Provide a systematic name for each of the following compounds:

OH Br он (a) (b) (c) HO. O,N. H. (d) Br (e)
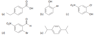
> Starting with benzene and using any other reagents of your choice, design a synthesis for each of the following compounds. Each compound has a Br and one other substituent that we did not learn how to install. In each case, you will need to choose one of
> Compound A has the molecular formula C8H8O. An IR spectrum of compound A exhibits a signal at 1680 cm−1. The 1 H NMR spectrum of compound A exhibits a group of signals between 7.5 and 8 ppm (with a combined integration of 5) and one upf
> Cyclobutadiene is not stable at room temperature. Upon formation, it rapidly dimerizes via a Diels–Alder reaction. However, several derivatives of cyclobutadiene are known to be stable at room temperature: a. One such derivative is tri
> Consider the structures for naphthalene and phenanthrene. a. Draw all three resonance structures of naphthalene and then explain why the C2−C3 bond has a longer bond length (1.42 Å) than the C1−C2 bond (1
> Identify the reagents that you would use to produce each of the following compounds using a Claisen condensation: OEt OEt (a) (b) COOME ÇOOME (c) (d) (e)
> Studies modeling chemical reactions in the atmosphere of Saturn’s moon Titan suggest that the compound 1,2,5,6-tetracyanocyclooctatetraene can form through one of a series of gas-phase reactions mediated by monocationic magnesium (Mg+•). This organic com
> Compound 1 contains a tetrazole ring (a five-membered ring containing four nitrogen atoms), while its constitutional isomer, compound 2, exhibits an azido group (−N3). There is evidence that compounds 1 and 2 rapidly interconvert, and e
> Due to their potential application in organic electronic devices, such as television screens, a large number of compounds containing quinoidal pi systems (such as compound A) have been prepared. Reduction of A gives B, as shown: a. Determine whether the
> Using toluene and acetylene as your only sources of carbon atoms, show how you would prepare the following compound:
> Propose an efficient synthesis for the following transformation: CH, CH3 CH,
> Each of the following compounds contains two heteroatoms (one nitrogen atom and one oxygen atom): In compound A, the lone pair on the nitrogen atom is more likely to function as a base. However, in compound B, a lone pair on the oxygen atom is more like
> Compounds A, B, C, and D are constitutionally isomeric, aromatic compounds with the molecular formula C8H10. Deduce the structure of compound D using the following clues: • The 1 H NMR spectrum of compound A exhibits two upfield signals as well as a mul
> Would you expect the following compound to be aromatic? Explain your answer.
> Below are two hypothetical compounds. a. Which compound would you expect to hold greater promise as a potential antihistamine? Explain your choice. b. Do you expect the compound you chose [in part (a)] to exhibit sedative properties? Explain your reaso
> A compound with the molecular formula C9H10O exhibits the following spectra (1H NMR, 13C NMR, and IR). Identify the structure of this compound. Proton NMR 10 6 4 Chemical Shift (ppm) Carbon NMR 128.5 128.6- 25.1- 126.4 45.2 2015 140.7 200 180 160 140
> Predict the major product obtained when each of the following compounds undergoes a Claisen condensation: OEt OMe (a) (b) OEt (c)
> A compound with the molecular formula C11H14O2 exhibits the following spectra (1H NMR, 13C NMR, and IR). Identify the structure of this compound. Proton NMR 2 2 11 10 7 6 5 3 Chemical Shift (ppm) Carbon NMR -30.9 126.5 130.4- -125.2 157.4 34.7 172.6
> Propose an efficient synthesis for each of the following transformations: (a) OH OH (b) (c)
> Identify the structure of a compound with the molecular formula C9H10O2 that exhibits the following spectral data: a. IR: 3005 cm−1, 1676 cm−1, 1603 cm−1. b. 1 H NMR: 2.6 ppm (singlet, I = 3H), 3.9 ppm (singlet, I = 3H), 6.9 ppm (doublet, I = 2H), 7.9
> Propose a plausible mechanism for the following transformation: OH HCI CI
> Propose an efficient synthesis for the following transformation: Br
> Azulene exhibits an appreciable dipole moment, and an electrostatic potential map indicates that the five-membered ring is electron rich (at the expense of the seven-membered ring). a. In general, a resonance structure will be insignificant if it has ca
> Compare the following electrostatic potential maps for cycloheptatrienone and cyclopentadienone. Both of these maps were created using the same color scale so they can be compared. Notice the difference between the oxygen atoms in these two compounds. T
> Explain how the following two compounds can have the same conjugate base. Is this conjugate base aromatic?
> Consider the following two compounds: How would you distinguish between them using: a. IR spectroscopy? b. 1 H NMR spectroscopy? c. 13C NMR spectroscopy?
> One of the constitutional isomers of xylene was treated with sodium, methanol, and ammonia to yield a product that exhibited five signals in its 13C NMR spectrum. Identify which constitutional isomer of xylene was used as the starting material.
> Identify the base you would use for each of the following transformations: ? 1) OEt 2) H,0 OEt (a) .? 1) 2) H,0 (b)
> Predict the product of the following reaction and propose a mechanism for its formation: Na. CH,OH NH, ?
> How many signals do you expect in the 13C NMR spectrum of each of the following compounds? (b) Br (c) (d) (a)
> Predict the major product for each of the following reactions. NBS Heat or light ? (a) Na, Cr,0, H,SO, H20 (b) HO ? H2SO4 Heat (c) Br ? NaOEt (d)
> The following two drawings are resonance structures of one compound: But the following two drawings are not resonance structures: These two drawings represent two different compounds. Explain. Not resonance structures
> Would you expect the following compound to be aromatic? Justify your answer. OR Z=Z
> Explain the vast difference in pKa values for the following two apparently similar compounds: pk, - 16 pk. - 36
> Draw a Frost circle for the following cation and explain the source of instability of this cation:
> Identify which of the following compounds is expected to be a stronger base. Justify your choice. N- N-
> Which of the following compounds would you expect to be most acidic? Justify your choice.
> Consider the structures of the following alkyl chlorides: a. Which compound would you expect to undergo an SN1 process most readily? Justify your choice. b. Which compound would you expect to undergo an SN1 process least readily? Justify your choice.
> When 2,6-heptanedione is heated in the presence of aqueous sodium hydroxide, a condensation product with a sixmembered ring is obtained. Draw the product and show a mechanism for its formation.
> Identify each of the following as aromatic, nonaromatic, or antiaromatic. Explain your choice in each case. :N-H (a) (b) (d) H H O-H (e) (f) (h)
> Firefly luciferin is the compound that enables fireflies to glow. a. The structure exhibits three rings. Identify which of the rings are aromatic. b. Identify which lone pairs are involved in establishing aromaticity. N- N Firefly luciferin
> Identify which of the following are aromatic: (a) (b) (c) (d) (e)
> Consider the differences between cyclohexane and benzene: These compounds have different properties, different geometry, and different reactivity. Each of these compounds also has a unique set of terminology. For each of the following terms, identify wh
> Identify the number of π electrons in each of the following compounds: (a) (d) (e)
> The systematic name of TNT, a well-known explosive, is 2,4,6-trinitrotoluene (as seen in SkillBuilder 17.1). There are only five constitutional isomers of TNT that contain an aromatic ring, a methyl group, and three nitro groups. Draw all five of these c
> Draw all aromatic compounds that have the molecular formula C8H9Cl.
> Draw structures for all constitutional isomers with the molecular formula C8H10 that contain an aromatic ring.
> Draw structures for the eight constitutional isomers with the molecular formula C9H12 that contain a benzene ring.
> Draw a structure for each of the following compounds: a. ortho-Dichlorobenzene b. Anisole c. meta-Nitrotoluene d. Aniline e. 2,4,6-Tribromophenol f. para-Xylene
> The reaction in the previous problem is an equilibrium process. Draw a mechanism of the reverse process. That is, draw a mechanism showing conversion of the conjugated, cyclic enone into the acyclic dione in the presence of sodium hydroxide.
> A compound with the molecular formula C8H10 produces an IR spectrum with many signals, including 3108, 3066, 3050, 3018, and 1608 cm−1. The 1 H NMR spectrum of this compound exhibits a singlet at 2.2 ppm (I=6H) and a multiplet at 7.1 ppm (I=4H). The 13C
> A compound with the molecular formula C8H8O produces an IR spectrum with signals at 3063, 1686, and 1646 cm−1. The 1H NMR spectrum of this compound exhibits a singlet at 2.6 ppm (I=3H) and a multiplet at 7.5 (I=5H). a. Draw the structure of this compoun
> Rippertenol is a compound made by termites and used by the insects to defend themselves from predators. Due to its complexity, the first synthesis of rippertenol was not reported until more than 30 years following its original isolation and characterizat
> Predict the major product obtained when each of the following compounds is treated with Birch conditions: (a) (b) (c) HO. HO (d) (e) (f)
> Hamigeran B and several related natural products were isolated from a sponge found off the coast of New Zealand. Hamigeran B has demonstrated strong activity against the viruses that cause polio and herpes. During efforts to synthesize this natural produ
> Propose an efficient synthesis for each of the following transformations: (a) он (Ь) (c) (d) OH (e) (f)
> Draw the expected product when each of the following compounds is oxidized with chromic acid: (a) (b) (c)
> Meclizine, shown below, is an antiemetic (prevents nausea and vomiting). a. Would you expect meclizine to be an antihistamine as well? Justify your answer. b. This drug is known to cause sedation. Describe the source of the sedative properties of mecli
> Identify which compound is expected to have a lower pKa. Justify your choice. N-H
> Draw a mechanism for the following transformation: NaOH, heat
> Draw the two possible enols that can be formed from 3-methyl-2-butanone and show a mechanism of formation of each under base-catalyzed conditions.
> Go to the beginning of Section 17.1 where the structures of several best-selling drugs were shown. Review the structures of those compounds and identify all of the aromatic rings that are not already highlighted in red.
> For each of the following compounds determine which (if any) lone pairs are participating in aromaticity: :N-H (a) (b) (c) (d) (e) (f) (h)
> In a pioneering study on the limits of aromaticity, the following resonance-stabilized dianion was prepared and examined. Predict whether this dianion is aromatic, nonaromatic, or antiaromatic. A etc.
> Determine whether each of the following ions is aromatic, nonaromatic, or antiaromatic: (a) 스 (b) (c) (d)
> Predict whether the following compound will be aromatic, nonaromatic, or antiaromatic. Explain your reasoning.
> The cyclopropenyl cation has a three-membered ring that contains a continuous system of overlapping p orbitals. This system contains a total of two π electrons. Using a Frost circle, draw an energy diagram showing the relative energy levels of
> Predict whether each of the following compounds should be aromatic: (a) (b) (c)
> In some circumstances, dehydrogenation is observed. Dehydrogenation involves the loss of two hydrogen atoms (the reverse of hydrogenation). Analyze each of the following dehydrogenation reactions and then use the information in Figure 17.1 to predict whe
> Compound A is an aromatic compound with the molecular formula C8H8. When treated with excess Br2, compound A is converted into compound B, with the molecular formula C8H8Br2. Identify the structures of compounds A and B. Compound B Compound A (C3H3)
> Aromatic compounds are commonly found in plant oils. For example, an extract of rosemary, which shows anti-oxidant activity, was found to contain the compounds eugenol, thymol, and carvacrol.1 These names are common names; however, each of these compound
> In an effort to make lasers more affordable and easier to make, chemists are developing organic solid-state lasers (OSSLs) using small organic molecules that are capable of lasing (releasing laser light). One such molecule, DPHP, was prepared using an al
> Provide at least five different acceptable IUPAC names for the following compound.
> For each of the following compounds, draw its structure: a. 2,6-Dibromo-4-chloroanisole b. meta-Nitrophenol
> Aromatic compounds often have multiple names that are all accepted by IUPAC. Provide three different systematic (IUPAC) names for the following compound. Br. CH3 HO,
> Provide a systematic name for each of the following compounds: OH Br. Br CH, O2N NO2 Br H. (a) (Ь) (c) он (d) (e)
> Rank the following dienes in terms of reactivity in Diels– Alder reactions (from least reactive to most reactive):
> Consider the following two isomers of 2,4-hexadiene. One isomer reacts rapidly as a diene in a Diels–Alder reaction, and the other does not. Identify which isomer is more reactive and explain your choice. F-/ (2E,4E)-Hexadiene (22,4
> A hetero Diels–Alder reaction is a variation of the Diels–Alder reaction in which one or more of the carbon atoms of the diene and/or the dienophile are replaced by other atoms such as oxygen or nitrogen. With this in
> Predict the products for each of the following reactions: OMe .COOH OMe (a) (Ь) COOH (c) NC-E-CN (d) (e) (f) HO. (h) (i)
> What monomer should be used to make each of the following polymers? F (a) (b) ZEO
> β-Damascenone belongs to a family of fragrant natural products called rose ketones that have been used in the perfume industry. In one synthesis of β-damascenone, the reaction of compound 1 with one equivalent of MCPBA afforded tw
> Identify reagents that can be used to produce each of the following compounds via an aldol reaction. он OH (а) (b) (с) (d) (е) HO.
> Consider the following two dienes. When treated with HBr, one of these dienes yields four products, while the other diene yields only two products. Explain.
> Predict the products for each of the following reactions and propose a mechanism that explains the formation of each product: ? HBr ? HCI HCI (a) (b)
> Draw an energy diagram showing the relative energy levels of the MOs for 1,3,5,7-octatetraene and identify the HOMO and LUMO for both the ground state and the excited state.
> Compare the following three isomeric dienes: a. Which compound will liberate the least heat upon hydrogenation with 2 mol of hydrogen gas? Why? b. Which compound will liberate the most heat upon hydrogenation with 2 mol of hydrogen gas? Why?
> Rank the three C−C bonds of 1-butene in terms of bond length (from shortest to longest).
> As shown, compound 1 can be transformed to compound 2, which undergoes a thio-Claisen rearrangement (similar to a Claisen rearrangement, but with sulfur instead of oxygen) to give compound 3. a. Identify the structure of compound 2, which co
> Roquefortine C belongs to a family of natural products first isolated from cultures of the fungus Penicillium roqueforti in the mid-1970s. Since then, roquefortine C has also been found in other natural sources, including blue cheese. Curiously, isoroque
> Endiandric acids are a class of natural products isolated from the Australian plant Endiandra introrsa. Natural products containing chiral centers are generally found in nature as a single enantiomeric form (optically active), but the endiandric acids ar
> When tricyclic cyclooctyne derivative A reacts with benzyl azide (C6H5CH2N3), a [3+2] cycloaddition occurs between the alkyne and the azide (called a click reaction) to install a new five-membered heterocycle: a. Propose a plausible mechanism for the fo
> During a recent investigation into the chemistry of oligofurans (polymers of the furan heterocycle, which show potential to be used in materials), the investigators observed an interesting reaction with dienophiles. When trifuran (below) is treated with
> Perhydroazulene derivatives have shown usefulness in electronic display applications. In a study to find an efficient route for the synthesis of the perhydroazulene skeleton, compound 1 was heated in an aqueous basic solution. The resulting intramolecula
> Identify reagents necessary to convert cyclohexane into 1,3-cyclohexadiene. Notice that the starting material has no leaving groups and cannot simply be treated with a strong base. You must first introduce functionality into the starting material (for he
> For each of the following compounds, identify whether each C=C Ï€ system is cumulated, conjugated, or isolated: но -OH он О cis-Aconitic acid Plays a role in the citric acid cycle Ocimene Present in the essential ols (a) (b) of many plants
> Numerous herbicides and fungicides are known to contain an acetylenic group. For example, compound A is a pyrimidinone herbicide that functions by inhibiting the accumulation of both chlorophyll and β-carotene. During a synthesis of A, shown
> Fluorenyldiene 1 is a highly conjugated, planar molecule that is readily oxidized to dication 2. Draw at least four other resonance structures of dication 2 and identify why the resonance structure shown here is the greatest contributor to the overall r
> In a mass spectrometric study of nitrogenous aromatic compounds, a peak at m/z = 39 was found for 17 of the 20 compounds investigated, including the 4 compounds in the first row below, with a relative intensity ranging from 5 to 84% of the base peak. Thi
> The following compound, isolated from a New Zealand sea squirt, demonstrates activity against a malarial strain that is resistant to other treatments. Consider the relative basicity of each nitrogen atom in this structure and draw the product expected wh
> When the following cyclopentadiene-fused [14]annulene is treated with KH, a green solution of a stable cyclopentadiene anion results. This transformation causes a dramatic change in part of the 1HÂ NMR spectrum: the methyl groups shift from &a