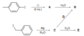
Draw the structures of compounds AâE in the following reaction scheme:

LI H20 A в (2 eq.) D Mg D,0 Et0
> Using 1-pentene as your only source of carbon atoms, show how you would use a Corey–Posner/Whitesides–House reaction to prepare decane.
> Propose a two-step synthesis that will achieve the following transformation: H エ エ
> Starting with 4-nitrostyrene and using any other reagents of your choice, show how you would make each of the following: O,N- (a) (b) O,N (c) O,N
> Starting with 1-butyne and using any other reagents of your choice, show how you would use a Suzuki coupling reaction to make each of the following compounds: (b) (c)
> Using lithium diphenylcuprate (Ph2CuLi) and any other reagents of your choice, show how you would prepare each of the following compounds: (a) (b) OCH, (c) (d)
> Compounds A and B will each undergo an intramolecular Heck reaction, although each compound generates a different product. Draw the product of each reaction and explain why different products are obtained. A в
> When 5-tert-butylcycloheptene undergoes a Simmons–Smith reaction, two products are formed, A and B, each of which has the molecular formula C12H22. a. Draw structures for A and B. b. Identify the relationship between A and B. c. Taki
> Draw the expected product for each of the following coupling reactions: (Ph),CuLi, ? (a) ? 1) Catechol borane (b) 2) CgHgBr, Pd(PPhg)a, NaOH Pd(PPh)4 NAOH (c) Ph Oon . ? OTf Pd(OAc)2 PPh, EtN (d)
> Draw the product that is expected when each of the following undergoes a ring-closing metathesis (RCM): .? Grubbs cat H-N (a) он ? Grbbs cat. (b) OH ? Grubbs ca. OMe (c) ? Grubbs cat. (d)
> 68. What is the expected major product of the following Heck cross-coupling reaction? 69. In the presence of Pd(PPh3)4 and a suitable base, which coupling partners will react in a Suzuki coupling reaction to give the following diene? 70. Which set of r
> Draw the product that is expected when each of the following undergoes a ring-opening metathesis (ROM) in the presence of ethylene gas: H (a) (d) (e) (f)
> Draw the expected product for each of the following coupling reactions: ? Pd(OAc)2 + 2 (a) PPh, Et,Ň ? Pd(OAc)2 ElgN (b) Pd(OAc)2 -OTf (c) EtgN ? Pd(OAc)2 (d) Et,N
> Exaltolide is a lactone (cyclic ester) used in perfume formulations, and it can be prepared as shown below. Draw the structure of exaltolide: 1) Grubbs cat. Exaltolide 2) H. PI
> Draw the structures of compounds A, B, and C in the following reaction sequence: Br 1) LI (2 eq.) A 2) B(OMe)a Pd(PPh) Grubbs cat.
> Draw the structures of compounds A, B, and C in the following reaction sequence: Grubbs cat. A Pd(PPh). Grubbs cat. B H H
> Stille coupling has been extended to include the coupling between sp- and sp2 -hybridized carbon atoms, when an alkynyl stannane (R−≡−SnBu3) is used. Draw the coupling product that is expected when p
> In a study exploring the utility of olefin metathesis reactions, each of the following trienes was prepared and subjected to a Grubbs catalyst. Each molecule underwent a tandem ring-opening/ring-closing reaction resulting in the cleavage of the C=C unit
> Draw the product that is expected when each of the following compounds is treated with a Grubbs catalyst: (a) (b) (c) (d)
> Draw the diene that you would use to prepare each of the following compounds via a ring-closing metathesis reaction: (a) (b) (c) (d)
> Draw the alkene that you would use to prepare the following compound via an alkene metathesis reaction:
> Draw the condensation product that is expected when each of the following esters is treated with sodium ethoxide followed by acid workup: (a) OEt (b) OEt
> Draw all of the products that are expected when trans-2- pentene is treated with a Grubbs catalyst.
> Draw the products that are expected when each of the following compounds is treated with a Grubbs catalyst: (a) (b) (c) (d) (e)
> Strychnine is a highly toxic, heptacyclic alkaloid isolated from seeds of the Strychnos genus of plant, which are distributed throughout Asia, Africa, and the Americas. In addition to being a human toxin, it has also been used for centuries as a vertebra
> Predict the product of the following intramolecular Heck reaction: ? Pd(OAc), PPh, ElN
> Identify the coupling partners that can be used to prepare each of the following compounds via a Heck reaction: NH2 -OCH (a) (b) (c) CN (f)
> Savinin and gadain are two naturally occurring compounds with structures that differ only in the configuration of a C=C unit. Organozinc compound 1 was treated with vinyl bromide 2 in the presence of Pd(PPh3)4 to produce compound 3, which was subsequentl
> The antitumor agent FR901464 is a natural product isolated from a bacterium found in a Japanese soil sample. In a reported total synthesis of this molecule, compound 1 was treated with compound 2, in the presence of ZnCl2 and Pd(PPh3)4, to produce compou
> Keeping in mind the relative reactivity of vinyl iodides and vinyl bromides, draw the structures of coupling products A and B in the following reaction sequence: Br BrZn-= BrZn-=-Si(fBu)a A B Pd(PPhl4 Pd(PPh).
> For each of the following cases, draw the coupling product that is expected when the organic electrophile is treated with the organozinc in the presence of catalytic Pd(PPh3)4: Br + BrZn (a) Br Osi((Bu), BrZn (b) (c) BrZn Br Cizn Br. (d)
> By virtue of noncovalent π–π interactions, compound 1 represents a novel bluetransparent frequency doubler that has proven useful in the field of nonlinear optics. Compound 1 can be prepared via sequential Suzuki c
> 67. Which of the following structures is not aromatic? 68. Which of the following is least likely to undergo an SN1 reaction with EtOH? 69. What is the major product of the following reaction sequence? нн NO (a) (b) (c) (d) エーZ Br Br -Br Br (a) (b
> Taxol, used in the treatment of breast cancer, is produced by fungi in the bark of the Pacific Yew tree. Taxol is part of a class of structurally related natural compounds called taxanes that represent particularly challenging synthetic targets for organ
> Draw the structures of boronic ester A and coupling product B in the following reaction sequence: B-H Br A B Pd(PPh)4, NaOEt
> For each of the following cases, draw the coupling product that is expected when the organic electrophile is treated with the organoboron compound in the presence of a base and catalytic Pd(PPh3)4: Of (a) (b) B(OH)2 OMe Br он OMe B HO Meo MeO (c) (d)
> (+)-Jatrophone, a natural product isolated from the flowering plant Jatropha gossypiifolia, is known to function as a tumor inhibitor and has been used to treat cancerous growths. As part of the first total synthesis4 of (+)-jatrophone, compound 1 was pr
> (S)-Zearalenone, a natural product isolated from the fungus Gibberella zeae, exhibits useful biological activity, including antibiotic properties. In a total synthesis of (S)-zearalenone, an intramolecular Stille coupling process was employed as the penu
> A compound possessing a vinyl triflate group as well as a trimethylstannane group, such as compound 1, can undergo an intramolecular Stille coupling reaction.2 This annulation (ring-making) procedure provides an efficient pathway for the construction of
> For each of the following cases, draw the coupling product that is expected when the organic electrophile is treated with the organostannane in the presence of catalytic Pd(PPh3)4: Br SnBu, (a) O,N (b) BuzSn Br SnBus Meo. (c) SnBug (d) Br SnBug (e) R
> When treated with molecular hydrogen (H2) in the presence of PtO2, cyclopropanes readily undergo carbon-carbon bond cleavage as a means to relieve ring strain, in a process known as hydrogenolysis: This hydrogenolysis procedure was successfully employed
> Draw the product that is expected when each of the following alkenes is treated with CH2I2 and Zn–Cu: (a) (b) (c) (d) (e)
> Using styrene as your only source of carbon atoms, show how you would prepare 1,4-diphenylbutane: 1,4-Diphenylbutane Styrene
> Cinnamaldehyde is one of the primary constituents of cinnamon oil and contributes significantly to the odor of cinnamon. Starting with benzaldehyde and using any other necessary reagents, show how you might prepare cinnamaldehyde. H. Cinnamaldehyde
> Using any two organohalides of your choice (where each organohalide can have no more than six carbon atoms), show how you would prepare each of the following compounds: (a) (b) (c)
> For each of the following cases, show how you would make the desired product from the organohalide shown and any other organohalide (RX) of your choice: RX (a) + + RX (b) RX (c) Br RX (d)
> Draw the structure of the product that is expected when the following lactone (cyclic ester) is treated with two equivalents of MeMgBr followed by aqueous workup: ? 1) MeMgBr (2 eq.) 2) H,0
> Draw the structures of compounds A–C in the following reaction scheme: TH. 1) EtMgBr H. 2) H,0 1) с 2) Н,о 1) в A 2) H20
> Draw the structures of compounds A–E in the following reaction scheme: 1) MeMgBr 2) H;0 1) D (2 eq.) 2) H,O 1) E 2) H20 1) PhMgBr 2) H,0 1) EIMgBr 2) H20 B
> Draw a mechanism for the conversion of compound C to compound E in the previous problem.
> Identify which of the following reagents is expected to be a stronger nucleophile and explain your choice: -MgBr -ZnBr
> Guanidine lacks a negative charge but is an extremely powerful base. In fact, it is almost as strong a base as a hydroxide ion. Identify which nitrogen atom in guanidine is so basic and explain why guanidine is a much stronger base than most other amines
> Propose an efficient synthesis for the following transformation: 'N.
> Diethyl malonate (the starting material for the malonic ester synthesis) reacts with bromine in acid-catalyzed conditions to form a product with the molecular formula C7H11BrO4. a. Draw the structure of the product. b. Draw a mechanism of formation fo
> When 3-methyl-3-phenyl-1-butanamine is treated with sodium nitrite and HCl, a mixture of products is obtained. The following compound was found to be present in the reaction mixture. Account for its formation with a complete mechanism (make sure to show
> Show the reagents you would use to achieve the following transformation: N.
> Propose an efficient synthesis for the following transformation:
> Using benzene as your only source of carbon atoms and ammonia as your only source of nitrogen atoms, propose an efficient synthesis for the following compound: HN NH
> Draw the structure of the compound with the molecular formula C8H11N that exhibits the following 1 H NMR and 13C NMR spectra: Proton NMR 2 22 7 6 3 2 Chemical Shift (ppm) Carbon NMR 128.8128.4 40.0 43.5- -126.1 138.8 140 130 120 110 100 90 80 70 60 5
> Draw the structure of the compound with the molecular formula C6H15N that exhibits the following 1 H NMR and 13C NMR spectra: Proton NMR 3 2 3.0 2.8 2.6 2.4 2.2 2.0 1.8 1.6 1.4 1.2 1.0 0.8 0.6 0.4 Chemical Shift (ppm) Carbon NMR - 45.8 -11.3 70 60 50
> Propose a mechanism for the following process: NEM Heat + N, + CO2 co2
> Starting with benzene and isopropyl chloride, show how you would prepare the following compound: N- -NH2 O,N-
> Phenacetin was widely used as an analgesic before it was removed from the market in 1983 on suspicion of being a carcinogen. It was widely replaced with acetaminophen (Tylenol), which is very similar in structure but is not carcinogenic. Starting with be
> Treatment of compound 1 with a Grubbs catalyst affords a mixture of two cyclic ethers, A and B. a. Draw the structures of the products A and B. Note: A fourmembered ring will not form if the option of a five-membered ring (or larger ring) is possible.
> When acetaldehyde is treated with aqueous acid, an aldol reaction can occur. In other words, aldol reactions can also occur in acidic conditions, although the intermediate is different than the intermediate involved in the base-catalyzed reaction. Draw a
> First isolated in 1969, ecteinascidin 743 belongs to a family of cytotoxic natural products isolated from a marine sponge of genus Ecteinascidia. These natural products were not fully identified until 1990, when exhaustive NMR studies provided synthetic
> Like alcohols, boronic acids [RB(OH)2)] can be protected using N-methyliminodiacetic acid (MIDA). The MIDA boronates that result are unreactive to normal Suzuki coupling conditions. When treated with NaOH, the boronic acid can be revealed and utilized in
> In a study exploring the utility of olefin metathesis reactions, the following triene was prepared and subjected to a Grubbs catalyst. The triene underwent a tandem ring-opening/ring-closing reaction resulting in the cleavage of the C=C unit within the r
> Diene 1 is useful in that it can be utilized in sequential Stille and Suzuki coupling reactions. The researchers who developed this reagent recognized that a Stille coupling could be selectively accomplished on the tin-bearing end of the molecule becaus
> N-Acetylcolchinol is a highly potent anticancer drug, and its characteristic 6,7,6 fused ring system can also be seen in the structure of dibenzo[a,c]cyclohepten-5-one. This ketone (and derivatives of it) may thus serve as a useful synthetic intermediat
> When the following compound is treated with excess methyl iodide, a quaternary ammonium salt is obtained that bears only one positive charge. Draw the structure of the quaternary ammonium salt. `NH, エーZ
> Draw the structures of all isomeric amines with the molecular formula C6H15N that are not expected to produce any signal above 3000 cm−1 in their IR spectra.
> Starting with benzene and any reagents with three or fewer carbon atoms, show how you would prepare each of the following compounds: NH, .CI (a) (b) ČI ZI NH, .N. N. (c) (d) ZI
> Primary or secondary amines will attack epoxides in a ringopening process: For substituted epoxides, nucleophilic attack generally takes place at the less sterically hindered side of the epoxide. Using this type of reaction, show how you might prepare t
> Piperazine is an antihelminthic agent (a drug used in the treatment of intestinal worms) that has the molecular formula C4H10N2. The proton NMR spectrum of piperazine exhibits two signals. When dissolved in D2O, one of these signals vanishes over time. P
> Identify reagents that can be used to make each of the following compounds with an aldol condensation: H. (a) (b) (c)
> Coniine has the molecular formula C8H17N and was present in the hemlock extract used to execute the Greek philosopher Socrates. Subjecting coniine to a Hofmann elimination produces (S)-N,Ndimethyloct-7-en-4-amine. Coniine exhibits one peak above 3000 cm−
> A compound with the molecular formula C5H13N exhibits three signals in its proton NMR spectrum and no signals above 3000 cm−1 in its IR spectrum. Draw two possible structures for this compound.
> Draw the product obtained when the diazonium salt formed from aniline is treated with each of the following compounds: a. Aniline b. Phenol c. Anisole (methoxybenzene)
> Draw a mechanism for the following transformation: Zーエ + エーZ エーZ
> Draw the expected product of the following reductive amination: (H,SO) NABH,CN ? NH2
> meta-Bromoaniline was treated with NaNO2 and HCl to yield a diazonium salt. Draw the product obtained when that diazonium salt is treated with each of the following reagents: a. H2O b. HBF4 c. CuCN d. H3PO2 e. CuBr
> Predict the major product(s) for each of the following reactions: NO, 1) Fe, H,0* ? 2) NaOH Br (a) NH, [H'] NABH,CN (b) .CN 1) хs LIAIH, 2) H,0 ? (c) 1) хs LIAIH, 2) H,0 ? N. (d)
> Draw the major product(s) that are expected when each of the following amines is treated with excess methyl iodide and then heated in the presence of aqueous silver oxide. NH, NH, (a) (b)
> Consider the structure of the azo dye called alizarine yellow R (below). Show the reagents you would use to prepare this compound via an azo coupling process. OH .N. 'N' O,N
> Draw the product formed when each of the following compounds is treated with NaNO2 and HCl: NH2 N. (a) (b) IZ
> Trimethylacetaldehyde does not undergo an aldol reaction when treated with a base. Explain why not.
> Benzphetamine is an appetite suppressant that is marketed under the trade name Didrex and used in the treatment of obesity. Identify at least two different ways to make benzphetamine via a reductive amination process. Benzphetamine
> Rimantadine is an antiviral drug used to treat people infected with life-threatening influenza viruses. Identify the starting ketone that would be necessary in order to prepare rimantadine via a reductive amination. NH, Rimantadine
> In this chapter, we explained why pyrrole is such a weak base, but we did not discuss the acidity of pyrrole. In fact, pyrrole is 20 orders of magnitude more acidic than most simple amines. Draw the conjugate base of pyrrole and explain its relatively hi
> Fill in the missing reagents: N. NH2 CHO сно -NH2 CHO
> Predict the major product for each of the following reactions: ? 'N' 1) Excess Mel 2) Ag20, H20, heat (a) 1) КОН 2) EtBr 3) H,NNH, ? N-H (b) Br 1) NaCN, DMSO 2) H,0", heat 3) SOC, 4) еxcess NHg ? (c) 1) HNO,, H,SO, 2) Fe, H,0* ? 3) NaOH 4) NANO, HCI
> One variation of the Gabriel synthesis employs hydrazine to free the amine in the final step of the synthesis. Draw the by-product obtained in this process. ? H,N-NH, N-R RNH, +
> Draw a mechanism for the last step of the Gabriel synthesis, performed under basic conditions. .coo N-R NAOH RNH, + COO
> Propose a synthesis for each of the following transformations: (a) COOH (b)
> In general, nitrogen atoms are more basic than oxygen atoms. However, when an amide is treated with a strong acid, such as sulfuric acid, it is the oxygen atom of the amide that is protonated, rather than the nitrogen atom. Explain this observation.
> Methadone is a powerful analgesic that is used to suppress withdrawal symptoms in the rehabilitation of heroin addicts. Identify the major product that is obtained when methadone is subjected to a Hofmann elimination. N- Methadone
> Draw the product obtained when each of the following compounds is heated in the presence of a base to give an aldol condensation: H. (a) (b) (c) H
> para-Nitroaniline is an order of magnitude less basic than metanitroaniline. a. Explain the observed difference in basicity. b. Would you expect the basicity of ortho-nitroaniline to be closer in value to meta-nitroaniline or to para-nitroaniline?
> When aniline is treated with fuming sulfuric acid, an electrophilic aromatic substitution reaction takes place at the meta position instead of the para position, despite the fact that the amino group is an ortho-para director. Explain this curious result
> Propose a mechanism for the following transformation: [H'1 NABH,CN NH, CH;NH,