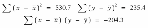
Calculations from a data set of n = 36 pairs of ( x, y) values have provided the following results.

Obtain the correlation coefficient.
> (a) Consider the simplistic model that human births are evenly distributed over the 12 calendar months. If a person is randomly selected, say, from a phone directory, what is the probability that his or her birthday would be in November or December? (b)
> Campers arriving at a summer camp will be asked one after another whether they have protection against Lyme disease M or not (N). The inspection will continue until one camper is found to be not protected or until five campers are checked, whichever occu
> Friends will be called, one after another, and asked to go on a weekend trip with you. You will call until one agrees to go (A) or four friends are asked, whichever occurs first. List the sample space for the number of calls.
> Fifteen persons reporting to a Red Cross center one day are typed for blood, and the following counts are found: If one person is randomly selected, what is the probability that this person's blood group is: (a) AB? (b) Either A or B? (c) Not O?
> According to the cause-and-effect diagram, where are the possible delays on the first floor?
> Birth rates in the 50 states, collected in a recent year by the Center for Health Statistics, are grouped into the following frequency table. Endpoint convention: Lower endpoint is included, upper endpoint is not. If one state is selected at random, what
> For each numerical value assigned to the probability of an event, identify the verbal statements that are appropriate. (a) 1.1 (b) 1/1.1 (c) 1/2 (d) 43/47 (e) 1/89 (f) 1.0 Verbal statements: (i) cannot be a probability, (ii) the event is very unlikely to
> A white and a colored die are tossed. The possible outcomes are shown in the illustration below. (a) Identify the events A = [ Sum = 6 ], B = [ Sum = 7], C = [ Sum is even ], D = [ Same number on each die ]. (b) If both die are "fair," assign probabilit
> Suppose you are eating at a pizza parlor with two friends. You have agreed to the following rule to decide who will pay the bill. Each person will toss a coin. The person who gets a result that is different from the other two will pay the bill. If all th
> A stack contains eight tickets numbered 1, 1, 2, 2, 2, 3, 3, 3 . One ticket will be drawn at random and its number will be noted. (a) List the sample space and assign probabilities to the elementary outcomes. (b) What is the probability of drawing an od
> A letter is chosen at random from the word "CHEERFUL." What is the probability that it is a vowel?
> Consider the experiment of tossing a fair coin three times. (a) List the sample space by drawing a tree diagram. (b) Assign probabilities to the elementary outcomes. (c) Find the probability of getting exactly one head.
> Among 41, 131 turkey permit holders for a recent hunting season in Wisconsin, 8845 harvested a bird. Assuming conditions are the same today, estimate the prob ability that a turkey will be harvested for a single permit.
> Refer to the day of birth data. Assuming conditions are the same today, estimate the probability that a baby will be born during a weekday. That is, not on Saturday or Sunday.
> The probability of an event is often expressed in terms of odds. Specifically, when we say that the odds are k to m that an event will occur, we mean that the probability of the event is k / ( k + m). For instance, "the odds are 4 to 1 that candidate Jon
> How many of the calls in the initial data set took over 125 minutes to answer? H ow many over 90 minutes?
> A campus organization will select one day of the week for an end-of-year picnic. Assume that the weekdays, Monday through Friday, are equally likely and that each weekend day, Saturday and Sunday, is twice as likely as a weekday to be selected. (a) Assi
> Suppose S = {e1, e2, e3}. If the simple events e1, e2, and e3 are all equally likely, what are the numerical values P(e1), P(e2) , and P(e3)?
> Match the proposed probability of A with the appropriate verbal description. (More than one description may apply.)
> Typically, there is a gender unbalance among tenured faculty, especially in the sciences. At a large university, tenured faculty members in two departments, English and Computer Science, were categorized according to gender. (a) Calculate relative freque
> A psychologist interested in obese children gathered data on a group of children and their parents. (a) Calculate the marginal totals. (b) Convert the frequencies to relative frequencies. (c) Calculate the relative frequencies separately for each row.
> Cross-tabulate the "Class data" according to gender (M, F) and the general areas of intended major (H, S, B, P). Calculate the relative frequencies.
> Interviews with 150 persons engaged in a stressful occupation revealed that 57 were alcoholics, 64 were mentally depressed, and 42 were both. (a) Based on these records, complete the following two-way frequency table. (b) Calculate the relative frequen
> Groundwater from 19 wells was classified as low or high in alkalinity and low or high in dissolved iron. There were 9 wells with high alkalinity, 7 that were high in iron, and 5 that were high in both. (a) Based on these data, complete the following two-
> The amount of municipal solid waste created has become a major problem . According to the Environmental Protection Agency, the yearly amounts (millions of tons) are: (a) Plot the amount of garbage (millions of tons) versus population (millions). (b) Fit
> Refer to data on the wolf population in Wisconsin. (a) Fit a least squares line to summarize the growth. (b) Does your fitted straight line summarize the growth in the wolf population over this period of time? If so, what numerical value summarizes the
> Give a statement of purpose for determining the amount of time it takes to make hotel reservations in San Francisco using the internet.
> In an experiment to study the relation between the time waiting in line, y (minutes), to get to the head of the checkout line at her favorite grocery store and the number of persons ahead in line, x, a student collected the following statistics: (a) Find
> For the data set (a) Construct a scatter diagram. (b) From a visual inspection, draw a straight line that appears to fit the data well. (c) Calculate the least squares estimates and draw the least squares fitted line on your plot.
> A survey was conducted to study the attitudes of the faculty, academic staff, and students in regard to a proposed measure for reducing the heating and air-conditioning expenses on campus. Compare the attitude patterns of the three groups by computing th
> Given these five pairs of ( x, y ) values (a) Construct a scatter diagram. (b) From a visual inspection, draw a straight line that appears to fit the data well. (c) Compute the least squares estimates β^o and β^1 and draw the fi
> Identify the predictor variable x and the response variable y in each of the following situations. (a) A training director wishes to study the relationship between the duration of training for new recruits and their performance in a skilled job. (b) Th
> A store manager has determined that the monthly profit y realized from selling a particular brand of car battery is given by y = 10x – 155 where x denotes the number of these batteries sold in a month. (a) If 41 batteries were sold in a month, what was t
> Plot the line y = 4 - 2x by locating the points for x = 0 and x = 3. What is its intercept? Its slope?
> Plot the line y = 2 + 3x by locating points for x = and x = 4. What is its intercept? Its slope?
> Refer to the data on garbage in Exercise 3.31. (a) Calculate the correlation coefficient between the amount of garbage in millions of tons and the population size in millions. (b) Based on your calculation in part (a), give the correlation coefficient
> Refer to the data on garbage in Exercise 3.31. (a) Replace the year by (year - 1970). Calculate the correlation coefficient between (year - 1970) and amount of garbage in millions of tons. (b) Based on your calculation in part (a), what is the correlat
> Give a statement of purpose for a study to determine the favorite campus area pizza establishment.
> Refer to the data on garbage in Exercise 3.31 . (a) Plot the amount of garbage (millions of tons) versus population (millions). (b) Does there appear to be a strong correlation? Explain. (c) H ow does your interpretation of the association differ from
> The amount of municipal solid waste created has become a major problem. According to the Environmental Protection Agency, the yearly amounts (millions of tons) are: (a) Plot the amount of garbage ( millions of tons) versus year. (b) Visually, does there
> Suppose all x measurements are changed to x' = ax + b and all y measurements to y' = cy + d, where a, b, c, and d are fixed numbers (a ≠0, c ≠0). Then the correlation coefficient remains unchanged if a and c have the
> At the conclusion of one semester, a sample of 250 juniors was questioned about how long they studied for each of their final exams. Students were also classified as social, biological, or physical science majors. Compare the times studying for finals by
> Refer to concerning spurious correlation. Replace number of smartphones with per capita soda consumption in gallons. (a) Create a scatter diagram and identify the kind of association. (b) Comment on possible lurking variables.
> An ongoing study of wolves is being conducted at the Yukon-Charley Rivers National Preserve. Table in the Data Bank gives the physical characteristics of wolves that were captured. (a) Plot length versus weight for the female wolves. From your visual ins
> An ongoing study of wolves is being conducted at the Yukon-Charley Rivers National Preserve. Table in the Data Bank gives the physical characteristics of wolves that were captured. (a) Plot length versus weight for the male wolves. From your visual inspe
> A zoologist collected 20 wild lizards in the southwestern United States. After measuring their total length (mm), they were placed on a treadmill and their speed (m/sec) recorded. (a) Create a scatter plot. Comment on any unusual observations. (b) Calcu
> The Department of Natural Resources in Wisconsin monitors air quality in the state. Ozone is a major component of smog and high temperatures also contribute. The summer maximum daily ozone (ppm) and temperature for 23 Wednesdays during two summers are Ca
> Over the years, a traffic officer noticed that cars with fuzzy dice hanging on the rear-view mirror always seemed to be speeding. Perhaps tongue in cheek, he suggest ed that outlawing the sale of fuzzy dice would reduce the number of cars exceeding the
> What is wrong with this statement of purpose? PURPOSE: Determine if a new style wireless mouse is comfortable. Give an improved statement of purpose.
> Is the correlation in Figure 9 about (a) .1, (b) .5, (c) .9, or (d) -.7?
> Match the following values of r with the correct diagrams. (a) r - .3 (b) r .l (c) r .9
> (a) Construct scatter diagrams of the data sets (b) Calculate r for the data set (i). (c) Guess the value of r for the data set (ii) and then calculate r.
> Breakfast cereals from three leading manufacturers can be classified either above average or below average in sugar content. Data for ten cereals from each manufacturer are given below: (a) Complete the marginal totals. (b) Calculate the relative freque
> Refer to the alligator data of the Data Bank. Using the data on x3 and x4 for male and female alligators from Lake Apopka: (a) Make a scatter diagram of the pairs of concentrations for the male alligators. Calculate the sample correlation coefficient.
> For the data set (a) Construct a scatter diagram. (b) Guess the sign and value of the correlation coefficient. (c) Calculate the correlation coefficient.
> If the value of r is small, can we conclude that there is not a strong relationship between the two variables?
> A new study is widely reported to show that dog owners benefit by being more agreeable and extroverted than cat owners. Comment in light of facts that, on average, dogs cost more to maintain and that dog owners have larger incomes than cat owners.
> In each of the following instances, would you expect a positive, negative, or zero correlation? (a) Number of salespersons and total dollar sales for real estate firms. (b) Total payroll and percent of wins of national league baseball teams. (c) The amou
> What is wrong with this statement of purpose? PURPOSE: Determine whether or not, over the course of the semester, the campus bus reaches your stop at the scheduled time. Give an improved statement of purpose.
> Would you expect a positive, negative, or nearly zero correlation for each of the following7 Give reasons for your answers. (a) The physical fitness of a dog and the physical fitness of the owner. (b) For each person, the number of songs downloaded fro
> With reference to the quit-smoking experiment: (a) Suppose the placebo trials were ignored and you were only told that 120 of 216 were abstinent after using the medicated patches. Would this now appear to be stronger evidence in favor of the patches? (
> With reference to the quit-smoking experiment, suppose two new subjects are available. Explain how you would assign one subject to receive the placebo and one to receive the medicated patch.
> Nausea from air sickness affects some travelers. A drug company, wanting to establish the effectiveness of its motion sickness pill, randomly gives either its pill or a look-alike sugar pill (placebo) to 200 passengers. (a) Complete the marginal totals.
> A sample of persons will each be asked to give the number of their close friends. The responses are to be grouped into the following classes: 0, 1-3, 3-5, 6 or more. Left endpoint is included. Explain where difficulties might arise.
> The number of goals your favorite ice hockey team scores are to be collected for each game. These game totals are to be grouped into the classes 0- 1, 2- 3, 4- 5, 7 or more. Both endpoints are included. Explain where a difficulty might arise.
> Data from one campus dorm on the number of burglaries are collected each week of the semester. These data are to be grouped into the classes 0-1, 2-3, 3-5, 6 or more. Both endpoints included. Explain where a difficulty might arise.
> Of the $207 million raised by a major university's fund drive, $11 7 million came from individuals and bequests, $24 million from industry and business, and $66 million from foundations and associations. Present this information in the form of a pie char
> At the last minute, 6 tickets have become available for a big football game. Use Table 1, Appendix B, to select the recipients from among 89 interested students.
> Eighty customers at a bakery named their favorite pie. The responses are as follows: (a) Calculate the frequency for each pie. (b) Construct a pie chart.
> The number of automobile accidents reported per month helps to identify intersections that require improvement. The number of crashes per month reported at an intersection near a university campus in Madison, Wisconsin, are Present these data in a freque
> A student at the University of Wisconsin surveyed 40 students in her dorm concerning their participation in extracurricular activities during the past week. The data on number of activities are Present these data in a frequency table and in a relative fr
> Recorded here are the blood types of 40 persons who have volunteered to donate blood at a plasma center. Summarize the data in a frequency table. Include calculations of the relative frequencies.
> The city of Madison regularly checks the water quality at swimming beaches located on area lakes. The concentration of fecal coliforms, in number of colony forming units (CFU) per 100 ml of water, was measured on fifteen days during the summer at one bea
> A campus area merchant recorded the number of bad checks received per month, for five months 4 5 4 7 6 Display the data in a dot diagram.
> Before microwave ovens are sold, the manufacturer must check to ensure that the radiation coming through the door is below a specified safe limit. The amounts of radiation leakage (mW/cm2) with the door closed from 25 ovens are as follows (courtesy of Jo
> A person with asthma took measurements by blowing into a peak-flow meter on seven consecutive days. 429 425 471 422 432 444 454 Display the data in a dot diagram.
> A sample of 50 departing airline passengers at the main check-in counter produced the following number of bags checked through to final destinations. (a) Make a relative frequency line diagram. (b) Comment on the pattern. (c) What proportion of passenger
> A major West Coast power company surveyed 50 customers who were asked to respond to the statement, "People should rely mainly on themselves to solve problems caused by power outages" with one of the following responses. 1. Definitely agree. 2. Somewhat
> Twelve bicycles are available for use at the student union. Use Table 1, to select 4 of them for you and three of your friends to ride today.
> A survey of 451 men revealed that 144 men, or 3 1.9%, wait until Valentine's day or the day before to purchase flowers. Identify a statistical population and the sample.
> It was 9:30 A.M. on a Monday morning when the call came through. “Hi Dr. Mitchell, do you have a minute?” “Sure,” the professor replied. “I am one of your former students, but if you don’t mind, I would prefer to remain anonymous. I think it is best for
> Nathan recently interviewed with one of the accounting firms in the city where he wants to live. The firm agreed to cover the expense of a rental car that he used to travel from his university to the firm’s office. The rental car agency required that Nat
> Brent Dorsey graduated six months ago with a master’s degree in accounting. Immediately after graduation, Brent began working with a large accounting firm in Portland, Oregon. He is now on his second audit engagement—a company called Northwest Steel Prod
> Banking regulators announced in early 2015 a greater focus on evaluating ethical culture as part of their regulatory examination of a bank’s health. In a February 2015 speech, Thomas Baxter, Executive Vice President and General Counsel
> On November 15, 2004, the Securities and Exchange Commission (SEC) filed an enforcement action in the Northern Illinois U.S. District Court against Hollinger Inc., a Toronto-based company, and its former Chairman and CEO, Conrad Black, and the company’s
> Murchison Technologies, Inc. recently developed a patient-billing software system that it markets to physicians and dentists. Jim Archer and Janice Johnson founded the company in Austin, Texas five years ago after working at IBM for more than 15 years. J
> Scott glanced up at the clock on his office wall. It read 2:30 P.M. He had scheduled a 3:00 P.M. meeting with George “Hang-ten” Baldwin, chief executive officer of Surfer Dude Duds, Inc. Surfer Dude specialized in selling clothing and accessories popular
> Spencer and Loveland, LLP is a medium-sized, regional accounting firm based in the western part of the United States. A new client of the firm, K&K, Inc., which manufactures a variety of picture frames, recently contracted with Spencer and Loveland t
> Auto Parts, Inc. (“the Company”) manufactures automobile subassemblies marketed primarily to the large U.S. automakers. The publicly held Company’s unaudited financial statements for the year ended December 31, 2018, reflect total assets of $56 million,
> The information below relates to the audit of EyeMax Corporation, a client with a calendar year-end. EyeMax has debt agreements associated with publicly traded bonds that require audited financial statements. The company is currently, and historically ha
> The Runners Shop (TRS) was a family-owned business founded 17 years ago by Robert and Andrea Johnson. In July of 2018, TRS found itself experiencing a severe cash shortage that forced it to file for bankruptcy protection. Prior to shutting down its opera
> Southeast Shoe Distributor (SSD) is a closely-owned business that was founded 10 years ago by Stewart Green and Paul Williams. SSD is a distributor that purchases and resells men’s, women’s, and childrenâ€&#
> Southeast Shoe Distributor (SSD) is a closely owned business founded 10 years ago by Stewart Green and Paul Williams. SSD is a distributor that purchases and resells men’s, women’s, and children’s sho
> Southeast Shoe Distributor (SSD) is a closely owned business that was founded 10 years ago by Stewart Green and Paul Williams. SSD is a distributor that purchases and sells men’s, women’s, and childrenâ€
> After being in business for only two years, Your 1040 Return.com has quickly become a leading provider of online income tax preparation and filing services for individual taxpayers. Steven Chicago founded the company after a business idea came to him whi
> Southeast Shoe Distributor (SSD) is a closely owned business that was founded 10 years ago by Stewart Green and Paul Williams. SSD is a distributor that purchases and sells men’s, women’s, and childrenâ€
> Southeast Shoe Distributor (SSD) is a closely owned business that was founded ten years ago by Stewart Green and Paul Williams. SSD is a distributor that purchases and sells men’s, women’s, and childrenâ€
> RedPack Beer Company is a privately-held micro brewery located in Raleigh, North Carolina. Bank loan covenants require that RedPack submit audited financial statements annually to the bank. Specifically, the bank covenants contain revenue and liquidity m
> Your audit firm, Garrett and Schulzke LLP, is engaged to perform the annual audit of Hooplah, Inc., for the year ending December 31, 2017. Hooplah is a privately-held company that sells electronics components to companies that manufacture various applian
> The Financial Accounting Standard Board’s Accounting Standards Codification Topic 820, Fair Value Measurement, (ASC 820) provides a framework for measuring or estimating the fair value of certain assets and liabilities. It provides a hierarchy with three