Propose an efficient synthesis for each of the following transformations:

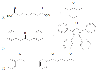
EtO (a) OEt (b) (c)
> Draw all of the steps and reagents necessary to prepare a pentapeptide with the sequence Leu-Val-Phe- le-Ala.
> Draw all of the steps and reagents necessary to prepare a tripeptide with the sequence le-Phe-Gly
> Draw all of the steps and reagents necessary to prepare each of the following dipeptides from their corresponding amino acids: a. Trp-Met b. Ala- le c. Leu-Val
> Consider the structure of the following cyclic octapeptide. Would cleavage of this peptide with trypsin produce different fragments than cleavage with chymotrypsin? Explain. Phe Arg Arg Phe Phe Arg Arg phe
> The tetrapeptide Val-Lys-Ala-Phe is cleaved into two fragments upon treatment with trypsin. Identify the sequence of a tetrapeptide that will produce the same two fragments when treated with chymotrypsin.
> The enolate of an ester can be treated with a ketone to give a β-hydroxy ester. Draw a mechanism for this aldol-like reaction. OH 1) LDA EIO EIO 2) 3) H,0*
> A peptide with 22 amino acid residues is treated with trypsin to give four fragments, while treatment with chymotrypsin yields six fragments. Identify the sequence of the 22 amino acid residues in the starting peptide. TRYPSIN FRAGMENTS CHYMOTRYPSIN
> Draw the structure of the initial PTH derivative formed when the tripeptide AlaPheVal undergoes an Edman degradation.
> Bacitracin A is produced by bacteria and therefore contains some residues that are not from the list of 20 naturally occurring amino acids. a. Identify which amino acid residues are found in Table 25.1 and name them. b. Identify which of these amino ac
> Aspartame is an artificial sweetener sold under the trade name NutraSweet. Aspartame is the methyl ester of a dipeptide formed from Laspartic acid and L-phenylalanine and can be summarized as Asp-Phe-OCH3. Surprisingly, the analogous ethyl ester (Asp-Ph
> Using a bond-line structure, show the tetrapeptide obtained when two molecules of Cys-Phe are joined by a disulfide bridge.
> Draw the s-cis conformation of the dipeptide Phe-Phe and identify the source of the large steric interaction associated with that conformation.
> Draw the s-trans conformation of the dipeptide Phe-Leu and identify both the N terminus and the C terminus.
> Compare the following tripeptides and determine whether they are constitutional isomers or the same compound: Ala-Gly-Leu and Leu-Gly-Ala
> Determine which of the following peptides will have a higher molecular weight. (Hint: It is not necessary to actually calculate the molecular weight of each peptide, but rather, just compare the side chains.) Cys-Tyr-Leu or Cys-Phe- le
> Using three- and one-letter abbreviations, show the sequence of amino acid residues in the following pentapeptide: OH OH H2N HS. IZ ZI IZ
> Beta-keto esters can be prepared by treating the enolate of a ketone with diethyl carbonate. Draw a plausible mechanism for this reaction. 1) LDA OEt 2) E1O OEt 3) H30
> Draw the structure of each of the following peptides: a. Leu-Ala-Gly b. Cys-Asp-Ala-Gly c. Met-Lys-His-Tyr-Ser-Phe-Val
> Explain why it is inappropriate to use a chiral catalyst in the preparation of glycine.
> Identify the starting alkene necessary to make each of the following amino acids using an asymmetric catalytic hydrogenation: a. L-Alanine b. L-Valine c. L-Leucine d. L-Tyrosine
> Each of the following aldehydes was converted into an α-amino nitrile followed by hydrolysis to yield an amino acid. In each case, draw and name the amino acid that was produced. a. Acetaldehyde b. 3-Methylbutanal c. 2-Methylpropanal
> Identify the reagents necessary to make each of the following amino acids using a Strecker synthesis: a. Methionine b. Histidine c. Phenylalanine d. Leucine
> Both leucine and isoleucine can be prepared via the amidomalonate synthesis, although one of these amino acids can be produced in higher yields. Identify the higher yield process and explain your choice.
> An amidomalonate synthesis was performed using each of the following alkyl halides. In each case, draw and name the amino acid that was produced. a. Methyl chloride b. Isopropyl chloride c. 2-Methyl-1-chloropropane
> Identify the reagents necessary to make each of the following amino acids via the amidomalonate synthesis: a. Isoleucine b. Alanine c. Valine
> Each of the following carboxylic acids was treated with bromine and PBr3 followed by water, and the resulting α-haloacid was then treated with excess ammonia. In each case, draw and name the amino acid that is produced. (a) -COOH (b) HO
> Identify the reagents necessary to make each of the following amino acids using a Hell–Volhard–Zelinsky reaction: a. Leucine b. Alanine c. Valine
> The enolate of a ketone can be treated with an ester to give a diketone. Draw a mechanism for this Claisen-like reaction and explain why an acid source is required after the reaction is complete. 1) LDA OE! 3) H,0*
> Draw the aldehyde that is obtained as a by-product when L-leucine is treated with ninhydrin.
> A mixture containing phenylalanine, tryptophan, and leucine was subjected to electrophoresis. Determine which of the amino acids moved the farthest distance assuming that the experiment was performed at the pH indicated: a. pH 6.0 b. pH 5.0
> Identify which two of the 20 naturally occurring amino acids are expected to have the same pI.
> For each group of amino acids, identify the amino acid with the lowest pI (try to solve this problem by inspecting their structures, rather than performing calculations). a. Alanine, aspartic acid, or lysine b. Methionine, glutamic acid, or histidine
> Using the data in Table 25.2, calculate the p of the following amino acids: a. Aspartic acid b. Leucine c. Lysine d. Proline From Table 25.2: TABLE 25.2 THE PK, VALUES FOR TWENTY NATURALLY OCCURRING AMINO ACIDS AMINO ACID a-COOH a-NH, SIDE CHAIN
> The OH group on the side chain of serine is not deprotonated at a pH of 12. However, the OH group on the side chain of tyrosine is deprotonated at a pH of 12. This can be verified by inspecting the pKa values in Table 25.2. Suggest an explanation for the
> At a pH of 11, arginine is a more effective proton donor than asparagine. Explain.
> Draw the form of the amino acid that is expected to predominate at the stated pH. a. Alanine at a pH of 10 b. Proline at a pH of 10 c. Tyrosine at a pH of 9 d. Asparagine at physiological pH e. Histidine at physiological pH f. Glutamic acid at a pH
> Of the 20 naturally occurring amino acids shown in Table 25.1, identify any amino acids that exhibit the following: a. A cyclic structure b. An aromatic side chain c. A side chain with a basic group d. A sulfur atom e. A side chain with an acidic gr
> Draw a bond-line structure for each of the following amino acids: a. L-Leucine b. L-Tryptophan c. L-Methionine d. L-Valine
> Identify the reagents you would use to convert cyclohexanone into each of the following compounds: (a) (b) (c) (d) (e) .co,.Et (f) (g)
> Although most naturally occurring proteins are made up only of L amino acids, proteins isolated from bacteria will sometimes contain d amino acids. Draw Fischer projections for D-alanine and D-valine. In each case, assign the configuration (R or S) of th
> Explain why glucose is the most common monosaccharide observed in nature.
> Draw the product that is expected when the β-pyranose form of compound A is treated with excess ethyl iodide in the presence of silver oxide. The following information can be used to determine the identity of compound A: 1. The molecular formula of comp
> When each of the D-aldohexoses assumes an α-pyranose form, the CH2OH group occupies an equatorial position in the more stable chair conformation. The one exception is D-idose, for which the CH2OH group occupies an axial position in the more stable chair
> When D-glucose is treated with an aqueous bromine solution (buffered to a pH of 6), an aldonic acid is formed called D-gluconic acid. Treatment of D-gluconic acid with an acid catalyst produces a lactone (cyclic ester) with a six-membered ring. a. Draw
> Compound A is a D-aldopentose that is converted into an optically active alditol upon treatment with sodium borohydride. Draw two possible structures for compound A.
> Draw the nucleoside formed from each of the following pairs of compounds and name the nucleoside: a. 2-Deoxy-d-ribose and adenine b. d-Ribose and guanine
> Draw the α-N-glycoside and the β-N-glycoside formed when d-glucose is treated with aniline (C6H5NH2).
> Draw a mechanism for the following transformation: OH -OH но но OH HCI OH OH но HO- OH
> Salicin is a natural analgesic present in the bark of willow trees, and it has been used for thousands of years to treat pain and reduce fevers. a. Is salicin a reducing sugar? b. Identify the products obtained when salicin is hydrolyzed in the presenc
> Identify reagents that can be used to accomplish each of the following transformations: /a
> Isomaltose is similar in structure to maltose, except that it is a 1→6 α-glycoside, rather than a 1→4 α-glycoside. Draw the structure of isomaltose.
> Xylitol is found in many kinds of berries. It is approximately as sweet as sucrose but with fewer calories. It is often used in sugarless chewing gum. Xylitol is obtained upon reduction of D-xylose. Draw a structure of xylitol.
> Trehalose is a naturally occurring disaccharide found in bacteria, insects, and many plants. It protects cells from dry conditions because of its ability to retain water, thereby preventing cellular damage from dehydration. This property of trehalose has
> Consider the structures of the four D-aldopentoses (Figure 24.3). a. Which D-aldopentose produces the same aldaric acid as D-lyxose? b. Which D-aldopentoses yield optically inactive alditols when treated with sodium borohydride? c. Which D-aldopentose
> Identify the product(s) that would be formed when each of the following compounds is treated with aqueous acid: a. Methyl α-D-glucopyranoside b. Ethyl β-D-galactopyranoside
> Identify the reagents that you would use to convert β-D glucopyranose into each of the following compounds: HOÇH, CH,OH OCH, OH но (b) но HO (a) но- -OCH, OH OH ÇO,H H- -OH но -- H- OH OH (c) ČO̟H (d)
> (a) This compound will not be a reducing sugar because the anomeric position is an acetal group. (b) This compound will be a reducing sugar because the anomeric position bears an OH group. Determine whether each of the following compounds is a reducing
> Which of the D-aldohexoses are converted into optically inactive alditols upon treatment with sodium borohydride?
> When treated with sodium borohydride, D-glucose is converted into an alditol. a. Draw the structure of the alditol. b. Which L-aldohexose gives the same alditol when treated with sodium borohydride?
> Identify the two products obtained when D-glyceraldehyde is treated with HCN and determine the relationship between these two products.
> Predict the major product for each of the following transformations: EtO,C .CO,Et H,0" Heat EtO,C CO,Et (a) CH,CO,Et 1) NaOEt CH20 Нeat 2) H,0* (b) CH,CO,Et H,O"), Be Pyridine 1) ElzCuli C,H,Bro CH,O 2) Mel CH10 (c) 1)LDA, -78°C 2) Etl C,H,0 (d)
> Identify the two aldohexoses that are obtained when D-arabinose undergoes a Kiliani–Fischer synthesis.
> Identify the two aldohexoses that will undergo a Wohl degradation to yield D-ribose. Draw a Fischer projection of the open-chain form for each of these two aldohexoses.
> Draw all possible 2-ketohexoses that are D sugars.
> For each of the following pairs of compounds, determine whether they are enantiomers, epimers, diastereomers that are not epimers, or identical compounds: a. d-Glucose and D-gulose b. 2-Deoxy-D-ribose and 2-deoxy-D-arabinose
> Draw the products that are expected when α-D-galactopyranose is treated with excess methyl iodide in the presence of silver oxide, followed by aqueous acid.
> Draw the more stable chair conformation of α-D-altropyranose and label all substituents as axial or equatorial.
> In addition to D-galactose, one other D-aldohexose also forms an optically inactive aldaric acid when treated with nitric acid. Draw the structure of this aldohexose.
> When D-galactose is heated in the presence of nitric acid, an optically inactive compound is obtained. Draw the structure of the product and explain why it is optically inactive.
> Draw the products that are expected when β-D-allopyranose is treated with each of the following reagents: a. Excess CH3I, Ag2O b. Excess acetic anhydride, pyridine c. CH3OH, HCl
> Draw the open-chain form of each of the compounds in the previous problem.
> Draw a reasonable mechanism for the following transformation: NaOH, H20 Нeat
> Provide a complete name for each of the following compounds: CH,OH HOCH, но HO- он (a) OH OH (b) OH OH CH,OH HO но но. OCH3 (c) OH
> Draw a Haworth projection showing the α-pyranose form of the D-aldohexose that is epimeric with D-glucose at C3.
> Draw a Haworth projection for each of the following compounds: a. β-D-Fructofuranose b. β-D-Galactopyranose c. β-D-Glucopyranose d. β-D-Mannopyranose
> Draw a Fischer projection for each of the following compounds: a. D-glucose b. D-galactose c. D-mannose d. D-allose
> Assign the configuration of each chiral center in the following compounds: H. H. H. H- OH OH H- -OH- H- OH но -H OH но OH (a) ČH,OH (b) ČH,OH (c) ČH,OH H- ÇH2OH но- -н C=0 H- OH H- H- -OH (d) ČH,OH (е) ČH,OH
> Draw the open-chain form of the compound formed when methyl β-D-glucopyranoside is treated with aqueous acid.
> For each of the following pairs of compounds, determine whether they are enantiomers, epimers, diastereomers that are not epimers, or identical compounds: H- он но но но- OH OH H- OH H- OH (a) ČH,OH ČH,OH Н. -OH но- но но HO- но OH H- OH (b) ČH-OH CH
> D-Ribose can adopt two pyranose forms and two furanose forms. a. Draw both pyranose forms of D-ribose and identify each as α or β. b. Draw both furanose forms of D-ribose and identify each as α or β.
> Identify the hydroxyaldehyde that will cyclize under acidic conditions to give the following hemiacetal: OH
> Draw the cyclic hemiacetal that is formed when each of the following bifunctional compounds is treated with aqueous acid. но. (a) H. (b) но H. (с)
> Draw the structure of the product that is obtained when acetophenone is treated with each of following reagents: a. Sodium hydroxide and excess iodine followed by H3O+ b. Bromine in acetic acid c. Aqueous sodium hydroxide at elevated temperature
> Consider the structures of the D aldopentoses: a. Identify the aldopentose that is epimeric with D-arabinose at C2. b. Identify the aldopentose that is epimeric with D-lyxose at C3. c. Draw the enantiomer of D-ribose. d. Identify the relationship bet
> Name each of the following aldohexoses: H. H. H. H. H- -он -HO- но H- OH но но но но. H он H- OH H- OH но но -он H- OH HO H (а) ČH,OH (Ь) ČH,OH (c) ČH,OH (d) CH,OH
> Identify each of the following structures as either D- or L-glyceraldehyde: но TH. HO, (a) OH (b) OH OH но. (c) HO. (d) CHO
> Classify each of the following monosaccharides as either D or L, as either an aldo or a keto sugar, and as a tetrose, pentose, or hexose: H. H. H. H OH H OH H OH HO H H- -OH но H. H- OH H- FOH (a) ČH,OH (b) ČH,OH (c) ČH,OH H. H- -O- ÇH,OH Но C=0 -OH
> Predict the product that is obtained when cellobiose is treated with each of the following reagents: a. NaBH4, H2O b. Br2, H2O (pH=6) c. CH3OH, HCl d. Ac2O, pyridine
> Draw the structure of the product obtained when the following disaccharide is treated with NaBH4 in methanol: CH2OH но CH,OH но. он но OH OH
> Determine whether each of the following disaccharides is a reducing sugar: OH CH,OH OH OH но CH,OH но- но OH но OH OH но -OCH, (a) OH (b) OH OH он CH2OH OH OH HOCH, (c) но но Sucrose
> When D-glucose undergoes a Wohl degradation followed by a Kiliani–Fischer chain-lengthening process, a mixture of two epimeric products is obtained. Identify both epimers.
> Identify the reagents you would use to convert D-ribose into D-erythrose (Problem 24.22).
> Draw and name the two aldohexoses that can be converted into D-ribose (Problem 24.34a) using a Wohl degradation.
> 74. In the following compound, how many of the π bonds are conjugated? a. 0 b. 1 c. 2 d. 3 75. Which set of starting materials could be used to prepare the following compound in one step? 76. What is the major product of the following r
> Identify the reagents you would use to convert D-erythrose (Problem 24.22) into D-ribose. What other product is also formed in this process?
> Draw and name the pair of epimers formed when the following aldopentoses undergo a Kiliani–Fischer chain-lengthening process: H. OH H- OH но- OH но- но FH H- H- OH OH ČH,OH ČH,OH ČH,OH (а) D-Ribosе (b) D-Xylose (с) D-Lyxose
> Do you expect β-D-glucopyranose pentamethyl ether to be a reducing sugar? Explain your reasoning.
> Draw and name the product obtained when each of the following compounds is treated with aqueous bromine (at pH = 6): a. α-D-Galactopyranose b. β-D-Galactopyranose c. α-D-Glucopyranose d. β-D-Glucopyranose
> Determine whether each of the following compounds is a reducing sugar: CH,OH OH CH,OH CH2OCH3 но H,CO H3CO- OH ÓCH, но OH OH (b) OCH, (a) OH (c)
> Of the eight d-aldohexoses, only two of them form optically inactive alditols when treated with sodium borohydride in the presence of water. Identify these two aldohexoses and explain why their alditols are optically inactive.