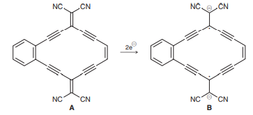
Due to their potential application in organic electronic devices, such as television screens, a large number of compounds containing quinoidal pi systems (such as compound A) have been prepared. Reduction of A gives B, as shown:

a. Determine whether the 14-membered ring in B is aromatic.
b. Draw resonance structures showing how the negative charges in B are delocalized.
c. Draw at least three resonance structures that demonstrate the delocalized nature of the unpaired electrons in B.
NC .CN NC. CN - --- 2e CN. A CN B
> For each of the following compounds, determine the position that is most likely to be the site of an electrophilic aromatic substitution reaction: O2N OMe HO. NO2 (a) (b) Br OH H. TH. но. (c) (d)
> 4-Fluoro-3-nitroaniline is a patented synthetic precursor used in the production of commercial hair dyes. Identify the position(s) on this compound most likely to undergo electrophilic aromatic substitution. NH2 *NO2
> Identify reagents that can be used to achieve the following transformation: он он
> For each compound below, identify which position(s) is/are most likely to undergo an electrophilic aromatic substitution reaction. CH CH O2N NO2 (a) (b) O,N NO2 (c) CN Br OH (d) (e) (f) OMe Br HO (g) (h) Br (i) O
> Diazepam is a prescription medication first marketed under the trade name Vallium, and used to treat anxiety disorders. Predict whether the monosubstituted aromatic ring in diazepam is activated or deactivated toward electrophilic aromatic substitution,
> For each of the following compounds, predict whether the ring is activated or deactivated, then predict the strength of activation/deactivation, and finally predict the expected directing effects. Br -NO2 (a) (b) (c) N- (d) (e) (f)
> Predict and explain the regiochemical outcome for chlorination of bromobenzene.
> Does chlorination of chlorobenzene require the use of a Lewis acid? Explain why or why not.
> When 1,3-dinitrobenzene is treated with nitric acid and sulfuric acid at elevated temperature, the product is 1,3,5-trinitrobenzene. Explain the regiochemical outcome of this reaction. In other words, explain why nitration takes place at the C5 position.
> When ethoxybenzene is treated with a mixture of nitric acid and sulfuric acid, two products are obtained, each of which has the molecular formula C8H9NO3. a. Draw the structure of each product. b. Propose a mechanism of formation for the major product.
> Draw the two major products obtained when toluene undergoes monobromination.
> A Friedel–Crafts acylation is an electrophilic aromatic substitution in which the electrophile (E+) is an acylium ion. There are other methods of forming acylium ions, such as treatment of an anhydride (shown below) with a Lewis acid. T
> The following compound cannot be made with either a Friedel–Crafts alkylation or acylation. Explain.
> For each of the following reactions, predict the major product and propose a mechanism for its formation: 1) NaH 1) LDA ? ? 1) LDA, -78'C 2) Etl ? 2) CH,I 2) CH,Br 1) LDA, -78'C (a) (b) (c) 2) CH,I
> Identify whether each of the following compounds can be made using a direct Friedel–Crafts alkylation or whether it is necessary to perform an acylation followed by a Clemmensen reduction to avoid carbocation rearrangements: (a) (b)
> A Friedel–Crafts alkylation is an electrophilic aromatic substitution in which the electrophile (E+) is a carbocation. In previous chapters, we have seen other methods of forming carbocations, such as protonation of an alkene using a st
> Draw a mechanism for the following reaction, which involves two consecutive Friedel–Crafts alkylations. AICI3 to
> Predict the expected product(s) when benzene is treated with each of the following alkyl halides in the presence of AlCl3. In each case, assume conditions have been controlled to favor monoalkylation. 'CI (a) (b) (c)
> Draw a mechanism for the following reaction and make sure to draw all three resonance structures of the sigma complex: NO2 HNO, H,SO,
> When benzene is treated with D2SO4, a deuterium atom replaces one of the hydrogen atoms. Propose a mechanism for this reaction. Once again, make sure that your mechanism involves a sigma complex. D;SO,
> Draw a mechanism for the following reaction. Hint: This reaction is the reverse of sulfonation, so you should read the sulfonation mechanism backward. Your mechanism should involve a sigma complex (positively charged). so,H H. Dilute H,SO,
> When benzene is treated with 2 in the presence of CuCl2, iodination of the ring is achieved with modest yields. It is believed that CuCl2 interacts with 2 to generate +, which is an excellent electrophile. The aromatic ring then reacts with + in an elect
> Predict the products for each of the following reactions: CN H. NC CN a) NC (c) Meo COOH CN HOOC d) Meo (f)
> The following synthesis was developed in an effort to prepare an analogue of a polycyclic aromatic hydrocarbon in which one of the C=C bonds was replaced with a B−N unit. Such derivatives are expected to display unique optical and elect
> When the following compound is treated with sodium ethoxide, followed by acid work-up, two condensation products are obtained, both of which are produced via Dieckmann cyclizations. Draw both products. EtO OEt
> Treatment of compound 1 with benzene in triflic acid (CF3SO3H) affords ammonium ion 3. Triflic acid is an extremely strong acid (pKa = −14), even more acidic than sulfuric acid; under these conditions, the transformation is believed to
> Electrophilic addition of HI proceeds with the same mechanism as HCl and HBr. New methods for the hydroiodination of dienes were studied and the reactions consistently produced the thermodynamic addition product. Predict the products of the given reactio
> When 1,4-dimethylcyclohepta-1,3-diene is treated with HBr at elevated temperature, the 1, 2-adduct predominates, rather than the 1,4-adduct. Explain this result. HBr 40°C Br
> Predict the products for each of the following reactions, and in each case, determine which product will predominate: HCI ? ? HBr HBr O°C 40°C O'C (b) (c)
> Consider the following reaction, in which the product results from substitution of fluorine and not from substitution of chlorine. a. Draw a mechanism for this reaction. b. Based on the observed regiochemical outcome, identify the step of the mechanism
> Compound 1 and compound 2 both contain tritium (T), which is an isotope of hydrogen (tritium = 3 H). Both compounds are stable upon treatment with aqueous base. However, upon prolonged treatment with aqueous acid, compounds 1 and 2 both lose tritium, to
> The rate constants for the bromination of several disubstituted stilbenes are given in the table below. Given that the double bond of stilbene acts as the nucleophile, provide a reasonable explanation for the trend observed among the rate constants.
> Aromatic heterocycles are also capable of undergoing electrophilic aromatic substitution. For example, when furan is treated with an electrophile, an electrophilic aromatic substitution reaction occurs in which the electrophile is installed exclusively a
> When N,N-dimethylaniline is treated with bromine, ortho and para products are observed. Yet, when N,N-dimethylaniline is treated with a mixture of nitric acid and sulfuric acid, only the meta product is observed. Explain these curious results. Br Brg
> Propose a plausible mechanism for the following transformation: но. но. H,SO,
> Predict the product of the Dieckmann cyclization that occurs when each of the following compounds is treated with sodium ethoxide, followed by acid work-up: EtO OEt OE! OEt (a) (b) EtO (c) OEt
> Bakelite is one of the first known synthetic polymers and was used to make radio and telephone casings as well as automobile parts in the early twentieth century. Bakelite is formed by treating phenol with formaldehyde under acidic conditions. Draw a pla
> Predict the major product of the following reaction: ? AICI,
> Each of the following compounds is an aromatic compound bearing a substituent that we did not discuss in this chapter. Using the principles that we discussed in this chapter, predict the major product for each of the following reactions: ? HNO, H,SO,
> When toluene is treated with a mixture of excess sulfuric acid and nitric acid at high temperature, a compound is obtained that exhibits only two signals in its 1H NMR spectrum. One signal appears upfield and has an integration of 3. The other signal ap
> The 1 H NMR spectrum of phenol exhibits three signals in the aromatic region of the spectrum. These signals appear at 6.7, 6.8, and 7.2 ppm. Use your understanding of shielding and deshielding effects (Chapter 15) to determine which signal corresponds wi
> Benzene was treated with (R)-2-chlorobutane in the presence of aluminum trichloride, and the resulting product mixture was found to be optically inactive. a. What products are expected, assuming that conditions are chosen to favor monoalkylation? b. Ex
> Starting with benzene and using any other reagents of your choice, design a synthesis for each of the following compounds. Each compound has a Br and one other substituent that we did not learn how to install. In each case, you will need to choose one of
> Compound A has the molecular formula C8H8O. An IR spectrum of compound A exhibits a signal at 1680 cm−1. The 1 H NMR spectrum of compound A exhibits a group of signals between 7.5 and 8 ppm (with a combined integration of 5) and one upf
> Cyclobutadiene is not stable at room temperature. Upon formation, it rapidly dimerizes via a Diels–Alder reaction. However, several derivatives of cyclobutadiene are known to be stable at room temperature: a. One such derivative is tri
> Consider the structures for naphthalene and phenanthrene. a. Draw all three resonance structures of naphthalene and then explain why the C2−C3 bond has a longer bond length (1.42 Å) than the C1−C2 bond (1
> Identify the reagents that you would use to produce each of the following compounds using a Claisen condensation: OEt OEt (a) (b) COOME ÇOOME (c) (d) (e)
> Studies modeling chemical reactions in the atmosphere of Saturn’s moon Titan suggest that the compound 1,2,5,6-tetracyanocyclooctatetraene can form through one of a series of gas-phase reactions mediated by monocationic magnesium (Mg+•). This organic com
> Compound 1 contains a tetrazole ring (a five-membered ring containing four nitrogen atoms), while its constitutional isomer, compound 2, exhibits an azido group (−N3). There is evidence that compounds 1 and 2 rapidly interconvert, and e
> Using toluene and acetylene as your only sources of carbon atoms, show how you would prepare the following compound:
> Propose an efficient synthesis for the following transformation: CH, CH3 CH,
> Each of the following compounds contains two heteroatoms (one nitrogen atom and one oxygen atom): In compound A, the lone pair on the nitrogen atom is more likely to function as a base. However, in compound B, a lone pair on the oxygen atom is more like
> Compounds A, B, C, and D are constitutionally isomeric, aromatic compounds with the molecular formula C8H10. Deduce the structure of compound D using the following clues: • The 1 H NMR spectrum of compound A exhibits two upfield signals as well as a mul
> Would you expect the following compound to be aromatic? Explain your answer.
> Below are two hypothetical compounds. a. Which compound would you expect to hold greater promise as a potential antihistamine? Explain your choice. b. Do you expect the compound you chose [in part (a)] to exhibit sedative properties? Explain your reaso
> A compound with the molecular formula C9H10O exhibits the following spectra (1H NMR, 13C NMR, and IR). Identify the structure of this compound. Proton NMR 10 6 4 Chemical Shift (ppm) Carbon NMR 128.5 128.6- 25.1- 126.4 45.2 2015 140.7 200 180 160 140
> Predict the major product obtained when each of the following compounds undergoes a Claisen condensation: OEt OMe (a) (b) OEt (c)
> A compound with the molecular formula C11H14O2 exhibits the following spectra (1H NMR, 13C NMR, and IR). Identify the structure of this compound. Proton NMR 2 2 11 10 7 6 5 3 Chemical Shift (ppm) Carbon NMR -30.9 126.5 130.4- -125.2 157.4 34.7 172.6
> Propose an efficient synthesis for each of the following transformations: (a) OH OH (b) (c)
> Identify the structure of a compound with the molecular formula C9H10O2 that exhibits the following spectral data: a. IR: 3005 cm−1, 1676 cm−1, 1603 cm−1. b. 1 H NMR: 2.6 ppm (singlet, I = 3H), 3.9 ppm (singlet, I = 3H), 6.9 ppm (doublet, I = 2H), 7.9
> Propose a plausible mechanism for the following transformation: OH HCI CI
> Propose an efficient synthesis for the following transformation: Br
> Azulene exhibits an appreciable dipole moment, and an electrostatic potential map indicates that the five-membered ring is electron rich (at the expense of the seven-membered ring). a. In general, a resonance structure will be insignificant if it has ca
> Compare the following electrostatic potential maps for cycloheptatrienone and cyclopentadienone. Both of these maps were created using the same color scale so they can be compared. Notice the difference between the oxygen atoms in these two compounds. T
> Explain how the following two compounds can have the same conjugate base. Is this conjugate base aromatic?
> Consider the following two compounds: How would you distinguish between them using: a. IR spectroscopy? b. 1 H NMR spectroscopy? c. 13C NMR spectroscopy?
> One of the constitutional isomers of xylene was treated with sodium, methanol, and ammonia to yield a product that exhibited five signals in its 13C NMR spectrum. Identify which constitutional isomer of xylene was used as the starting material.
> Identify the base you would use for each of the following transformations: ? 1) OEt 2) H,0 OEt (a) .? 1) 2) H,0 (b)
> Predict the product of the following reaction and propose a mechanism for its formation: Na. CH,OH NH, ?
> How many signals do you expect in the 13C NMR spectrum of each of the following compounds? (b) Br (c) (d) (a)
> Predict the major product for each of the following reactions. NBS Heat or light ? (a) Na, Cr,0, H,SO, H20 (b) HO ? H2SO4 Heat (c) Br ? NaOEt (d)
> The following two drawings are resonance structures of one compound: But the following two drawings are not resonance structures: These two drawings represent two different compounds. Explain. Not resonance structures
> Would you expect the following compound to be aromatic? Justify your answer. OR Z=Z
> Explain the vast difference in pKa values for the following two apparently similar compounds: pk, - 16 pk. - 36
> Draw a Frost circle for the following cation and explain the source of instability of this cation:
> Identify which of the following compounds is expected to be a stronger base. Justify your choice. N- N-
> Which of the following compounds would you expect to be most acidic? Justify your choice.
> Consider the structures of the following alkyl chlorides: a. Which compound would you expect to undergo an SN1 process most readily? Justify your choice. b. Which compound would you expect to undergo an SN1 process least readily? Justify your choice.
> When 2,6-heptanedione is heated in the presence of aqueous sodium hydroxide, a condensation product with a sixmembered ring is obtained. Draw the product and show a mechanism for its formation.
> Identify each of the following as aromatic, nonaromatic, or antiaromatic. Explain your choice in each case. :N-H (a) (b) (d) H H O-H (e) (f) (h)
> Firefly luciferin is the compound that enables fireflies to glow. a. The structure exhibits three rings. Identify which of the rings are aromatic. b. Identify which lone pairs are involved in establishing aromaticity. N- N Firefly luciferin
> Identify which of the following are aromatic: (a) (b) (c) (d) (e)
> Consider the differences between cyclohexane and benzene: These compounds have different properties, different geometry, and different reactivity. Each of these compounds also has a unique set of terminology. For each of the following terms, identify wh
> Identify the number of π electrons in each of the following compounds: (a) (d) (e)
> The systematic name of TNT, a well-known explosive, is 2,4,6-trinitrotoluene (as seen in SkillBuilder 17.1). There are only five constitutional isomers of TNT that contain an aromatic ring, a methyl group, and three nitro groups. Draw all five of these c
> Draw all aromatic compounds that have the molecular formula C8H9Cl.
> Draw structures for all constitutional isomers with the molecular formula C8H10 that contain an aromatic ring.
> Draw structures for the eight constitutional isomers with the molecular formula C9H12 that contain a benzene ring.
> Draw a structure for each of the following compounds: a. ortho-Dichlorobenzene b. Anisole c. meta-Nitrotoluene d. Aniline e. 2,4,6-Tribromophenol f. para-Xylene
> The reaction in the previous problem is an equilibrium process. Draw a mechanism of the reverse process. That is, draw a mechanism showing conversion of the conjugated, cyclic enone into the acyclic dione in the presence of sodium hydroxide.
> Provide a systematic name for each of the following compounds: OH Br он (a) (b) (c) HO. O,N. H. (d) Br (e)
> A compound with the molecular formula C8H10 produces an IR spectrum with many signals, including 3108, 3066, 3050, 3018, and 1608 cm−1. The 1 H NMR spectrum of this compound exhibits a singlet at 2.2 ppm (I=6H) and a multiplet at 7.1 ppm (I=4H). The 13C
> A compound with the molecular formula C8H8O produces an IR spectrum with signals at 3063, 1686, and 1646 cm−1. The 1H NMR spectrum of this compound exhibits a singlet at 2.6 ppm (I=3H) and a multiplet at 7.5 (I=5H). a. Draw the structure of this compoun
> Rippertenol is a compound made by termites and used by the insects to defend themselves from predators. Due to its complexity, the first synthesis of rippertenol was not reported until more than 30 years following its original isolation and characterizat
> Predict the major product obtained when each of the following compounds is treated with Birch conditions: (a) (b) (c) HO. HO (d) (e) (f)
> Hamigeran B and several related natural products were isolated from a sponge found off the coast of New Zealand. Hamigeran B has demonstrated strong activity against the viruses that cause polio and herpes. During efforts to synthesize this natural produ
> Propose an efficient synthesis for each of the following transformations: (a) он (Ь) (c) (d) OH (e) (f)
> Draw the expected product when each of the following compounds is oxidized with chromic acid: (a) (b) (c)
> Meclizine, shown below, is an antiemetic (prevents nausea and vomiting). a. Would you expect meclizine to be an antihistamine as well? Justify your answer. b. This drug is known to cause sedation. Describe the source of the sedative properties of mecli
> Identify which compound is expected to have a lower pKa. Justify your choice. N-H