Identify reagents that can be used to achieve each of the following transformations:

OE! DEt
> Identify the reagents that you would use to convert β-D glucopyranose into each of the following compounds: HOÇH, CH,OH OCH, OH но (b) но HO (a) но- -OCH, OH OH ÇO,H H- -OH но -- H- OH OH (c) ČO̟H (d)
> (a) This compound will not be a reducing sugar because the anomeric position is an acetal group. (b) This compound will be a reducing sugar because the anomeric position bears an OH group. Determine whether each of the following compounds is a reducing
> Which of the D-aldohexoses are converted into optically inactive alditols upon treatment with sodium borohydride?
> When treated with sodium borohydride, D-glucose is converted into an alditol. a. Draw the structure of the alditol. b. Which L-aldohexose gives the same alditol when treated with sodium borohydride?
> Identify the two products obtained when D-glyceraldehyde is treated with HCN and determine the relationship between these two products.
> Predict the major product for each of the following transformations: EtO,C .CO,Et H,0" Heat EtO,C CO,Et (a) CH,CO,Et 1) NaOEt CH20 Нeat 2) H,0* (b) CH,CO,Et H,O"), Be Pyridine 1) ElzCuli C,H,Bro CH,O 2) Mel CH10 (c) 1)LDA, -78°C 2) Etl C,H,0 (d)
> Identify the two aldohexoses that are obtained when D-arabinose undergoes a Kiliani–Fischer synthesis.
> Identify the two aldohexoses that will undergo a Wohl degradation to yield D-ribose. Draw a Fischer projection of the open-chain form for each of these two aldohexoses.
> Draw all possible 2-ketohexoses that are D sugars.
> For each of the following pairs of compounds, determine whether they are enantiomers, epimers, diastereomers that are not epimers, or identical compounds: a. d-Glucose and D-gulose b. 2-Deoxy-D-ribose and 2-deoxy-D-arabinose
> Draw the products that are expected when α-D-galactopyranose is treated with excess methyl iodide in the presence of silver oxide, followed by aqueous acid.
> Draw the more stable chair conformation of α-D-altropyranose and label all substituents as axial or equatorial.
> In addition to D-galactose, one other D-aldohexose also forms an optically inactive aldaric acid when treated with nitric acid. Draw the structure of this aldohexose.
> When D-galactose is heated in the presence of nitric acid, an optically inactive compound is obtained. Draw the structure of the product and explain why it is optically inactive.
> Draw the products that are expected when β-D-allopyranose is treated with each of the following reagents: a. Excess CH3I, Ag2O b. Excess acetic anhydride, pyridine c. CH3OH, HCl
> Draw the open-chain form of each of the compounds in the previous problem.
> Draw a reasonable mechanism for the following transformation: NaOH, H20 Нeat
> Provide a complete name for each of the following compounds: CH,OH HOCH, но HO- он (a) OH OH (b) OH OH CH,OH HO но но. OCH3 (c) OH
> Draw a Haworth projection showing the α-pyranose form of the D-aldohexose that is epimeric with D-glucose at C3.
> Draw a Haworth projection for each of the following compounds: a. β-D-Fructofuranose b. β-D-Galactopyranose c. β-D-Glucopyranose d. β-D-Mannopyranose
> Draw a Fischer projection for each of the following compounds: a. D-glucose b. D-galactose c. D-mannose d. D-allose
> Assign the configuration of each chiral center in the following compounds: H. H. H. H- OH OH H- -OH- H- OH но -H OH но OH (a) ČH,OH (b) ČH,OH (c) ČH,OH H- ÇH2OH но- -н C=0 H- OH H- H- -OH (d) ČH,OH (е) ČH,OH
> Draw the open-chain form of the compound formed when methyl β-D-glucopyranoside is treated with aqueous acid.
> For each of the following pairs of compounds, determine whether they are enantiomers, epimers, diastereomers that are not epimers, or identical compounds: H- он но но но- OH OH H- OH H- OH (a) ČH,OH ČH,OH Н. -OH но- но но HO- но OH H- OH (b) ČH-OH CH
> D-Ribose can adopt two pyranose forms and two furanose forms. a. Draw both pyranose forms of D-ribose and identify each as α or β. b. Draw both furanose forms of D-ribose and identify each as α or β.
> Identify the hydroxyaldehyde that will cyclize under acidic conditions to give the following hemiacetal: OH
> Draw the cyclic hemiacetal that is formed when each of the following bifunctional compounds is treated with aqueous acid. но. (a) H. (b) но H. (с)
> Draw the structure of the product that is obtained when acetophenone is treated with each of following reagents: a. Sodium hydroxide and excess iodine followed by H3O+ b. Bromine in acetic acid c. Aqueous sodium hydroxide at elevated temperature
> Consider the structures of the D aldopentoses: a. Identify the aldopentose that is epimeric with D-arabinose at C2. b. Identify the aldopentose that is epimeric with D-lyxose at C3. c. Draw the enantiomer of D-ribose. d. Identify the relationship bet
> Name each of the following aldohexoses: H. H. H. H. H- -он -HO- но H- OH но но но но. H он H- OH H- OH но но -он H- OH HO H (а) ČH,OH (Ь) ČH,OH (c) ČH,OH (d) CH,OH
> Identify each of the following structures as either D- or L-glyceraldehyde: но TH. HO, (a) OH (b) OH OH но. (c) HO. (d) CHO
> Classify each of the following monosaccharides as either D or L, as either an aldo or a keto sugar, and as a tetrose, pentose, or hexose: H. H. H. H OH H OH H OH HO H H- -OH но H. H- OH H- FOH (a) ČH,OH (b) ČH,OH (c) ČH,OH H. H- -O- ÇH,OH Но C=0 -OH
> Predict the product that is obtained when cellobiose is treated with each of the following reagents: a. NaBH4, H2O b. Br2, H2O (pH=6) c. CH3OH, HCl d. Ac2O, pyridine
> Draw the structure of the product obtained when the following disaccharide is treated with NaBH4 in methanol: CH2OH но CH,OH но. он но OH OH
> Determine whether each of the following disaccharides is a reducing sugar: OH CH,OH OH OH но CH,OH но- но OH но OH OH но -OCH, (a) OH (b) OH OH он CH2OH OH OH HOCH, (c) но но Sucrose
> When D-glucose undergoes a Wohl degradation followed by a Kiliani–Fischer chain-lengthening process, a mixture of two epimeric products is obtained. Identify both epimers.
> Identify the reagents you would use to convert D-ribose into D-erythrose (Problem 24.22).
> Draw and name the two aldohexoses that can be converted into D-ribose (Problem 24.34a) using a Wohl degradation.
> 74. In the following compound, how many of the π bonds are conjugated? a. 0 b. 1 c. 2 d. 3 75. Which set of starting materials could be used to prepare the following compound in one step? 76. What is the major product of the following r
> Identify the reagents you would use to convert D-erythrose (Problem 24.22) into D-ribose. What other product is also formed in this process?
> Draw and name the pair of epimers formed when the following aldopentoses undergo a Kiliani–Fischer chain-lengthening process: H. OH H- OH но- OH но- но FH H- H- OH OH ČH,OH ČH,OH ČH,OH (а) D-Ribosе (b) D-Xylose (с) D-Lyxose
> Do you expect β-D-glucopyranose pentamethyl ether to be a reducing sugar? Explain your reasoning.
> Draw and name the product obtained when each of the following compounds is treated with aqueous bromine (at pH = 6): a. α-D-Galactopyranose b. β-D-Galactopyranose c. α-D-Glucopyranose d. β-D-Glucopyranose
> Determine whether each of the following compounds is a reducing sugar: CH,OH OH CH,OH CH2OCH3 но H,CO H3CO- OH ÓCH, но OH OH (b) OCH, (a) OH (c)
> Of the eight d-aldohexoses, only two of them form optically inactive alditols when treated with sodium borohydride in the presence of water. Identify these two aldohexoses and explain why their alditols are optically inactive.
> The same product is obtained when either D-allose or L-allose is treated with sodium borohydride in the presence of water. Explain this observation.
> The same product is obtained when either d-altrose or d-talose is treated with sodium borohydride in the presence of water. Explain this observation.
> Draw and name the structure of the aldohexose that is epimeric with D-glucose at each of the following positions: a. C2 b. C3 c. C4
> Methyl α-D-glucopyranoside is a stable compound that does not undergo mutarotation under neutral or basic conditions. However, when subjected to acidic conditions, an equilibrium is established consisting of both methyl α-D-glucopyranoside and methyl β-D
> When α-D-galactopyranose is treated with ethanol in the presence of an acid catalyst, such as HCl, two products are formed. Draw both products and account for their formation with a mechanism
> Draw the product obtained when each of the compounds from the previous problem is treated with methyl iodide in the presence of silver oxide (Ag2O).
> Draw the product obtained when each of the following compounds is treated with acetic anhydride in the presence of pyridine: a. α-D-Galactopyranose b. α-D-Glucopyranose c. β-D-Galactopyranose
> Draw the open-chain form of the carbohydrate that can undergo acid-catalyzed cyclization to produce α-D-fructopyranose.
> Draw a mechanism for the acid-catalyzed cyclization of d-fructose to give β-D-fructofuranose.
> Draw a mechanism for the acid-catalyzed cyclization of l-threose to give β-L-threofuranose. (Hint: You may want to first review the mechanism for acid-catalyzed hemiacetal formation, Mechanism 19.5.)
> Consider the structures of the following two D-aldotetroses: Each of these compounds exists as a furanose ring, which is formed when the OH at C4 attacks the aldehyde group. Draw each of the following furanose rings: a. α-D-Erythrofuranos
> There are two chair conformations for β-D-glucopyranose. Draw the less stable chair conformation.
> Draw the open-chain form of the following cyclic monosaccharide: CH,OH но OH OH OH он
> Draw the more stable chair conformation for each of the following compounds: a. β-D-Galactopyranose b. α-D-Glucopyranose c. β-D-Glucopyranose
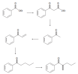
> Identify the reagents you would use to convert 3-pentanone into 3-hexanone.
> When D-talose is dissolved in water, an equilibrium is established in which two pyranose forms are present. Draw both pyranose forms and name them.
> Mutarotation causes the conversion of β-D-mannopyranose to α-D-mannopyranose. Using Haworth projections, draw the equilibrium between the two pyranose forms and the open-chain form of d-mannose.
> Provide a complete name for the following compound: CH,OH OH OH OH H H H. OH
> Draw a Haworth projection for each of the following compounds: a. β-D-Galactopyranose b. α- D -Mannopyranose c. α- D -Allopyranose d. β- D -Mannopyranose e. β- D -Glucopyranose f. α- D -Glucopyranose
> The following compound has one aldehyde group and two OH groups. Under acidic conditions, either one of the OH groups can function as a nucleophile and attack the carbonyl group, giving rise to two possible ring sizes. a. Ignoring stereochemistry (for n
> Identify the hydroxyaldehyde that will cyclize under acidic conditions to give the following hemiacetal: OH
> Draw the cyclic hemiacetal that is formed when each of the following bifunctional compounds is treated with aqueous acid: H. но но. (a) OH (b) но H (с) н (d)
> Which of the following terms best describes the relationship between d-fructose and d-glucose? Explain your choice. a. Enantiomers b. Diastereomers c. Constitutional isomers
> Draw and name the enantiomer of D-fructose.
> There are four stereoisomeric aldotetroses. a. Draw all four and arrange them in pairs of enantiomers. b. Identify which stereoisomers are D sugars and which are L sugars
> Draw the condensation product obtained when the following compound is heated in the presence of aqueous sodium hydroxide: NaOH, H,O H,O Heat
> There are only two stereoisomeric ketotetroses. a. Draw both of them. b. Identify their stereoisomeric relationship. c. Identify which is a D sugar and which is an L sugar
> D-allose is an aldohexose in which all four chiral centers have the R configuration. Draw a Fischer projection of each of the following compounds: a. D-Allose b. L-Allose
> Determine whether each of the following carbohydrates is a D sugar or an L sugar and assign a configuration for each chiral center. After assigning the configuration for all of the chiral centers, do you notice any trend that would enable you to assign t
> Would you expect an aldohexose and a ketohexose to be constitutionally isomeric? Explain why or why not.
> Classify each of the following carbohydrates as an aldose or ketose and then insert the appropriate term to indicate the number of carbon atoms present (e.g., an aldopentose): H. но ÇH,OH но H- OH C=0 H OH H- -OH H- OH OH H OH ČH,OH CH,OH CH,OH (a) (
> The formal synthesis of quinine in 1944 by Woodward and Doering was a landmark achievement.7 During their synthesis, the following compound was treated with excess methyl iodide, followed by a strong alkali solution of NaOH. Under these conditions, the i
> Nicotine is well known for its addictive characteristic in cigarettes. Interestingly, it has also been suggested to have potential therapeutic potential in central nervous system disorders such as Alzheimer’s disease, Parkinsonâ&#
> In the first asymmetric synthesis5 of (−)-(S,S)-homaline, an alkaloid isolated in the early 1970s, a key intermediate was compound 2. Provide reagents for converting compound 1 into compound 2. CI Ng Me. HN Two steps cO.
> When D-glucose is treated with aqueous sodium hydroxide, a complex mixture of carbohydrates is formed, including D-mannose and d-fructose. Over time, almost all aldohexoses will be present in the mixture. Even L-glucose can be detected, albeit in very sm
> Compound A is an amine that does not possess a chiral center. Compound A was treated with excess methyl iodide and then heated in the presence of aqueous silver oxide to produce an alkene. The alkene was further subjected to ozonolysis to produce butanal
> Propose a plausible mechanism for the following transformation: OH
> Propose a synthesis for the following transformation (be sure to count the carbon atoms): Br
> Compound 1 undergoes an intramolecular Simmons–Smith type reaction to afford a fused bicyclic meso product (compound 3), which can be used as a synthetic intermediate for subsequent ringopening reactions. The cyclopropanation process is
> Compound 1, called 5-epi-hydroxycornexistin, is a diastereoisomer of the herbicidal natural product hydroxycornexistin. The ninemembered carbocyclic core of compound 1 was recently synthesized using two sequential organometallic operations. Provide a rea
> The bicyclic compound cis-sabinene hydrate is a natural product that is one of the main molecules responsible for the flavor of the herb marjoram. It can be prepared as a racemic mixture via the one-pot synthesis shown below. Step 2 is diastereoselective
> (−)-Rapamycin, a powerful immunosuppressive and antibiotic agent, is produced by the bacterium Streptomyces hygroscopicus, found in the soil native to Easter Island (in the South Pacific). K. C. Nicolaou was the first of several investi
> During a recent total synthesis of asteriscanolide, a sesquiterpene lactone with unprecedented molecular architecture, compound A was heated with the Grubbs 2nd generation catalyst under an atmosphere of ethylene gas to form compound B. Compound B is not
> Disorazoles are a family of structurally related natural products first isolated in 1994 from the fermentation broth of the bacterium Sorangium cellulosum. These natural products exhibit anticancer properties, thereby fueling the search for more potent a
> The compound below was exposed to a palladium catalyst to produce a macrocycle (large ring). The macrocycle subsequently underwent a rearrangement to produce a fused hexacyclic (six-ring) structure. The ring system of the final product is one that is fou
> Saudin is a naturally occurring compound that has been found to induce hypoglycemia (low blood sugar) in mice and may thus serve as a potential lead structure for the development of new drugs to help control diabetes. A section of the fused polycyclic s
> The reaction sequence below allows for the preparation of novel liquid crystalline materials using a series of organometallic reactions. The aryllithium shown is converted to organozinc A. This compound then undergoes Negishi coupling with an organic ele
> Starting with ethyl acetoacetate and using any other reagents of your choice, show how you would prepare each of the following compounds: сосн Ph (а) Ph (b) (c)
> K-13 is a naturally occurring molecule with a cyclic structure that constrains its tripeptide backbone. A key step in a synthesis of K-13 involves an intramolecular Pd-catalyzed Negishi coupling to produce compound 1, which is subsequently converted to t
> Bipyridine compounds are used as ligands in a broad range of metal complexes. Asymmetric bipyridines, in which the two pyridine units are not identical, can be produced by Negishi coupling between an arylzinc and an aryl triflate as shown. Provide the s
> Compounds 1–3, called alkenyl phosphates, were investigated as electrophiles in Negishi coupling reactions with organozinc compounds 4 and 5. The phosphate group, −OP(=O)(OPh)2, serves as the leaving group in the react
> A calix[4]arene is a cone-shaped macrocycle (large ring) composed of four arenes connected by intervening CH2 groups. The calix[4]arene below was subjected to the following reaction sequence: 1. excess t-BuLi; 2. excess ZnCl2; 3. excess 4-iodotoluene,
> The following synthesis was developed as a method to prepare 4-aryl piperidine derivatives, a group of compounds containing a common structural unit found in a variety of active pharmaceutical agents.11 Draw the structures of compounds A and B. Pd ca
> When treated with a Grubbs catalyst, 1-pentene is converted into two products, A and B, each of which has the molecular formula C8H16. Compound A undergoes a Simmons–Smith reaction to give 1, while B undergoes a Simmonsâ€
> When a Stille coupling reaction is performed in the presence of carbon monoxide (CO), a ketone is obtained, as shown here: Using this procedure, show how you would make each of the following compounds from bromobenzene: CO R R-X Bu, Sn Pd(PPhy)4 (a