cases, draw the coupling product that is expected when the organic electrophile is treated with the organozinc in the presence of catalytic Pd(PPh3)4: Br + BrZn (a) Br Osi((Bu), BrZn (b) (c) BrZn Br Cizn Br. (d)
> By virtue of noncovalent π–π interactions, compound 1 represents a novel bluetransparent frequency doubler that has proven useful in the field of nonlinear optics. Compound 1 can be prepared via sequential Suzuki c
> 67. Which of the following structures is not aromatic? 68. Which of the following is least likely to undergo an SN1 reaction with EtOH? 69. What is the major product of the following reaction sequence? нн NO (a) (b) (c) (d) エーZ Br Br -Br Br (a) (b
> Taxol, used in the treatment of breast cancer, is produced by fungi in the bark of the Pacific Yew tree. Taxol is part of a class of structurally related natural compounds called taxanes that represent particularly challenging synthetic targets for organ
> Draw the structures of boronic ester A and coupling product B in the following reaction sequence: B-H Br A B Pd(PPh)4, NaOEt
> For each of the following cases, draw the coupling product that is expected when the organic electrophile is treated with the organoboron compound in the presence of a base and catalytic Pd(PPh3)4: Of (a) (b) B(OH)2 OMe Br он OMe B HO Meo MeO (c) (d)
> (+)-Jatrophone, a natural product isolated from the flowering plant Jatropha gossypiifolia, is known to function as a tumor inhibitor and has been used to treat cancerous growths. As part of the first total synthesis4 of (+)-jatrophone, compound 1 was pr
> (S)-Zearalenone, a natural product isolated from the fungus Gibberella zeae, exhibits useful biological activity, including antibiotic properties. In a total synthesis of (S)-zearalenone, an intramolecular Stille coupling process was employed as the penu
> A compound possessing a vinyl triflate group as well as a trimethylstannane group, such as compound 1, can undergo an intramolecular Stille coupling reaction.2 This annulation (ring-making) procedure provides an efficient pathway for the construction of
> For each of the following cases, draw the coupling product that is expected when the organic electrophile is treated with the organostannane in the presence of catalytic Pd(PPh3)4: Br SnBu, (a) O,N (b) BuzSn Br SnBus Meo. (c) SnBug (d) Br SnBug (e) R
> When treated with molecular hydrogen (H2) in the presence of PtO2, cyclopropanes readily undergo carbon-carbon bond cleavage as a means to relieve ring strain, in a process known as hydrogenolysis: This hydrogenolysis procedure was successfully employed
> Draw the product that is expected when each of the following alkenes is treated with CH2I2 and Zn–Cu: (a) (b) (c) (d) (e)