2.99 See Answer

Question: Fill in the missing reagents: /

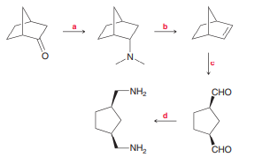
Fill in the missing reagents:
Fill in the missing reagents:





Transcribed Image Text:

N. NH2 CHO сно -NH2 CHO



> Using styrene as your only source of carbon atoms, show how you would prepare 1,4-diphenylbutane: 1,4-Diphenylbutane Styrene

> Cinnamaldehyde is one of the primary constituents of cinnamon oil and contributes significantly to the odor of cinnamon. Starting with benzaldehyde and using any other necessary reagents, show how you might prepare cinnamaldehyde. H. Cinnamaldehyde

> Using any two organohalides of your choice (where each organohalide can have no more than six carbon atoms), show how you would prepare each of the following compounds: (a) (b) (c)

> For each of the following cases, show how you would make the desired product from the organohalide shown and any other organohalide (RX) of your choice: RX (a) + + RX (b) RX (c) Br RX (d)

> Draw the structure of the product that is expected when the following lactone (cyclic ester) is treated with two equivalents of MeMgBr followed by aqueous workup: ? 1) MeMgBr (2 eq.) 2) H,0

> Draw the structures of compounds A–C in the following reaction scheme: TH. 1) EtMgBr H. 2) H,0 1) с 2) Н,о 1) в A 2) H20

> Draw the structures of compounds A–E in the following reaction scheme: 1) MeMgBr 2) H;0 1) D (2 eq.) 2) H,O 1) E 2) H20 1) PhMgBr 2) H,0 1) EIMgBr 2) H20 B

> Draw a mechanism for the conversion of compound C to compound E in the previous problem.

> Draw the structures of compounds A–E in the following reaction scheme: LI H20 A в (2 eq.) D Mg D,0 Et0

> Identify which of the following reagents is expected to be a stronger nucleophile and explain your choice: -MgBr -ZnBr

> Guanidine lacks a negative charge but is an extremely powerful base. In fact, it is almost as strong a base as a hydroxide ion. Identify which nitrogen atom in guanidine is so basic and explain why guanidine is a much stronger base than most other amines

> Propose an efficient synthesis for the following transformation: 'N.

> Diethyl malonate (the starting material for the malonic ester synthesis) reacts with bromine in acid-catalyzed conditions to form a product with the molecular formula C7H11BrO4. a. Draw the structure of the product. b. Draw a mechanism of formation fo

> When 3-methyl-3-phenyl-1-butanamine is treated with sodium nitrite and HCl, a mixture of products is obtained. The following compound was found to be present in the reaction mixture. Account for its formation with a complete mechanism (make sure to show

> Show the reagents you would use to achieve the following transformation: N.

> Propose an efficient synthesis for the following transformation:

> Using benzene as your only source of carbon atoms and ammonia as your only source of nitrogen atoms, propose an efficient synthesis for the following compound: HN NH

> Draw the structure of the compound with the molecular formula C8H11N that exhibits the following 1 H NMR and 13C NMR spectra: Proton NMR 2 22 7 6 3 2 Chemical Shift (ppm) Carbon NMR 128.8128.4 40.0 43.5- -126.1 138.8 140 130 120 110 100 90 80 70 60 5

> Draw the structure of the compound with the molecular formula C6H15N that exhibits the following 1 H NMR and 13C NMR spectra: Proton NMR 3 2 3.0 2.8 2.6 2.4 2.2 2.0 1.8 1.6 1.4 1.2 1.0 0.8 0.6 0.4 Chemical Shift (ppm) Carbon NMR - 45.8 -11.3 70 60 50

> Propose a mechanism for the following process: NEM Heat + N, + CO2 co2

> Starting with benzene and isopropyl chloride, show how you would prepare the following compound: N- -NH2 O,N-

> Phenacetin was widely used as an analgesic before it was removed from the market in 1983 on suspicion of being a carcinogen. It was widely replaced with acetaminophen (Tylenol), which is very similar in structure but is not carcinogenic. Starting with be

> Treatment of compound 1 with a Grubbs catalyst affords a mixture of two cyclic ethers, A and B. a. Draw the structures of the products A and B. Note: A fourmembered ring will not form if the option of a five-membered ring (or larger ring) is possible.

> When acetaldehyde is treated with aqueous acid, an aldol reaction can occur. In other words, aldol reactions can also occur in acidic conditions, although the intermediate is different than the intermediate involved in the base-catalyzed reaction. Draw a

> First isolated in 1969, ecteinascidin 743 belongs to a family of cytotoxic natural products isolated from a marine sponge of genus Ecteinascidia. These natural products were not fully identified until 1990, when exhaustive NMR studies provided synthetic

> Like alcohols, boronic acids [RB(OH)2)] can be protected using N-methyliminodiacetic acid (MIDA). The MIDA boronates that result are unreactive to normal Suzuki coupling conditions. When treated with NaOH, the boronic acid can be revealed and utilized in

> In a study exploring the utility of olefin metathesis reactions, the following triene was prepared and subjected to a Grubbs catalyst. The triene underwent a tandem ring-opening/ring-closing reaction resulting in the cleavage of the C=C unit within the r

> Diene 1 is useful in that it can be utilized in sequential Stille and Suzuki coupling reactions. The researchers who developed this reagent recognized that a Stille coupling could be selectively accomplished on the tin-bearing end of the molecule becaus

> N-Acetylcolchinol is a highly potent anticancer drug, and its characteristic 6,7,6 fused ring system can also be seen in the structure of dibenzo[a,c]cyclohepten-5-one. This ketone (and derivatives of it) may thus serve as a useful synthetic intermediat

> When the following compound is treated with excess methyl iodide, a quaternary ammonium salt is obtained that bears only one positive charge. Draw the structure of the quaternary ammonium salt. `NH, エーZ

> Draw the structures of all isomeric amines with the molecular formula C6H15N that are not expected to produce any signal above 3000 cm−1 in their IR spectra.

> Starting with benzene and any reagents with three or fewer carbon atoms, show how you would prepare each of the following compounds: NH, .CI (a) (b) ČI ZI NH, .N. N. (c) (d) ZI

> Primary or secondary amines will attack epoxides in a ringopening process: For substituted epoxides, nucleophilic attack generally takes place at the less sterically hindered side of the epoxide. Using this type of reaction, show how you might prepare t

> Piperazine is an antihelminthic agent (a drug used in the treatment of intestinal worms) that has the molecular formula C4H10N2. The proton NMR spectrum of piperazine exhibits two signals. When dissolved in D2O, one of these signals vanishes over time. P

> Identify reagents that can be used to make each of the following compounds with an aldol condensation: H. (a) (b) (c)

> Coniine has the molecular formula C8H17N and was present in the hemlock extract used to execute the Greek philosopher Socrates. Subjecting coniine to a Hofmann elimination produces (S)-N,Ndimethyloct-7-en-4-amine. Coniine exhibits one peak above 3000 cm−

> A compound with the molecular formula C5H13N exhibits three signals in its proton NMR spectrum and no signals above 3000 cm−1 in its IR spectrum. Draw two possible structures for this compound.

> Draw the product obtained when the diazonium salt formed from aniline is treated with each of the following compounds: a. Aniline b. Phenol c. Anisole (methoxybenzene)

> Draw a mechanism for the following transformation: Zーエ + エーZ エーZ

> Draw the expected product of the following reductive amination: (H,SO) NABH,CN ? NH2

> meta-Bromoaniline was treated with NaNO2 and HCl to yield a diazonium salt. Draw the product obtained when that diazonium salt is treated with each of the following reagents: a. H2O b. HBF4 c. CuCN d. H3PO2 e. CuBr

> Predict the major product(s) for each of the following reactions: NO, 1) Fe, H,0* ? 2) NaOH Br (a) NH, [H'] NABH,CN (b) .CN 1) хs LIAIH, 2) H,0 ? (c) 1) хs LIAIH, 2) H,0 ? N. (d)

> Draw the major product(s) that are expected when each of the following amines is treated with excess methyl iodide and then heated in the presence of aqueous silver oxide. NH, NH, (a) (b)

> Consider the structure of the azo dye called alizarine yellow R (below). Show the reagents you would use to prepare this compound via an azo coupling process. OH .N. 'N' O,N

> Draw the product formed when each of the following compounds is treated with NaNO2 and HCl: NH2 N. (a) (b) IZ

> Trimethylacetaldehyde does not undergo an aldol reaction when treated with a base. Explain why not.

> Benzphetamine is an appetite suppressant that is marketed under the trade name Didrex and used in the treatment of obesity. Identify at least two different ways to make benzphetamine via a reductive amination process. Benzphetamine

> Rimantadine is an antiviral drug used to treat people infected with life-threatening influenza viruses. Identify the starting ketone that would be necessary in order to prepare rimantadine via a reductive amination. NH, Rimantadine

> In this chapter, we explained why pyrrole is such a weak base, but we did not discuss the acidity of pyrrole. In fact, pyrrole is 20 orders of magnitude more acidic than most simple amines. Draw the conjugate base of pyrrole and explain its relatively hi

> Predict the major product for each of the following reactions: ? 'N' 1) Excess Mel 2) Ag20, H20, heat (a) 1) КОН 2) EtBr 3) H,NNH, ? N-H (b) Br 1) NaCN, DMSO 2) H,0", heat 3) SOC, 4) еxcess NHg ? (c) 1) HNO,, H,SO, 2) Fe, H,0* ? 3) NaOH 4) NANO, HCI

> One variation of the Gabriel synthesis employs hydrazine to free the amine in the final step of the synthesis. Draw the by-product obtained in this process. ? H,N-NH, N-R RNH, +

> Draw a mechanism for the last step of the Gabriel synthesis, performed under basic conditions. .coo N-R NAOH RNH, + COO

> Propose a synthesis for each of the following transformations: (a) COOH (b)

> In general, nitrogen atoms are more basic than oxygen atoms. However, when an amide is treated with a strong acid, such as sulfuric acid, it is the oxygen atom of the amide that is protonated, rather than the nitrogen atom. Explain this observation.

> Methadone is a powerful analgesic that is used to suppress withdrawal symptoms in the rehabilitation of heroin addicts. Identify the major product that is obtained when methadone is subjected to a Hofmann elimination. N- Methadone

> Draw the product obtained when each of the following compounds is heated in the presence of a base to give an aldol condensation: H. (a) (b) (c) H

> para-Nitroaniline is an order of magnitude less basic than metanitroaniline. a. Explain the observed difference in basicity. b. Would you expect the basicity of ortho-nitroaniline to be closer in value to meta-nitroaniline or to para-nitroaniline?

> When aniline is treated with fuming sulfuric acid, an electrophilic aromatic substitution reaction takes place at the meta position instead of the para position, despite the fact that the amino group is an ortho-para director. Explain this curious result

> Propose a mechanism for the following transformation: [H'1 NABH,CN NH, CH;NH,

> Lidocaine is one of the most widely used local anesthetics. Draw the form of lidocaine that is expected to predominate at physiological pH. .N. Lidocaine Z-I

> Tertiary amines with three different alkyl groups are chiral but cannot be resolved because pyramidal inversion causes racemization at room temperature. Nevertheless, chiral aziridines can be resolved and stored at room temperature. Aziridine is a three-

> Identify how you would make hexylamine from each of the following compounds: a. 1-Bromohexane b. 1-Bromopentane c. Hexanoic acid d. 1-Cyanopentane

> Identify how you would make each of the following compounds from 1-hexanol: a. Hexylamine    b. Heptylamine    c. Pentylamine

> Draw the structure of the major product obtained when aniline is treated with each of the following reagents: a. Excess Br2 b. PhCH2COCl, py c. Excess methyl iodide d. NaNO2 and HCl followed by H3PO2 e. NaNO2 and HCl followed by CuCN

> Each pair of compounds below will undergo an acid-base reaction. In each case, identify the acid, identify the base, draw curved arrows that show the transfer of a proton, and draw the products. HO. (a) (b)

> Draw all tertiary amines with the molecular formula C5H13N and provide a name for each isomer. Are any of these compounds chiral?

> The isomerization in the previous problem can also occur in basic conditions. Draw a mechanism for the transformation in the presence of catalytic hydroxide.

> For each pair of compounds, identify which compound is more acidic and explain your choice. a. 2,4-Dimethyl-3,5-heptanedione or 4,4-dimethyl-3,5-heptanedione b. 1,2-Cyclopentanedione or 1,3-cyclopentanedione c. Acetophenone or benzaldehyde

> Draw all constitutional isomers with the molecular formula C4H11N and provide a name for each isomer.

> Assign a name for each of the following compounds: NH, (b) -NH2 (c) (a) NH, .N. (d) Br (e) (f)

> Identify the number of chiral centers in each of the following structures: 'N' (a) (b)

> Consider the structure of lysergic acid diethylamide (LSD), a potent hallucinogen containing three nitrogen atoms. One of these three nitrogen atoms is significantly more basic than the other two. Identify the most basic nitrogen atom in LSD and explain

> Draw the structure of each of the following compounds: a. N-Ethyl-N-isopropylaniline   b. N,N-Dimethylcyclopropylamine c. (2R,3S)-3-(N,N-Dimethylamino)-2-pentanamine d. Benzylamine

> For each pair of compounds, identify the stronger base. vS. vs. N. 'N' (a) 'N. (b)

> Cinchocaine is a long-acting local anesthetic used in spinal anesthesia. Identify the most basic nitrogen atom in cinchocaine. N. N. Cinchocaine I-Z

> Clomipramine is marketed under the trade name Anafranil and is used in the treatment of obsessive compulsive disorder. a. Identify which nitrogen atom in clomipramine is more basic and justify your choice. b. Draw the form of clomipramine that is expec

> Spermine is a naturally occurring compound that contributes to the characteristic odor of semen. Classify each nitrogen atom in spermine as primary, secondary, or tertiary NH2 H,N H Spermine I-Z Z-

> How would you use NMR spectroscopy to distinguish between the following compounds? 'N' 'N (a) (b) N.

> Propose a plausible mechanism for the following isomerization and explain the driving force behind this reaction. In other words, explain why the equilibrium favors the product. он H30 ÓH

> How would you use IR spectroscopy to distinguish between the following compounds? 'N' (a) (b)

> Predict the product obtained when pyrrole is treated with a mixture of nitric acid and sulfuric acid at 0ºC.

> Pyridine undergoes electrophilic aromatic substitution at the C3 position. Justify this regiochemical outcome by drawing resonance structures of the intermediate produced from attack at C2, at C3, and at C4.

> As part of the effort to create new anti-cancer drugs that selectively target cancer cells, scientists are developing light-activated compounds such as trans-PST-1, which can be prepared from compound A, shown below. Upon irradiation with blue light, tra

> Identify the reactants you would use to prepare each of the following azo dyes via an azo coupling reaction: -NO2 -NH2 но HO3S (a) so,H (b) (c)

> Propose an efficient synthesis for each of the following transformations: NO2 Br Br NH2 CN (b) OH OH (c) (d) Br -F

> Predict the major product obtained when each of the following amines is treated with a mixture of NaNO2 and HCl: NH2 y-H NH (a) (b) (c) (d)

> Phencyclidine (PCP) was originally developed as an anesthetic for animals, but it has since become an illegal street drug because it is a powerful hallucinogen. Treatment of PCP with excess methyl iodide followed by aqueous silver oxide gives the followi

> Draw the major product that is expected when each of the following compounds is treated with excess methyl iodide followed by aqueous silver oxide and heat: a. Cyclohexylamine b. (R)-3-Methyl-2-butanamine c. N,N-Dimethyl-1-phenylpropan-2-amine

> Using acetic acid as your only source of carbon atoms, show how you could make N-ethyl acetamide. OH Zーエ

> Identify all of the different β-hydroxyaldehydes that are formed when a mixture of benzaldehyde and hexanal is treated with aqueous sodium hydroxide.

> Starting with nitrobenzene and using any other reagents of your choice, outline a synthesis of para-chloroaniline.

> When aniline is treated with a mixture of nitric acid and sulfuric acid, the expected nitration product (para-nitroaniline) is obtained in poor yield. Instead, the major product from nitration is meta-nitroaniline. Apparently, the amino group is protonat

> Neuroscience research has led chemists to explore compound 3 below and other related structures as potential drug candidates to treat obesity and depression. As part of this effort, compound 3 was prepared from compound 1. Show reagents that might be use

> Starting with sodium azide as your source of nitrogen and using any other reagents of your choice, show how you would prepare each of the compounds in Problem 22.16.

> Starting with potassium phthalimide as your source of nitrogen and using any other reagents of your choice, show how you would prepare each of the compounds in Problem 22.16.

> Using ammonia as your source of nitrogen, show the reagents you would use to prepare each of the following amines: 'N. H -NH2 -N (a) (b) (c) N. 'N' (d) (e) (f)

> Methamphetamine is used in some formulations for the treatment of attention deficit disorder and can be prepared by reductive amination using phenylacetone and methylamine. Draw the structure of methamphetamine.

> Show two different ways of preparing each of the following compounds via a reductive amination: H (a) (b) - (c) (d) (e)

> Fluorescent compounds emit light when excited, and some fluorescent compounds have been used for the detection, or sensing, of small molecules, metals, and changes in pH, among other things. Dapoxylsulfonic acid (DSA) is a fluorescent molecule that respo

> Using a Gabriel synthesis, show how you would make each of the following compounds: NH2 NH2 NH2 (a) (b) (c) (d) NH2

2.99

See Answer