Abourne Ltd manufactures a microcomputer for the home use market. The management accountant is considering using regression analysis in the annual estimate of total costs. The following information has been produced for the 12 months ended 31 December:

Additionally:

The management accountant wants to select the best independent variable (X1, X2 or X3) to help in future forecasts of total production costs using an ordinary least-squares regression equation. He is also considering the alternatives of using the highâlow and multiple regression equations as the basis for future forecasts.
You are required to:
(a). Identify which one of the three independent variables (X1, X2 or X3) given above is likely to be the least good estimator of total costs (Y). Give your reasons, but do not submit any calculations.
(b). Compute separately, for the remaining two independent variables, the values of the two parameters a and b for each regression line. Calculate the coefficient of determination (R2) for each relationship.
(c). State, with reasons, which one of these independent variables should be used to estimate total costs in the future given the results of (b) above.
(d). Devise the two equations which could be used, using the highâlow technique, instead of the two regression lines computed in (b) above and comment on the differences found between the two sets of equations.
(e). Comment critically on the use of highâlow and ordinary least-squares regression as forecasting and estimating aids using the above results as a basis for discussion. In addition, comment on the advantages and problems of using multiple regression for forecasting and estimating; and state whether, in your opinion, the management accountant should consider using it in the present circumstances.
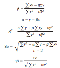
Note: The following formulae can be used to answer the above question.

> XYZ plc, a paint manufacturer, operates a process costing system. The following details related to process 2 for the month of October: Opening work in progress 5000 litres fully complete as to transfers from process 1 and 40% complete as to labour and ov
> On 30 October the following were among the balances in the cost ledger of a company manufacturing a single product (Product X) in a single process operation: The raw material ledger comprised the following balances at 30 October: 12 160kg of Product
> (a). You are required to explain and discuss the alternative methods of accounting for normal and abnormal spoilage. (b). Weston Harvey Ltd assembles and finishes trapfoils from bought-in components which are utilized at the beginning of the assembly pr
> A company produces a single product from one of its manufacturing processes. The following information of process inputs, outputs and work in progress relates to the most recently completed period: kg Opening work in progress …………………………………………………………… 21
> BEC Limited operates an absorption costing system. Its budget for the year ended 31 December shows that it expects its production overhead expenditure to be as follows: During the year it expects to make 200 000 units of its product. This is expected t
> ABC plc operates an integrated cost accounting system and has a financial year which ends on 30 September. It operates in a processing industry in which a single product is produced by passing inputs through two sequential processes. A normal loss of 10
> Industrial Solvents Limited mixes together three chemicals – A, B and C – in the ratio 3:2:1 to produce Allklean, a specialized anti-static fluid. The chemicals cost £8, £6 and £3.90 per litre respectively. In a period, 12 000 litres in total were input
> A large firm of solicitors uses a job costing system to identify costs with individual clients. Hours worked by professional staff are used as the basis for charging overhead costs to client services. A predetermined rate is used, derived from budgets dr
> A company produces several products which pass through the two production departments in its factory. These two departments are concerned with filling and sealing operations. There are two service departments, maintenance and canteen, in the factory. Pr
> A manufacturing company has prepared the following budgeted information for the forthcoming year: £ Direct material ………………………………………………………………………… 800 000 Direct labour …………………………………………………………………………… 200 000 Direct expenses ………………………………………………………………………… 40
> Almost all beer contains four basic ingredients – a grain (typically barley), water, hops and yeast. While the process of brewing can be complex and some ingredients varied, the basic process is quite consistent. First the barley (or other grain) is soak
> Just-in-Time (JIT) manufacturing and inventory systems have been operated by many companies to reduce manufacturing time, reduce waste and ultimately increase profitability. The JIT concept is based on close relationships with key suppliers, which means
> One of the production departments in A Ltd’s factory employs 52 direct operatives and nine indirect operatives. Basic hourly rates of pay are £14.40 and £11.70, respectively. Overtime, which is worked regularly
> (a). Identify the costs to a business arising from labour turnover. (5 marks) (b). A company operates a factory which employed 40 direct workers throughout the four-week period just ended. Direct employees were paid at a basic rate f £10.00 per hour for
> JR Co. Ltd’s budgeted overheads for the forthcoming period applicable to its production departments, are as follows: (£000) 1 …………â€
> (a). Explain why predetermined overhead absorption rates are preferred to overhead absorption rates calculated from factual information after the end of a financial period. (b). The production overhead absorption rates of factories X and Y are calculated
> Dunstan Ltd manufactures tents and sleeping bags in three separate production departments. The principal manufacturing processes consist of cutting material in the pattern cutting room and sewing the material in either the tent or the sleeping bag depart
> A company makes a range of products with total budgeted manufacturing overheads of £973 560 incurred in three production departments (A, B and C) and one service department. Department A has ten direct employees, who each work 37 hours per week. Departme
> Incorporated Finance plc is a finance company that has 100 branch offices in major towns and cities throughout the UK. These offer a variety of hire purchase and loan facilities to personal customers both directly and through schemes operated on behalf o
> A new private hospital of 100 beds was opened to receive patients on 2 January although many senior staff members including the supervisor of the laundry department had been in situ for some time previously. The first months were expected to be a settlin
> 1. You are the group management accountant of a large divisionalized group. There has been extensive board discussion of the existing system of rewarding divisional general managers with substantial bonuses based on the comparison of the divisional prof
> Jim Smith has recently been appointed as the headteacher of Mayfield School in Midshire. The age of the pupils ranges from 11 years to 18 years. For many years, Midshire County Council was responsible for preparing and reporting on the school budget. Fro
> According to the Plex website, in their Enterprise Resource Planning Systems cost accounting software modules you can: ● Set up a flexible, detailed cost structure for each operation and for each product, including purchased materials, ingredients and co
> You have been provided with the following operating statement, which represents an attempt to compare the actual performance for the quarter which has just ended with the budget: Required: (a). Using a flexible budgeting approach, re-draft the operati
> Rainbow Ltd is a manufacturer that uses alkahest in many of its products. At present the company has an alkahest plant on a site close to the company’s main factory. A summary of the alkahest plants budget for the next year is shown below: Production ……
> The financial controller of Mexet plc is reviewing the company’s stock management procedures. Stock has gradually increased to 25 per cent of the company’s total assets and, with finance costs at 14 per cent per annum,
> A company needs to hold a stock of item X for sale to customers. Although the item is of relatively small value per unit, the customers’ quality control requirements and the need to obtain competitive supply tenders at frequent intervals result in high p
> Hint: Reverse the signs and ignore entries of 0 and 1. The Kaolene Co. Ltd has six different products all made from fabricated steel. Each product passes through a combination of five production operations: cutting, forming, drilling, welding and coating
> (a). The Argonaut Company makes three products, Xylos, Yo-yos and Zicons. These are assembled from two components, Agrons and Bovons, which can be produced internally at a variable cost of £5 and £8 each respectively. A limited
> ‘Attributing direct costs and absorbing overhead costs to the product/service through an activity-based costing approach will result in a better understanding of the true cost of the final output.’ (Source: a recent CIMA publication on costing in a servi
> Usine Ltd is a company whose objective is to maximize profits. It manufactures two speciality chemical powders, gamma and delta, using three processes: heating, refining and blending. The powders can be produced and sold in infinitely divisible quantitie
> For the relevant cost data in items (1) – (7), indicate which of the following is the best classification. (a). sunk cost; (b). incremental cost; (c). variable cost; (d). fixed cost; (e). semi-variable cost; (f). semi-fixed cost; (g). controllable cost;
> XY Limited commenced trading on 1 February with fully paid issued share capital of £500 000, Fixed Assets of £275 000 and Cash at Bank of £225 000. By the end of April, the following transactions had taken place: 1.
> Capturing labour costs accurately includes capturing time worked on customer orders, jobs or projects. In some cases, this is a reasonably easy task – such as in a supervised factory setting. In some cases, capturing hours worked accurately can be more d
> A company is planning to purchase 90 800 units of a particular item in the year ahead. The item is purchased in boxes, each containing ten units of the item, at a price of £200 per box. A safety stock of 250 boxes is kept. The cost of holding an item in
> Present a table of production times showing the following columns for E. Condon Ltd, which produces up to 16 units while experiencing a 90 per cent learning curve, the first unit requiring 1000 hours of production time: 1. units produced; 2. total produc
> The following information relates to a manufacturing process for a period: Materials costs ……………………………………………………………………… £16 445 Labour and overhead costs ……………………………………………………… £28 596 10 000 units of output were produced by the process in the period, of
> Mr Evans is a wholesaler who buys and sells a wide range of products, one of which is the Laker. Mr Evans sells 24 000 units of the Laker each year at a unit price of £20. Sales of the Laker normally follow an even pattern throughout the year but to prot
> Wagtail Ltd uses the ‘optimal batch size’ model (see below) to determine optimal levels of raw materials. Material B is consumed at a steady, known rate over the company’s planning horizon of one year; the current usage is 4000 units per annum. The costs
> Whirlygig plc manufactures and markets automatic dishwashing machines. Among the components that it purchases each year from external suppliers for assembly into the finished article are window units, of which it uses 20 000 units per annum. It is consid
> A company is reviewing the purchasing policy for one of its raw materials as a result of a reduction in production requirement. The material, which is used evenly throughout the year, is used in only one of the company’s products, the production of which
> A company is considering the possibility of purchasing from a supplier a component it now makes. The supplier will provide the components in the necessary quantities at a unit price of £9. Transportation and storage costs would be negligible. The company
> Sandy Lands Ltd carries an item of inventory in respect of which the following data apply: fixed cost of ordering per batch ……………………………………………………. £10 expected steady quarterly volume of sales …………………………… 3125 units cost of holding one unit in stock for
> Exel Division is part of the Supeer Group. It produces a basic fabric that is then converted in other divisions within the group. The fabric is also produced in other divisions within the Supeer Group and a limited quantity can be purchased from outside
> It was decided in the first quarter of fiscal 2016 that Commercial Metals Company Ltd would change the accounting method it used to value its inventories. This change would be for its Americas Mills, Americas Recycling and Americas Fabrication segments.
> Leano plc is investigating the financial viability of a new product X. Product X is a short life product for which a market has been identified at an agreed design specification. It is not yet clear whether the market life of the product will be six mont
> Engcorp and Flotilla are UK divisions of Griffin plc, a multinational company. Both divisions have a wide range of activities. You are an accountant employed by Griffin plc and the finance director has asked you to investigate a transfer pricing problem.
> The Crispy Biscuit Company (CBC) has developed a new variety of biscuit that it has successfully test marketed in different parts of the country. It has, therefore, decided to go ahead with full-scale production and is in the process of commissioning a p
> A management accountant is analyzing data relating to retail sales on behalf of marketing colleagues. The marketing staff believes that the most important influence on sales is local advertising undertaken by the retail store. The company also advertises
> (a). Comment on factors likely to affect the accuracy of the analysis of costs into fixed and variable components. (b). Explain how the analysis of costs into fixed and variable components is of use in planning, control and decision-making techniques use
> Explain the ‘learning curve’ and discuss its relevance to setting standards.
> Fabri Division is part of the Multo Group. Fabri Division produces a single product for which it has an external market that utilizes 70 per cent of its production capacity. Gini Division, which is also part of the Multo Group requires units of the produ
> Limitation plc commenced the manufacture and sale of a new product in the fourth quarter of the previous year. In order to facilitate the budgeting process for quarters 1 and 2 of the next year, the following information has been collected: (i). Forecast
> HKI plc has an Engineering Division and a Motorcycle Division. The Engineering Division produces engines that it sells to ‘outside’ customers and transfers to the Motorcycle Division. The Motorcycle Division produces a powerful motorbike called the ‘Beas
> Two Australian firms, one with three divisions (HC1, HC2 and HC3), and the second with two divisions (FT1 and FT2) were studied. HC1 and FT1 had the simplest costing systems with all of the overheads accumulated into a single cost pool. In other words, a
> Bushworks Ltd convert synthetic slabs into components AX and BX for use in the car industry. Bushworks Ltd is planning a quality management programme at a cost of £250 000. The following information relates to the costs incurred by Bushworks
> (a). In control theory, a ‘feedback control’ mechanism is one which supplies information to determine whether corrective action should be taken to re-establish control of a system. You are required to: (i). illustrate by means of a diagram how the feedba
> Duit plc has recently acquired Ucando Ltd which is a regional builders’ merchants/DIY company with three outlets all within a radius of 40 miles. Duit plc is building up its national coverage of outlets. Duit plc has set up regional com
> (a). The transfer pricing method used for the transfer of an intermediate product between two divisions in a group has been agreed at standard cost plus 30 per cent profit mark-up. The transfer price may be altered after taking into consideration the pla
> (a). Spiro Division is part of a vertically integrated group of divisions allocated in one country. All divisions sell externally and also transfer goods to other divisions within the group. Spiro Division performance is measured using profit before tax
> Scenario Frantisek Precision Engineering plc (FPE) is an engineering company that makes tools and equipment for a wide range of applications. FPE has 12 operating divisions, each of which is responsible for a particular product group. In the past, divisi
> The directors of the Healthy Eating Group (HEG), a successful restaurant chain that commenced trading several years ago, have decided to enter the sandwich market in Homeland, its country of operation. It has set up a separate operation under the name of
> Scotia Health Consultants Ltd provides advice to clients in medical, dietary and fitness matters by offering consultation with specialist staff. The budget information for the year ended 31 May is as follows: (i). Quantitative data as per Appendix. (ii).
> English Allied Traders plc has a wide range of manufacturing activities, principally within the UK. The company operates on the divisionalized basis with each division being responsible for its own manufacturing, sales and marketing, and working capital
> AB Limited which buys and sells machinery has three departments: New machines (manager, Newman) Second-hand machines (manager, Handley) Repair workshops (manager, Walker) In selling new machines. Newman is often asked to accept an old machine in part-exc
> Allan Stratton is a cost management consultant with over 35 years of experience who shares the benefit of his experience providing tools and resources via the internet. In one of his articles he debunks three myths on cost allocation. All sorts of busin
> Alton division (A) and Birmingham division (B) are two manufacturing divisions of Conglom plc. Both of these divisions make a single standardized product; A makes product I and B makes product J. Every unit of J requires one unit of I. The required input
> (a). Meldo Division is part of a vertically integrated group where all divisions sell externally and transfer goods to other divisions within the group. Meldo Division management performance is measured using controllable profit before tax as the perform
> A recently incorporated power company, set up after the privatization of the electricity and coal industries, owns the following assets: An electricity generating station, capable of being fuelled either by coal or by oil. Three coal mines, located som
> Indico Ltd is a well-established company that has operated in a sound but static market for many years where it has been the dominant supplier. Over the past three years it has diversified into three new product areas that are unrelated to each other and
> Sliced Bread plc is a divisionalized company. Among its divisions are Grain and Bakery. Grain’s operations include granaries, milling and dealings in the grain markets; Bakery operates a number of bakeries. The following data relate to
> J plc’s business is organized into divisions. For operating purposes, each division is regarded as an investment centre, with divisional managers enjoying substantial autonomy in their selection of investment projects. Divisional manage
> (a). Briefly explain how the measurement of divisional performance differs when assessing the achievement of strategic targets as distinct from operational targets. (b). J is a hospital supplying a wide range of healthcare services. The government has c
> Fischer Ltd manufactures a range of chess sets, and operates a standard costing system. Information relating to the Spassky design for the month of March is as follows: 1. Standard costs per 100 sets (£) Raw materials: Plaster of Paris, 20k
> Variance investigation decisions are normally explained in textbooks by simple models, which assume the availability of a significant amount of information. An example of this approach is as follows. The managers estimate the probability of any variance
> In the new industrial environment, the usefulness of standard costing is being challenged and new approaches sought. One approach, pioneered by the Japanese, is to replace standard costs by target costs. You are required: (a). to describe the problems as
> A questionnaire survey based on the responses of 272 practising UK management accountants who were members of the Chartered Institute of Management Accountants (CIMA) revealed that approximately 81 per cent of the respondent firms used absorption costing
> Tardy Taxis operates a fleet of taxis in a provincial town. In planning its operations for November, it estimated that it would carry fare-paying passengers for 40 000 miles at an average price of £1 per mile. However, past experience suggested that the
> (a). Describe and comment briefly on the basis and limitations of the control chart approach to variance investigation decisions. (b). The following analysis is available for the month of April for Department A: (£) Standard direct materia
> Zits Ltd makes two models for rotary lawn mowers, the Quicut and the Powacut. The company has a sales director and, reporting to her, two product managers, each responsible for the profitability of one of the two models. The company’s f
> Casement Ltd makes windows with two types of frame: plastic and mahogany. Products using the two types of material are made in separate premises under the supervision of separate production managers. Data for the three months ended 30 November are shown
> Tungach Ltd makes and sells a single product. Demand for the product exceeds the expected production capacity of Tungach Ltd. The holding of stocks of the finished product is avoided if possible because the physical nature of the product is such that it
> A company operates a number of hairdressing establishments that are managed on a franchise arrangement. The franchisor offers support using a PC package that deals with profit budgeting and control information. Budget extracts of one franchisee for Novem
> An article in Management Accounting concluded that there will always be some budgetary padding in any organization. Requirements: (a). As management accountant, write a report to your finance director, explaining what steps can be taken by you, and by
> Bamfram plc is a well-established manufacturer of a specialized product, a Wallop, which has the following specifications for production: The standard direct labour hours to produce a Wallop at the standard wage rate of £10.50 per hour has
> The following data have been collected for the month of April by a company which operates a standard absorption costing system: Actual production of product EM ……………………………………………… 600 units Actual costs incurred: ………………………………………………………………………… (£) Direct m
> The following profit reconciliation statement has been prepared by the management accountant of ABC Limited for March: The standard cost card for the company’s only product is as follows: The following information is also available:
> According to Andrew Coyne, the author of an article published in the National Post (Canada), the $14 billion in public funds handed out to General Motors and Chrysler by the governments of Canada and Ontario was one of the largest corporate bail-outs in
> The Eastern Division of Countryside Communications plc assembles a single product, the Beta. The Eastern Division has a fixed price contract with the supplier of the materials used in the Beta. The contract also specifies that the materials should be fre
> A manufacturing company has provided you with the following data, which relate to component RYX for the period which has just ended: Overheads are absorbed at a rate per standard labour hour. Required: (a). (i). Calculate the fixed production overhea
> You are the management accountant of T plc. The following computer printout shows details relating to April: T plc uses a standard absorption costing system. There was no opening or closing work in progress. Requirements: (a). Prepare a statement tha
> You are employed as the assistant management accountant in the group accountant’s office of Hampstead plc. Hampstead recently acquired Finchley Ltd, a small company making a specialist product called the Alpha. Standard marginal costing
> (a). JB plc operates a standard marginal cost accounting system. Information relating to product J, which is made in one of the company departments, is given below: Standard marginal product cost Product J ………………………………………………………………………………………. Unit (£) Dir
> (a). Discuss the behavioural arguments for and against involving those members of management who are responsible for the implementation of the budget in the annual budget setting process. (b). Explain how the methods by which annual budgets are formulat
> The board of directors of Portend Ltd are considering two mutually exclusive investments each of which is expected to have a life of five years. The company does not have the physical capacity to undertake both investments. The first investment is relati
> The managing director of your company believes that the existing annual budget system is costly to operate and produces unsatisfactory results due to: long preparation period; business decisions being made throughout the year; unpredictable changes in th
> A budgetary planning and control system may include many individual budgets which are integrated into a ‘master budget’. You are required to outline and briefly explain with reasons the steps that should normally be taken in the preparation of master bud
> QR Limited operates a chemical process that produces four different products Q, R, S and T from the input of one raw material plus water. Budget information for the forthcoming financial year is as follows: (£000) Raw materials cost â
> An article written by Ben Chu published in The Independent newspaper in 2016 demonstrated why the classical economic view of humans as rational decision-makers is often very wide of the mark. When individuals evaluate a financial decision, when a busines
> The chief executive of your organization has recently seen a reference to zero-based budgeting. He has asked for more details of the technique. You are required to prepare a report for him explaining: (a). what zero-based budgeting is and to which areas